一文读懂 YUV 的采样与格式

2,976 阅读9分钟

YUV 是一种颜色编码方法,和它等同的还有 RGB 颜色编码方法。

RGB 颜色编码

RGB 三个字母分别代表了 红(Red)、绿(Green)、蓝(Blue),这三种颜色称为 三原色,将它们以不同的比例相加,可以产生多种多样的颜色。

在图像显示中,一张 1280 * 720 大小的图片,就代表着它有 1280 * 720 个像素点。其中每一个像素点的颜色显示都采用 RGB 编码方法,将 RGB 分别取不同的值,就会展示不同的颜色。

RGB 图像中,每个像素点都有红、绿、蓝三个原色,其中每种原色都占用 8 bit,也就是一个字节,那么一个像素点也就占用 24 bit,也就是三个字节。

一张 1280 * 720 大小的图片,就占用 1280 * 720 * 3 / 1024 / 1024 = 2.63 MB 存储空间。

YUV 颜色编码

YUV 颜色编码采用的是 明亮度色度 来指定像素的颜色。

其中,Y 表示明亮度(Luminance、Luma),而 U 和 V 表示色度(Chrominance、Chroma)。

而色度又定义了颜色的两个方面:色调和饱和度。

使用 YUV 颜色编码表示一幅图像,它应该下面这样的:

和 RGB 表示图像类似,每个像素点都包含 Y、U、V 分量。但是它的 Y 和 UV 分量是可以分离的,如果没有 UV 分量一样可以显示完整的图像,只不过是黑白的。

对于 YUV 图像来说,并不是每个像素点都需要包含了 Y、U、V 三个分量,根据不同的采样格式,可以每个 Y 分量都对应自己的 UV 分量,也可以几个 Y 分量共用 UV 分量。

RGB 到 YUV 的转换

对于图像显示器来说,它是通过 RGB 模型来显示图像的,而在传输图像数据时又是使用 YUV 模型,这是因为 YUV 模型可以节省带宽。因此就需要采集图像时将 RGB 模型转换到 YUV 模型,显示时再将 YUV 模型转换为 RGB 模型。

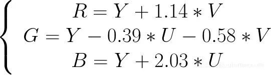
RGB 到 YUV 的转换,就是将图像所有像素点的 R、G、B 分量转换到 Y、U、V 分量。

有如下公式进行转换:

此时的转换结束后,每个像素点都有完整的 Y、U、V 分量。而之前提到 Y 和 UV 分量是可以分离的,接下来通过不同的采样方式,可以将图像的 Y、U、V 分量重新组合。

接下来的不同采样格式都是在一张图像所有像素的 RGB 转换到 YUV 基础上进行的。

YUV 采样格式

YUV 图像的主流采样方式有如下三种:

  • YUV 4:4:4 采样
  • YUV 4:2:2 采样
  • YUV 4:2:0 采样

YUV 4:4:4 采样

YUV 4:4:4 采样,意味着 Y、U、V 三个分量的采样比例相同,因此在生成的图像里,每个像素的三个分量信息完整,都是 8 bit,也就是一个字节。

如下图所示:

其中,Y 分量用叉表示,UV 分量用圆圈表示。

举个例子 :

假如图像像素为:[Y0 U0 V0]、[Y1 U1 V1]、[Y2 U2 V2]、[Y3 U3 V3]

那么采样的码流为:Y0 U0 V0 Y1 U1 V1 Y2 U2 V2 Y3 U3 V3 

最后映射出的像素点依旧为 [Y0 U0 V0]、[Y1 U1 V1]、[Y2 U2 V2]、[Y3 U3 V3] 

可以看到这种采样方式的图像和 RGB 颜色模型的图像大小是一样,并没有达到节省带宽的目的,当将 RGB 图像转换为 YUV 图像时,也是先转换为 YUV 4:4:4 采样的图像。

YUV 4:2:2 采样

YUV 4:2:2 采样,意味着 UV 分量是 Y 分量采样的一半,Y 分量和 UV 分量按照 2 : 1 的比例采样。如果水平方向有 10 个像素点,那么采样了 10 个 Y 分量,而只采样了 5 个 UV 分量。

