141. Linked List Cycle

241 阅读1分钟

难度:Easy

题目要求

Given a linked list, determine if it has a cycle in it.

To represent a cycle in the given linked list, we use an integer pos which represents the position (0-indexed) in the linked list where tail connects to. If pos is -1, then there is no cycle in the linked list.

Example 1:

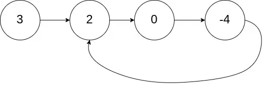
Input: head = [3,2,0,-4], pos = 1
Output: true
Explanation: There is a cycle in the linked list, where tail connects to the second node.

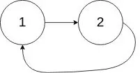
Example 2:

Input: head = [1,2], pos = 0
Output: true
Explanation: There is a cycle in the linked list, where tail connects to the first node.

Example 3:

Input: head = [1], pos = -1
Output: false
Explanation: There is no cycle in the linked list.

Follow up:

Can you solve it using O(1) (i.e. constant) memory?

中文说明

给定一个链表,判断链表中是否有环。

为了表示给定链表中的环,我们使用整数 pos 来表示链表尾连接到链表中的位置(索引从 0 开始)。 如果 pos 是 -1,则在该链表中没有环。

思路1

遍历链表并用哈希表保存遇到的元素。

public class Solution {
    public boolean hasCycle(ListNode head) {
        Set<ListNode> m = new HashSet<>();
        while (head != null) {
            if (m.contains(head)) return true;
            m.add(head);
            head = head.next;
        }
        return false;
    }
}
  • 时间复杂度:O(N)
  • 空间复杂度:O(N)

思路2

通过两个快慢指针slow和fast,其中slow每次步进一个,fast每次步进两个。 当链表有环的话,slow和fast会相遇。

public class Solution {
    public boolean hasCycle(ListNode head) {
        if (head == null) return false;
        ListNode slow = head, fast = head.next;
        while (fast != null) {
            if (slow == fast) return true;
            slow = slow.next;
            fast = fast.next;
            if (fast != null) fast = fast.next;
        }
        return false;
    }
}

更优雅的代码实现:

public class Solution {
    public boolean hasCycle(ListNode head) {
        ListNode slow = head, fast = head;
        while (fast != null && fast.next != null) {
            slow = slow.next;
            fast = fast.next.next;
            if (slow == fast) return true;
        }
        return false;
    }
}
  • 时间复杂度:O(N)
  • 空间复杂度:O(1)

更多