目录
- 树形结构
- 树的基本概念
- 有序树,无序树,森林
- 二叉树介绍
- 其他二叉树
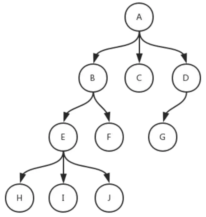
一 树形结构


生活中的二叉树


二 树(Tree)的基本概念
节点
节点,根节点,父节点,子节点,兄弟节点
一棵树可以没有任何节点,称为
空树一棵树可以只有一个节点,即只有根节点
子树,左子树,右子树
节点的
度:子树的个树树的
度:所有节点度中的最大值叶子节点:度为0的节点非叶子节点:度不为0的节点

深度高度
层数(level):根节点在第一层,根节点的子节点在第二层,以此类推。
节点的深度(depth):从根节点到当前节点的唯一路径上的节点总数
节点的高度(height):从当前节点到最远叶子节点的路径上的节点总数
树的深度:所有节点深度中的最大值
树的高度:所有节点高度中的最大值
树的深度等于树的高度
三 有序树,无序树,森林
有序树:树中任意节点的子节点之间有顺序关系
无序树:树中任意节点的子节点之间没有顺序关系,也称为自由树
森林:由m(m>=0)课互不相交的树组成的集合
四 二叉树
4.1 二叉树的特点
- 每个节点的度最大为2(最多拥有2棵子树)
- 左子树和右子树是有顺序的
- 即使某节点只有一棵子树,也要区分左右子树

4.2 二叉树的性质
1.非空二叉树的第i层,最多有 2i-1个节点(i >= 1)
2.在高度为h的二叉树上,最多有2h - 1 个节点(h >= 1)
3.对于任何一棵非空二叉树,如果叶子节点个数为n0,度为2的节点个数为n2,则有 n0 = n2 + 1
假设度为1的节点个数为n1,那么二叉树的节点总数为 n=n0 + n1 + n2
二叉树的边树 T = n1 + 2 * n2 = n - 1 = n0 + n1 + n2 - 1
因此 n0 = n2 + 1

4.3 真二叉树(Proper Binary Tree)
真二叉树:所有节点的度都要么为0,要么为2

4.4 满二叉树(Full Binary Tree)
满二叉树:所有节点的度要么为0,要么为2,并且所有的叶子节点都在最后一层。

假设满二叉树的高度为h(h >= 1)
- 第i层的节点数量为 2i-1
- 叶子节点数量为 2h-1
假设总节点数量为n,则
n = 2 h - 1 = 20 + 21 + ... + 2h-1
h = log2(n + 1)
- 在同样高度的二叉树中,满二叉树的叶子节点数量最多,总节点数最多
- 满二叉树一定是真二叉树,真二叉树不一定是满二叉树
4.5 完全二叉树(Complete Binary Tree)
完全二叉树:叶子节点只会出现最后2层,并且最后一层的叶子节点都靠左对对齐

- 完全二叉树从
根节点至倒数第二层是一颗满二叉树 - 满二叉树一定是完全二叉树,完全二叉树不一定是满二叉树
4.5.1 完全二叉树的性质
- 度为1的节点只有左子树
- 度为1的节点,要么是1个,要么是0个
- 同样节点数量的二叉树,完全二叉树的高度最小
假设完全二叉树的高度为h(h >= 1),那么
- 至少有2h-1个节点(20 + 21 + ... + 2h-2 + 1)
- 最多有2h - 1个节点,(20 + 21 + ... + 2h-1,满二叉树)
- 假设总节点数量为n,则
- 2h-1 <= n < 2h
- h - 1 <= log2n < h
- h = floor(log2n) + 1
- floor是向下取整,ceiling是向上取整意思
4.5.2 完全二叉树的性质
一棵有n个节点的完全二叉树(n > 0),从上到下,从左到右,对节点从1开始编号,对任意第i个节点
- 如果 i = 1,它是
根节点 - 如果 i > 1,它的
父节点编号为floor(i / 2) - 如果 2i <= n,它的
左子节点编号为2i - 如果 2i > n,它
无左子节点 - 如果 2i + 1 <= n,它的
右子节点编号为2i + 1 - 如果 2i + 1 > n,它无右子节点

五 其他二叉树
完满二叉树: 所有非叶子节点的度都为2
完美二叉树:所有非叶子节点的度都为2,并且所有的叶子节点都在最后一层
完全二叉树:所有节点的度要么为0,要么为2,并且所有的叶子节点都在最后一层。
本文会持续更新中,更多精彩内容敬请期待。
本文参考 MJ老师的 恋上数据结构与算法
本人技术水平有限,如有错误欢迎指正。
书写整理不易,您的打赏点赞是对我最大的支持和鼓励,欢迎点赞打赏。