Desc
描述
求两个链表的交点,没有返回null
编写一个程序,找到两个单链表相交的起始节点。
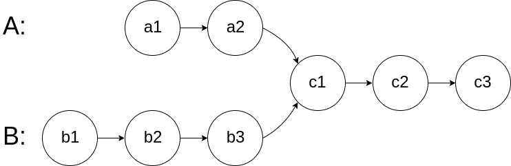
如下面的两个链表**:**

在节点 c1 开始相交。
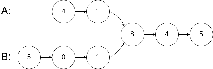
示例 1:

输入:intersectVal = 8, listA = [4,1,8,4,5], listB = [5,0,1,8,4,5], skipA = 2, skipB = 3
输出:Reference of the node with value = 8
输入解释:相交节点的值为 8 (注意,如果两个列表相交则不能为 0)。从各自的表头开始算起,链表 A 为 [4,1,8,4,5],链表 B 为 [5,0,1,8,4,5]。在 A 中,相交节点前有 2 个节点;在 B 中,相交节点前有 3 个节点。
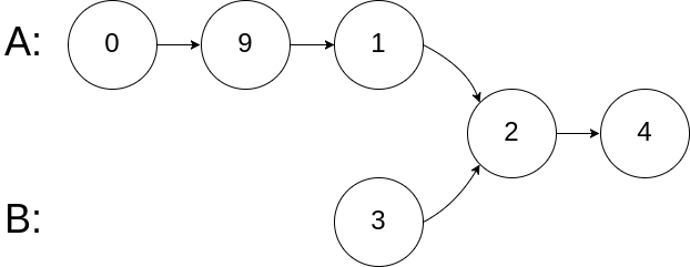
示例 2:

输入:intersectVal = 2, listA = [0,9,1,2,4], listB = [3,2,4], skipA = 3, skipB = 1
输出:Reference of the node with value = 2
输入解释:相交节点的值为 2 (注意,如果两个列表相交则不能为 0)。从各自的表头开始算起,链表 A 为 [0,9,1,2,4],链表 B 为 [3,2,4]。在 A 中,相交节点前有 3 个节点;在 B 中,相交节点前有 1 个节点。
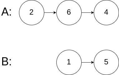
示例 3:

输入:intersectVal = 0, listA = [2,6,4], listB = [1,5], skipA = 3, skipB = 2
输出:null
输入解释:从各自的表头开始算起,链表 A 为 [2,6,4],链表 B 为 [1,5]。由于这两个链表不相交,所以 intersectVal 必须为 0,而 skipA 和 skipB 可以是任意值。
解释:这两个链表不相交,因此返回 null。
注意:
- 如果两个链表没有交点,返回
null. - 在返回结果后,两个链表仍须保持原有的结构。
- 可假定整个链表结构中没有循环。
- 程序尽量满足 O(n) 时间复杂度,且仅用 O(1) 内存。
思路
有交点
链表A |----a----|--c--| 交点前长度为a,交点后长度为c
链表B |----b--|--c--| 交点前长度为b,交点后长度为c
如果我们让指针在A上走完后,跳到B的开头继续, 让指针在B上走完后,跳到A的开头继续
| ----a---- | --c-- | ----b-- | --c-- |
| ----b-- | --c-- | ----a---- | --c-- |
他们会在交点处相遇
无交点
如果没有交点,会一起在末尾等于null跳出来
| ----a---- | ----b-- |
| ----b-- | ----a---- |
/**
* 一种异常巧妙的做法。
* @param headA
* @param headB
* @return
*/
public ListNode getIntersectionNodeBest(ListNode headA, ListNode headB) {
if (headA == null || headB == null) return null;
ListNode a = headA, b = headB;
while (a != b) {
a = (a != null) ? a.next : headB;
b = (b != null) ? b.next : headA;
}
return a;
}