定义
中介者模式的作用就是解除对象与对象之间的紧耦合关系。增加一个中介者对象后,所有的 相关对象都通过中介者对象来通信,而不是互相引用,所以当一个对象发生改变时,只需要通知 中介者对象即可。中介者使各对象之间耦合松散,而且可以独立地改变它们之间的交互。中介者模式使网状的多对多关系变成了相对简单的一对多关系
11.1 基本知识
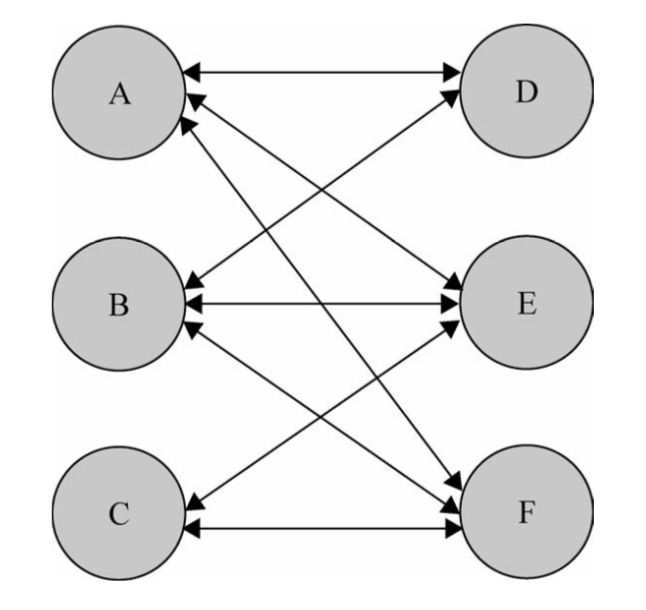
当不使用中介者模式的时候,每个人每个物体之间都会产生一些错综复杂的联系 , 如果要修改中间某一个对象都得小心翼翼, 因为会牵一发而动全身。如下图11-1:

如下图11-2使用中介者模式后:在图11-1中如果对象A发生了改变,则需要同时通知跟A发生引用关系的 B、D、E、F 这 4 个对象;而在图14-2中,使用中介者模式改进之后,A 发生改变时则只需要通知这个中介者 对象即可。

11.2 实现个小游戏
玩家可加入不同颜色的队伍
// 中介者
const playerDirector = (function() {
const players = {}; // all player
const operations = {}; // 能执行的操作
operations.addPlayer = (player) => {
const { teamColor, name } = player;
const colorTeams = players[teamColor] || [];
colorTeams.push(player);
}
operations.removePlayer = (player) => {
const { teamColor } = player;
players[teamColor] = colorTeams.filter((item) => item === player);
}
operations.playerDead = (player) => {
const { teamColor } = player;
let colorTeams = players[teamColor];
const hasAlive = colorTeams.find((item) => item.state === 'alive');
const allDead = !hasAlive;
if (allDead) {
colorTeams.forEach((item) => { item.lose() });
for (let color in players) {
if (color !== teamColor) {
players[color].forEach((item) => { item.win() });
}
}
}
}
operations.changeTeam = (player, newTeamColor) => {
const { teamColor } = palyer;
operations.removePlayer(player);
palyer.teamColor = newTeamColor;
operations.addPlayer(palyer)
}
return {
reciveMessage: (message, ...args) => operations[message].apply(this, args),
}
})();
// 玩家类
function Player(name, teamColor) {
this.name = name;
this.teamColor = teamColor;
this.state = 'alive';
}
Player.prototype.win = function() {
console.log(this.name+' won',);
}
Player.prototype.lose = function() {
console.log(this.name+' lose');
}
Player.prototype.die = function() {
this.state = 'dead';
playerDirector.reciveMessage('playerDead', this);
}
Player.prototype.changeTeam = function(newTeamColor) {
playerDirector.reciveMessage('changeTeam', this, newTeamColor);
}
// 玩家工厂
function PlayerFactory(palyer, color) {
const newPlayer = new Player(player, color);
playerDirector.reciveMessage('addPlayer', newPlayer);
}
11.3 总结
中介者模式使各个对象之间得以解耦,以中介者和对象之间的一对多关系取代了对象 之间的网状多对多关系。各个对象只需关注自身功能的实现,对象之间的交互关系交给了中介者 对象来实现和维护。 不过,中介者模式也存在一些缺点。其中,最大的缺点是系统中会新增一个中介者对象,因 为对象之间交互的复杂性,转移成了中介者对象的复杂性,使得中介者对象经常是巨大的。中介 者对象自身往往就是一个难以维护的对象。