找到那些氪金大佬,然后榨干他们丨AIの特殊技能

291 阅读6分钟
原文链接: zhuanlan.zhihu.com
郭一璞 假装发自 千代田
量子位 报道 | 公众号 QbitAI

网游,或者说,氪金手游,是一种很神奇的生态——总是由一部分大R(高额付费玩家)在养活游戏团队,而一部分零元党(免费玩家)在白嫖。

那么,锁定大R就是网游公司的重点工作任务,雇抠脚大汉冒充专属客服美眉、给大R们组织各种玩家活动见面会,都是“客户答谢”的手段。

但实际上,下载一个网游的大部分玩家都流失了,只有一少部分人才能成为大R,甚至好不容易吸引来的土豪也可能会中途卸载。

像这张图上展示的一样,大部分玩家都会很快卸载脱坑,一些哪怕是氪金玩家也会玩着玩着就弃了,只有少量玩家会持续往游戏里充钱,成为支撑游戏公司股价的中流砥柱。

那么,如何保证不在“白嫖”的玩家身上浪费精力,并且在游戏刚开服的时候提前找到那些氪金大佬,让他们贡献最多的钞票呢?

位于日本东京千代田的数据公司Yokozuna Data就研究出了一套AI方法,可以根据用户行为,在游戏刚进入市场的时候,就能找到那些未来会氪金大佬,然后通过各种活动、更新和设计,榨干他们的钱袋。

何时开始氪金?

首先,要拿现成的游戏当数据集。

这家日本公司找了两个游戏,一个是《Age of Ishtaria》,中文名可以译作《伊斯塔利亚时代》。

另一个是《Grand Sphere》,中文译名《宿命的王女与龙之骑士》,毕竟是根据日文名来的,名字又长又戏精,TapTap评分8.4分。

两个游戏的都是Yokozuna Data公司CEO的前东家出品,都是以可爱的小姐姐为主角抽卡对战游戏,追求SSR的大佬们可以尽情氪氪氪。

研究者们找到了《伊斯塔利亚时代》2015年1月至2017年2月期间的游戏数据,还有《宿命的王女与龙之骑士》2017年6月至2018年5月期间的游戏数据,包含每位玩家每日在游戏里的活动记录,比如游戏时间、游戏行为、沟通会话等。

数据集不包含新玩家,因为许多玩家手机上的游戏应用都不会保留到第二天,自然也不可能是付费用户,没有从他们身上挣钱的可能性。

因此,两款游戏中分别只有5.32%和5.30%的玩家进入了数据集中,总共30000名《伊斯塔利亚时代》的玩家,和10000名《宿命的王女与龙之骑士》的玩家,他们的数据被随机分配,30%成为了训练集,70%成为了测试集。

研究者们选取了三个影响他们是否付费主要的变量:

玩家生命周期:从注册开始,一名玩家总共玩了多少天。

等级:大部分游戏都会有的级别系统。

总共游戏时间:每位玩家在游戏里累计玩了多少个小时。

三个变量和用户是否付费息息相关。

《伊斯塔利亚时代》游戏中,玩的日子长的玩家付费比例更高:

等级越高的玩家,同样付费比例越高,几百级的玩家几乎个个都氪金:

游戏时长越长的玩家,付费比例越高,玩几千个小时的玩家基本都是付费的:

这些图上的阴影表示有95%的置信区间。

另外,如果你把付费的玩家单拎出来,就可以看到他们是在玩到第几天、第几级、第几个小时的时候开始付费的。

大部分付费玩家都是在玩这个游戏的一个月内就开始付费了:

此时,他们的等级基本都不到50级:

总共也没肝几十个小时:

毕竟,免费玩家才肝游戏,付费玩家都是直接氪的。

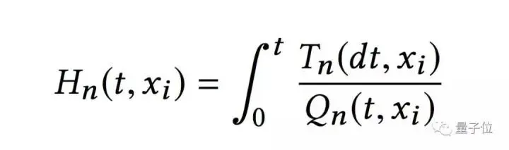
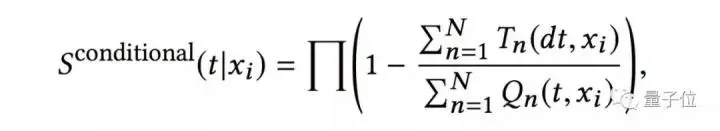
生存分析模型

有了数据之后,研究团队启用了生存分析模型(Survival analysis model),这也是首次使用生存分析的方法来做游戏付费用户研究。

主要用到了三种主要方法:

条件推理森林,Conditional Inference Forest

随机森林算法, Random Survival Forest

COX回归,Cox Regression

既然玩家付费状况和他们玩的天数、等级、小时数有关,那么久用这三种方法预测玩家玩的天数、等级、小时数,进而预测他们是否会付费。

通过上面的三种方法,分别预测天数、等级、小时数三个数值,得到了9个结果点阵图:

鉴于大部分玩家脱坑太快,比较小的数字点阵太密集,把它换成对数点阵图就会清晰一些:

从数据来看,无论采用的是三种之中的哪种方法,假阳性和假阴性都很低:

也就是说,通过用户行为来预测其玩一款游戏持续的日期、等级、时间,是可以通过生存分析的方法做出准确预测的,而这些玩的日子久、等级高、时间长的用户,多数都是付费的。

因此,对于一款刚上市的游戏来说,通过开服前几天内玩家们的游戏行为,就可以找到那些未来极有可能会充值付费的玩家,这样,就能做出针对性举措了。

研究者在论文中说,这种方法的确可以定位到具体玩家,基于过去行为预测未来的举动,借此来进行定制化的游戏体验。

毕竟,为了大R的感受而将游戏改版,也不是什么新鲜事。

另外,还能让游戏公司适度激励小R和零元党,促进他们的充值行为比如刺激低客单价玩家提高消费额度,或者刺激低频次消费提升消费频次。

传送门

论文

From Non-Paying to Premium: Predicting User Conversion in Video Games with Ensemble Learning

作者:Anna Guitart, Shi Hui Tan, Ana Fernández del Río, Pei Pei Chen, África Periáñez

https://arxiv.org/abs/1906.10320

量子位 · QbitAI

վ'ᴗ' ի 追踪AI技术和产品新动态

戳右上角「+关注」获取最新资讯↗↗

如果喜欢,请分享or点赞吧~比心❤