【基础知识】
【联合概率】 表示两个事件共同发生的概率。A与B的联合概率表示为 P(AB) 或者P(A,B)。
【条件概率】 条件概率是指事件A在事件B发生的条件下发生的概率.
P(A|B)=P(A,B)/P(B)
【全概率公式】 若事件A1,A2,…构成一个完备事件组且都有正概率,则对任意一个事件B,有如下公式成立:

想理解朴素贝叶斯,就要先明白什么是贝叶斯公式。贝叶斯公式主要是描述了两种条件概率之间的关系,即P(A|B)与P(B|A)的关系。
P(A|B)=P(A)*P(B|A)/P(B)
在这个公式当中,相当于我们最后想知道在事件B的条件下事件A发生的概率,
P(A):事件A的先验概率,即在没有任何条件的情况下吗,对事件的基本判断。
P(A|B):后验概率,是在条件B之下事件A发生的概率。
P(B|A)/P(B):相当于一个调整因子,使得先验概率经过调整得到后验概率,当这部分等于1,说明事件B的加入对于判断A的可能性没有帮助,先验等于后验。当它大于1,说明A发生的概率由于B的加入增大了。
【朴素贝叶斯原理】
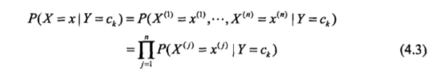
朴素二字从哪来的,因为在这个分类器中,我们假设在类别确定的情况下,各个特征之间是条件独立的,这就使得贝叶斯变的简单朴素,但是以牺牲一些分类准确性为代价,因为我们无法保证各个特征之间真的完全不相关。所以说,朴素贝叶斯比较适合特征之间相关性较弱的分类模型。
由于我们假设在类别确定的情况下各个特征之间条件独立,那么当有n个特征的时候


后验概率的最大化背后的原理等同于期望误差最小化,证明过程如下:


【举个例子】
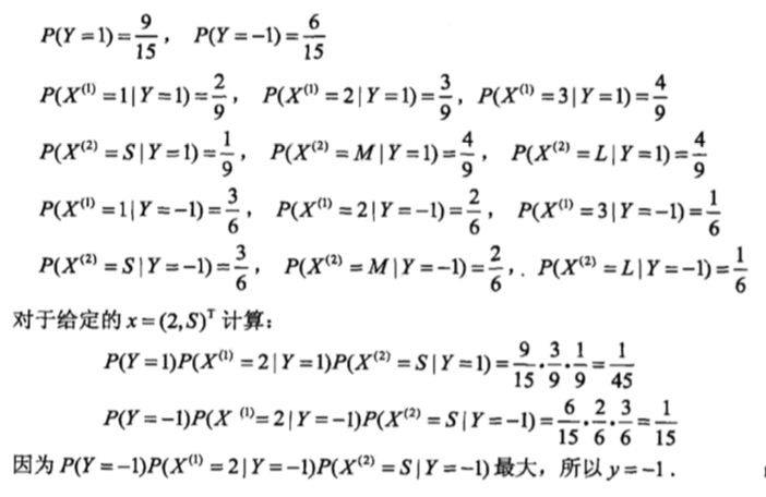
如果觉得已经懂了,做个例子:


【思考题】
在对特征空间的划分上,朴素贝叶斯与决策树的区别?
答案参考我师兄的这篇朴素贝叶斯