奇技指南
本文作者:殷雅俊,2018年北京邮电大学硕士毕业,自2017年下半年来一直在花椒实习,随后进入花椒直播智能工程组担任算法工程师,主要负责花椒直播个性化推荐算法研发,花椒图像识别算法研发等工作。
本文来自花椒技术投稿。
01
深度学习的应用
1
花椒直播的深度学习使用
-
使用Spark进行数据清洗,构建用户画像和物品画像,挖掘数据特征,形成数据集存储在HDFS。
-
使用TensorFlow作为深度学习计算框架,通过Hbox调度深度学习作业,使用集群分布式训练。训练模型使用TF Serving部署,封装成TF-Web对内提供预测接口,线上使用Go Server提供推荐服务。

2
TensorFlow和TensorSlow
TensorFlow是Google在2015年开源的深度学习框架,是目前最主流的深度学习计算框架。代码库本身有高达100万+的代码量,分为前端代码和后端代码。如此庞大的代码量造成了很多人不理解TensorFlow到底如何工作。
为此,Github上有个名为TensorSlow的项目,使用纯python的方式重构了TensorFlow底层。该项目旨在帮助理解TensorFlow的工作机制而不在意效率,所以取名TensorSlow。本文就以TensorSlow项目为基础,向大家梳理一下TensorFlow底层到底干了哪些事,对理解深度学习框架底层原理大有裨益。
02
深度学习简介
深度学习是机器学习的重要分支,是为了研究深层神经网络的结构和有效训练而演化来的一系列方法。
1
神经网络
概念 :常见的深度模型使用的是前馈神经网络(多层感知机),它使用一个映射函数

来定义模型,其中 为输入,θ为模型参数。由于模型函数可以和一个有向无环图(DAG)等价,所以被称为网络。
隐藏层: 映射函数通常是多层的复合函数,例如

输入x 是输入层,中间函数对应于隐藏层,输出y 是输出层。
代价函数:衡量模型函数和数据集之间的距离的函数(最大似然)。它是模型参数θ的函数,记为 J (θ )。
梯度下降 :选择模型参数能使代价函数J (θ ) 最小化的优化方法。以梯度下降为代表的一系列优化方法,通过向参数θ 的负梯度方向迭代,来寻找最优的参数θ。
数量级:参数的数量通常有几十万到数百亿不等。

2
前向传播
当神经网络接收到输入层x后,经过网络不断向前流动,经过每一个隐藏层,最后传播到输出层y 的过程,称为 前向传播。在监督学习中,通常输出层y还会进一步得到代价函数J(θ) 。
3
反向传播
从代价函数 J(θ)出发,经过网络向后流动,传播到每一个参数上,计算出J(θ)对该参数θ 的梯度的过程,称为方向传播。之后,可以通过梯度下降等优化方法,得到模型的最优参数。
03
TensorFlow做了什么?
1
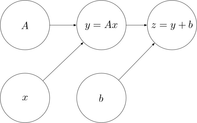
计算图(Computational Graph)
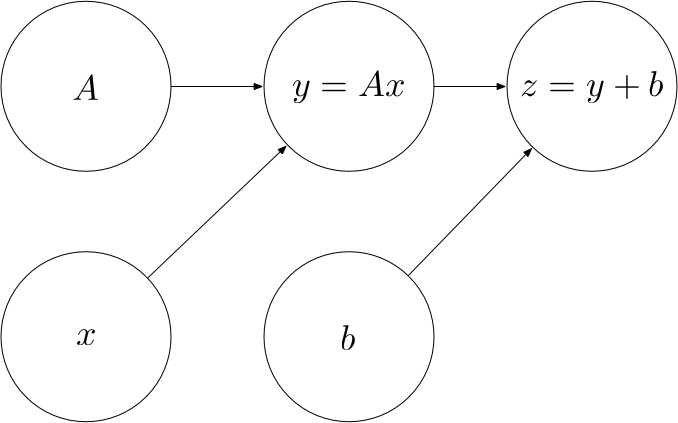
深度学习模型的落地离不开计算图,计算图可以认为是深度模型的描述语言,是神经网络计算的函数描述。计算图被定义为有向图(DAG),其中的节点对应于变量。通过计算图,可以方便的表达复杂计算。

上面的图例展示了一个简单的计算图,它对应于这么一个仿射变换:

其中 x是输入节点,A,b 是模型参数。
2
节点(Vertex)
在计算图中,节点用来表示一个变量。节点的输入和输出称为Tensor(它可以是标量,向量,矩阵或者更高维的)。根据输入输出的不同,节点可以分为以下三类:
Placeholder节点:整个计算图的输入节点。节点只有输出值,传递给它的子节点consumers。
class placeholder: def __init__(self): self.consumers = [] _default_graph.placeholders.append(self)
Variable节点:计算图中表示模型参数的节点。Variable节点拥有初始值value,将输出传递给它的子节点 consumers。
class Variable: def __init__(self, initial_value = None): self.value = initial_value self.consumers = [] _default_graph.variables.append(self)
Operation节点:使用Variable节点或Placeholder节点来组成简单的函数,可以通过复合Operation节点来建立复杂网络。它具有输入和输出,输入由父节点input_nodes传递,输出传递到子节点 consumers中。而compute方法需要继承,用来表述Operation节点所表示的函数计算。
class Operation: def __init__(self, input_nodes=[]): self.input_nodes = input_nodes self.consumers = [] for input_node in input_nodes: input_node.consumers.append(self) _default_graph.operations.append(self) def compute(self): pass
Addition Operation的具体写法
class add(Operation): def __init__(self, x, y): super().__init__([x, y]) def compute(self, x_value, y_value): self.inputs = [x_value, y_value] return x_value + y_value
3
图(Graph)
使用一个 Graph类来绑定计算图中的所有节点(opeartions、placeholders和varaibles)。当创建新的graph的时候,可以调用 as_default方法来设置为这张图的 _default_graph,这样不用显式地将节点绑定到图中。
class Graph: def __init__(self): """Construct Graph""" self.operations = [] self.placeholders = [] self.variables = [] def as_default(self): global _default_graph _default_graph = self
4
会话(Session)
完成了图定义,如何执行图?在TensorFlow中,通过定义Session实例,Client将计算图传递给后端,通过Session.run方法传递给master执行。
计算图的输出是特定的Operation节点。而输出节点的计算依赖其他中间节点, 必须保证operations是按拓扑顺序执行的,计算节点o之前,节点o的所有输入节点已经完成计算 。
比如,要计算z节点必须先计算出中间节点y。这里通过反向的后序遍历来完成拓扑排序。类似的, Session可以这么定义:
class Session: def run(self, operation, feed_dict = {}): """Computes the output of an operation """ ...def traverse_postorder(operation): nodes_postorder = [] def recurse(node): if isinstance(node, Operation): for input_node in node.input_nodes: recurse(input_node) nodes_postorder.append(node) recurse(operation) return nodes_postorder
session.run 方法首先对节点进行拓扑排序,并根据排序结果依次计算节点输出,完成图的执行。
5
前向传递算法
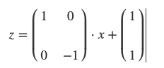
再回顾这张计算图:

它对应的放射变换可以用线性变换的方式写出,可以通过之前定义的代码完成前向传递的计算。

# Create a new graphGraph().as_default()# Create variablesA = Variable([[1, 0], [0, -1]])b = Variable([1, 1])# Create placeholderx = placeholder()# Create hidden node yy = matmul(A, x)# Create output node zz = add(y, b)session = Session()output = session.run(z, {x: [1, 2]})print(output)
可以得到结果:
[ 2 -1]
6
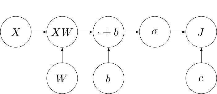
构建损失函数
深度学习中,分类任务通常使用交叉熵作为损失函数,它的公式如下:

其中c 是数据集中的真实分类标签。损失函数的Operation节点J由许多基础 Operation来构建。将输入和参数向量化,并添加节点J ,改写后的计算图如下:

# Create a new graphGraph().as_default()X = placeholder()c = placeholder()W = Variable([[1, -1], [1, -1]])b = Variable([0, 0])p = softmax( add(matmul(X, W), b) )# Cross-entropy lossJ = negative(reduce_sum(reduce_sum(multiply(c, log(p)), axis=1)))session = Session()print(session.run(J, { X: np.concatenate((blue_points, red_points)), c: [[1, 0]] * len(blue_points) + [[0, 1]] * len(red_points)}))
7
梯度下降优化算法
通过使用梯度下降方法来最小化代价函数,流程如下:
-
模型参数W和b设置随机初始值。
-
计算代价函数J对W和b的梯度。
-
分别在其负梯度的方向上下降一小步(使用
learning_rate控制步长大小)。 -
回到步骤2,继续执行。
class GradientDescentOptimizer: def __init__(self, learning_rate): self.learning_rate = learning_rate def minimize(self, loss): learning_rate = self.learning_rate class MinimizationOperation(Operation): def compute(self): # Compute gradients grad_table = compute_gradients(loss) for node in grad_table: if type(node) == Variable: grad = grad_table[node] node.value -= learning_rate * grad return MinimizationOperation()
compute_gradients 函数通过反向传递算法计算梯度,grad_table 字典存放了代价函数J节点对计算图中所有variable节点的当前梯度。
8
反向传递算法
链式法则是计算梯度的基本法则。下图和公式显示了e对a的梯度计算:


反向传递的算法用链式法则来计算节点n的梯度:
1. J节点自身的梯度为1。
2. 对任意节点z 的所有子节点 consumer,计算子节点的梯度。
3. 将子节点的梯度乘以节点z本身的梯度得到J节点对任意节点z的梯度 。
按照这种方式,直到反向传递到节点n。如果节点J经过多个路径方向传递到该节点,那么对该节点来自不同路径的梯度求和。
compute_gradients方法从J节点开始,使用 BFS的方式执行上面的流程。它会先计算所有子节点的梯度,然后计算当前节点的梯度,直到传递到输出节点。
from queue import Queuedef compute_gradients(loss): # grad_table[node] will contain the gradient of the loss w.r.t. the node's output ... return grad_table
9
节点自身的梯度
Operation的自身梯度通过预先定义,使用RegisterGradient注册到全局变量 _gradient_registry中。以sigmoid函数为例:
@RegisterGradient("sigmoid")def _sigmoid_gradient(op, grad): sigmoid = op.output return grad * sigmoid * (1-sigmoid)
04
实践:搭建MLP
MLP是经典的神经网络,在深度学习中广泛使用。MLP由多个节点层组成,每一层全连接到下一层。除了输入节点,每个节点都是一个带有非线性激活函数的神经元。下面构建了一个含有3个隐层的MLP来进行分类任务:

# Create a new graphts.Graph().as_default()# Create training input placeholderX = ts.placeholder()# Create placeholder for the training classesc = ts.placeholder()# Build a hidden layerW_hidden1 = ts.Variable(np.random.randn(2, 4))b_hidden1 = ts.Variable(np.random.randn(4))p_hidden1 = ts.sigmoid(ts.add(ts.matmul(X, W_hidden1), b_hidden1))# Build a hidden layerW_hidden2 = ts.Variable(np.random.randn(4, 8))b_hidden2 = ts.Variable(np.random.randn(8))p_hidden2 = ts.sigmoid(ts.add(ts.matmul(p_hidden1, W_hidden2), b_hidden2))# Build a hidden layerW_hidden3 = ts.Variable(np.random.randn(8, 2))b_hidden3 = ts.Variable(np.random.randn(2))p_hidden3 = ts.sigmoid(ts.add(ts.matmul(p_hidden2, W_hidden3), b_hidden3))# Build the output layerW_output = ts.Variable(np.random.randn(2, 2))b_output = ts.Variable(np.random.randn(2))p_output = ts.softmax(ts.add(ts.matmul(p_hidden3, W_output), b_output))# Build cross-entropy lossJ = ts.negative(ts.reduce_sum(ts.reduce_sum(ts.multiply(c, ts.log(p_output)), axis=1)))# Build minimization opminimization_op = ts.train.GradientDescentOptimizer(learning_rate=0.03).minimize(J)# Build placeholder inputsfeed_dict = { X: np.concatenate((blue_points, red_points)), c: [[1, 0]] * len(blue_points) + [[0, 1]] * len(red_points)}# Create sessionsession = ts.Session()# Perform 100 gradient descent stepsfor step in range(2000): J_value = session.run(J, feed_dict) if step % 100 == 0: print("Step:", step, " Loss:", J_value) session.run(minimization_op, feed_dict)
通过可视化决策边界,可以发现模型学习到了比较复杂的非线性关系。

05
联系TensorFlow
-
TensorSlow简单深刻的展示了深度学习框架底层的一般原理,加深理解生产使用的TensorFlow。
-
TensorFlow后端使用C++高效实现。
-
TensroFlow优化了算法过程,比如公共表达式消除,常量折叠。
-
TensorFlow支持分布式,支持GPU等硬件设备。
-
TensorFlow提供生产化的一系列工具。
06
主要参考资料
-
https://colah.github.io/posts/2015-08-Backprop/
-
www.cs.columbia.edu/~mcollins/ff2.pdf
-
http://www.cs.cornell.edu/courses/cs5740/2017sp/lectures/04-nn-compgraph.pdf
-
《TensorFlow 内核剖析》刘光聪
-
《深度学习》Ian Goodfellow, Yoshua Bengio
界世的你当不
只做你的肩膀
无
360官方技术公众号
技术干货|一手资讯|精彩活动
空·
更多精彩内容“阅读原文”
右边给我一朵小花花