如下图所示:

其中,Y 分量用叉表示,UV 分量用圆圈表示。

 举个例子 :
  
 假如图像像素为:[Y0 U0 V0]、[Y1 U1 V1]、[Y2 U2 V2]、[Y3 U3 V3]

 那么采样的码流为:Y0 U0 Y1 V1 Y2 U2 Y3 V3 

 其中,每采样过一个像素点,都会采样其 Y 分量,而 U、V 分量就会间隔一个采集一个。

 最后映射出的像素点为 [Y0 U0 V1]、[Y1 U0 V1]、[Y2 U2 V3]、[Y3 U2 V3]

采样的码流映射为像素点,还是要满足每个像素点有 Y、U、V 三个分量。但是可以看到,第一和第二像素点公用了 U0、V1 分量,第三和第四个像素点公用了 U2、V3 分量,这样就节省了图像空间。

一张 1280 * 720 大小的图片,在 YUV 4:2:2 采样时的大小为:

(1280 * 720 * 8 + 1280 * 720 * 0.5 * 8 * 2)/ 8 / 1024 / 1024 = 1.76 MB 。

可以看到 YUV 4:2:2 采样的图像比 RGB 模型图像节省了三分之一的存储空间,在传输时占用的带宽也会随之减少。

YUV 4:2:0 采样

YUV 4:2:0 采样,并不是指只采样 U 分量而不采样 V 分量。而是指,在每一行扫描时,只扫描一种色度分量(U 或者 V),和 Y 分量按照 2 : 1 的方式采样。比如,第一行扫描时,YU 按照 2 : 1 的方式采样,那么第二行扫描时,YV 分量按照 2:1 的方式采样。对于每个色度分量来说,它的水平方向和竖直方向的采样和 Y 分量相比都是 2:1 。

如下图所示:

其中,Y 分量用叉表示,UV 分量用圆圈表示。

假设第一行扫描了 U 分量,第二行扫描了 V 分量,那么需要扫描两行才能够组成完整的 UV 分量。

举个例子 :
 
假设图像像素为:
 
[Y0 U0 V0]、[Y1 U1 V1]、 [Y2 U2 V2]、 [Y3 U3 V3]
[Y5 U5 V5]、[Y6 U6 V6]、 [Y7 U7 V7] 、[Y8 U8 V8]
 
那么采样的码流为:Y0 U0 Y1 Y2 U2 Y3 Y5 V5 Y6 Y7 V7 Y8
 
其中,每采样过一个像素点,都会采样其 Y 分量,而 U、V 分量就会间隔一行按照 2 : 1 进行采样。
 
最后映射出的像素点为:

[Y0 U0 V5]、[Y1 U0 V5]、[Y2 U2 V7]、[Y3 U2 V7]
[Y5 U0 V5]、[Y6 U0 V6]、[Y7 U2 V7]、[Y8 U2 V8]

从映射出的像素点中可以看到,四个 Y 分量是共用了一套 UV 分量,而且是按照 2*2 的小方格的形式分布的,相比 YUV 4:2:2 采样中两个 Y 分量共用一套 UV 分量,这样更能够节省空间。

一张 1280 * 720 大小的图片,在 YUV 4:2:0 采样时的大小为:

(1280 * 720 * 8 + 1280 * 720 * 0.25 * 8 * 2)/ 8 / 1024 / 1024 = 1.32 MB 。

可以看到 YUV 4:2:0 采样的图像比 RGB 模型图像节省了一半的存储空间,因此它也是比较主流的采样方式。

YUV 存储格式

说完了采样,接下来就是如何把采样的数据存储起来。

YUV 的存储格式,有两种:

  • planar 平面格式
    • 指先连续存储所有像素点的 Y 分量,然后存储 U 分量,最后是 V 分量。
  • packed 打包模式
    • 指每个像素点的 Y、U、V 分量是连续交替存储的。

