429. N-ary Tree Level Order Traversal
Easy
246
31
Favorite
Share Given an n-ary tree, return the level order traversal of its nodes' values. (ie, from left to right, level by level).
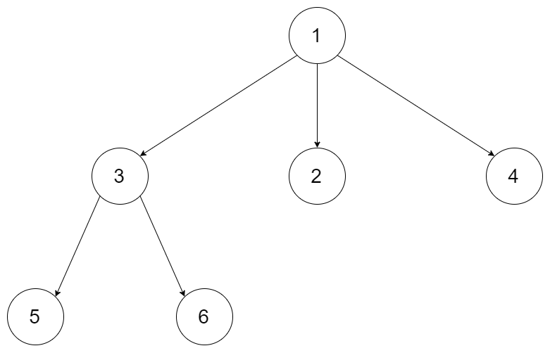
For example, given a 3-ary tree:

We should return its level order traversal:
[ [1], [3,2,4], [5,6] ]
Note:
The depth of the tree is at most 1000. The total number of nodes is at most 5000.
思路:广度优先搜索
代码:python3
class Solution(object):
def levelOrder(self, root):
from collections import deque
if not root:return []
q=deque([root])
arr=[]
while q:
level=[]
for c in range(len(q)):
cur = q.popleft()
for chi in cur.children:
q.append(chi)
level.append(cur.val)
arr.append(level)
return arr