线性回归—寻找练习时长与成绩之间的关系

623 阅读3分钟

你刻意练习了么?

在刻意练习这本书里,作者用大量的数据和例子来阐述这么一个观点:任何人利用正确的方法进行刻苦的练习,都可以在某个领域做到卓越。其中一个例子就是对小提琴学生做的调研。他把学生分为三组(即优秀,优异和最杰出三个小组),他发现他们之间最重要的差别是练习的时长,天生的天赋虽然刻意在刚开始能让人学习的更快,但是从长期来说,并没有起到决定性的作用。在18岁之前,优秀的学生平均训练时长是3420小时,优异的学生是5301小时,而最杰出的学生练习时长达到了7401小时。作者以此来证明任何人经过刻苦练习便可以达到杰出的水平。

线性回归

那么我们假设刻意练习里的结论是正确的,我们假设有一组练习时长与数学成绩的数据。 练习时长(h/w)|成绩
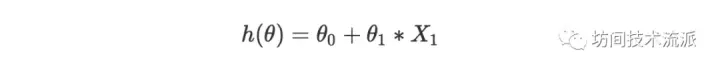
那我们该如何去寻找练习时长与成绩之间的关系呢?如果找到了这个关系,在知道一个学生的练习时长的情况下,便可以预测出他的成绩。我们来假定练习时长与成绩是一个线性的关系,那么一个假设的关系函数可以用如下式子表示:
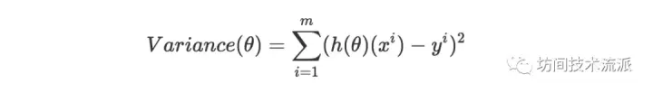
如果样本的数量为m, 那么我们可以求得相对于这个关系的方差
取其平均值,则可以表示为
J(θ) 越小,说明我们的预测将会越准确。所以问题求解转换成了求使得J(θ)最小的θ值,即minJ(θ)
我们可以随便给定一个θ值,然后在逐步缩小范围,当θ值稳定在一个数值的时候,说明找到了一个值是可以另θ最小的。逐步缩小范围的步骤可以用如下操作:
通过这个方法得出了θ值后,便确定了刚开始定义的h(θ), 利用这个函数便可以预测出练习时长和成绩之间的关系。而这种方法便是机器学习中的线性回归。而求解θ的过程便是梯度下降算法。
求出θ后,便可以将θ代入h(θ)从而得到成绩和练习时长的关系。

线性回归Python实现

首先我们来实现$J(\theta)$, 笔者使用Numpy做数值计算的库,使用matplotlib做数据的可视化。

代价函数

根据上面提到的
我们来定义compute_cost函数,只需要按照公式转化为矩阵运算即可。
def compute_cost(X, y, theta):
    m = y.size
    prediction = X.dot(theta) - y
    sqr = np.power(prediction, 2)
    cost = (1 / (2 * m)) * np.sum(sqr)
    return cost
我们可以将代价函数与theta的关系可视化出来:
def plot_J_history(X, y):
    theta0_vals = np.linspace(-10, 10, 100)
    theta1_vals = np.linspace(-1, 4, 100)

    J_vals = np.zeros((theta0_vals.size, theta1_vals.size))

    for i in range(theta0_vals.size):
        for j in range(theta1_vals.size):
            theta = np.array([theta0_vals[i], theta1_vals[j]])
            t = compute_cost(X, y, theta)
            J_vals[i, j] = t

    theta_x, theta_y = np.meshgrid(theta0_vals, theta1_vals)

    fig = plt.figure()
    ax = fig.gca(projection='3d')
    ax.plot_surface(theta_x, theta_y, J_vals)

    ax.set_xlabel(r'$\theta$0')
    ax.set_ylabel(r'$\theta$1')
    plt.show()

plotData.plot_J_history(X, y)
得出的图像大概是:

而这个图像最低的点,就是需要通过递归下降算法求出的点。

递归下降

上述的递归下降的微分表达式可以转化为数值表达式
用python则可以表示为:
def gradient_descent(X, y, theta, alpha, num_iters):
    m = y.size
    J_history = np.zeros((num_iters))

    for i in range(0, num_iters):
        prediction = X.dot(theta) - y
        delta = prediction.dot(X)
        theta = theta - alpha * (1 / m) * delta
        J_history[i] = compute_cost(X, y, theta)

    return theta, J_history
我们可以调用该函数求解$\theta$
theta = np.zeros((2,))
iterations = 1500
alpha = 0.01

theta, J_history = gradient_descent(X, y, theta, alpha, iterations)
求出$\theta$后代入$h(\theta)$就可以得出成绩与练习时长的关系。

最后

其实,看起来很麻烦,但是利用sklearn分装好的算法,只需要几行就可以搞定线性回归
from sklearn.linear_model import LinearRegression
... 导入训练数据
regressor = LinearRegression()
regressor = regressor.fit(X_train, Y_train)
这样就好了,emmm...