根据采样方式和存储格式的不同,就有了多种 YUV 格式。这些格式主要是基于 YUV 4:2:2 和 YUV 4:2:0 采样。

常见的基于 YUV 4:2:2 采样的格式如下表:

YUV 4:2:2 采样
YUYV 格式
UYVY 格式
YUV 422P 格式

常见的基于 YUV 4:2:0 采样的格式如下表:

YUV 4:2:0 采样 YUV 4:2:0 采样
YUV 420P 类型 YV12 格式 YU12 格式
YUV 420SP 类型 NV12 格式 NV21 格式

更多的 YUV 格式信息参考这里:YUV pixel formats

基于 YUV 4:2:2 采样的格式

YUV 4:2:2 采样规定了 Y 和 UV 分量按照 2: 1 的比例采样,两个 Y 分量公用一组 UV 分量。

YUYV 格式

YUYV 格式是采用打包格式进行存储的,指每个像素点都采用 Y 分量,但是每隔一个像素采样它的 UV 分量,排列顺序如下:

Y0 UO Y1 V0 Y2 U2 Y3 V2

Y0 和 Y1 公用 U0 V0 分量,Y2 和 Y3 公用 U2 V2 分量....

UYVY 格式

UYVY 格式也是采用打包格式进行存储,它的顺序和 YUYV 相反,先采用 U 分量再采样 Y 分量,排列顺序如下:

U0 Y0 V0 Y1 U2 Y2 V2 Y3

Y0 和 Y1 公用 U0 V0 分量,Y2 和 Y3 公用 U2 V2 分量....

根据 UV 和 Y 的顺序还有其他格式,比如,YVYU 格式,VYUY 格式等等,原理大致一样了。

YUV 422P 格式

YUV 422P 格式,又叫做 I422,采用的是平面格式进行存储,先存储所有的 Y 分量,再存储所有的 U 分量,再存储所有的 V 分量。

基于 YUV 4:2:0 采样的格式

基于 YUV 4:2:0 采样的格式主要有 YUV 420P 和 YUV 420SP 两种类型,每个类型又对应其他具体格式。

  • YUV 420P 类型
    • YU12 格式
    • YV12 格式
  • YUV 420SP 类型
    • NV12 格式
    • NV21 格式

YUV 420P 和 YUV 420SP 都是基于 Planar 平面模式 进行存储的,先存储所有的 Y 分量后, YUV420P 类型就会先存储所有的 U 分量或者 V 分量,而 YUV420SP 则是按照 UV 或者 VU 的交替顺序进行存储了,具体查看看下图:

YUV420SP 的格式:

YUV420P 的格式:

YU12 和 YV12 格式

YU12 和 YV12 格式都属于 YUV 420P 类型,即先存储 Y 分量,再存储 U、V 分量,区别在于:YU12 是先 Y 再 U 后 V,而 YV12 是先 Y 再 V 后 U 。

YV 12 的存储格式如下图所示:

YU 12 又称作 I420 格式,它的存储格式就是把 V 和 U 反过来了。

NV12 和 NV21 格式

NV12 和 NV21 格式都属于 YUV420SP 类型。它也是先存储了 Y 分量,但接下来并不是再存储所有的 U 或者 V 分量,而是把 UV 分量交替连续存储。

NV12 是 IOS 中有的模式,它的存储顺序是先存 Y 分量,再 UV 进行交替存储。

NV21 是 安卓 中有的模式,它的存储顺序是先存 Y 分量,在 VU 交替存储。

小结

以上就是关于 YUV 的知识总结,你有看明白了嘛?

参考

  1. blog.csdn.net/grow_mature…
  2. www.cnblogs.com/azraelly/ar…
  3. blog.csdn.net/MrJonathan/…
  4. blog.csdn.net/wudebao5220…
  5. msdn.microsoft.com/zh-cn/libra…
  6. www.fourcc.org/yuv.php

欢迎关注微信公众号:【纸上浅谈】,获得最新文章推送~~~

扫码关注