蚂蚁金服核心技术:百亿特征实时推荐算法揭秘

1,505 阅读17分钟

文章提出一整套创新算法与架构,通过对TensorFlow底层的弹性改造,解决了在线学习的弹性特征伸缩和稳定性问题,并以GroupLasso和特征在线频次过滤等自研算法优化了模型稀疏性。在支付宝核心推荐业务获得了uvctr的显著提升,并较大地提升了链路效率。

0.综述

在线学习(Online learning)由于能捕捉用户的动态行为,实现模型快速自适应,进而成为提升推荐系统性能的重要工具。然而它对链路和模型的稳定性,训练系统的性能都提出了很高的要求。但在基于原生TensorFlow,设计Online推荐算法时,我们发现三个核心问题:

一些资讯推荐场景,需要大量长尾词汇作为特征,需使用featuremap对低频特征频次截断并连续性编码,但耗时且方法aggressive。

使用流式数据后,无法预知特征规模,而是随训练逐渐增长。因此需预留特征空间训练几天后重启,否则会越界。

模型稀疏性不佳,体积达到数十GB,导致上传和线上加载耗时长且不稳定。

更重要的是,在线学习如火如荼,当流式特征和数据都被打通后,能按需增删特征,实现参数弹性伸缩的新一代训练平台成为大势所趋。为了解决这些问题,从2017年底至今,蚂蚁金服人工智能部的同学,充分考虑蚂蚁的业务场景和链路,对TensorFlow进行了弹性改造, 解决了以上三大痛点,简化并加速离线和在线学习任务。其核心能力如下:

弹性特征伸缩体系,支持百亿参数训练。

group_lasso优化器和频次过滤,提高模型稀疏性,明显提升线上效果。

模型体积压缩90%,完善的特征管理和模型稳定性监控。

在与业务线团队的共同努力下,目前已在支付宝首页的多个推荐场景全流量上线。其中某推荐位的个性化online learning桶最近一周相比线上多模型融合最优桶提升4.23% , 相比随机对照提升达34.67% 。 某个性化资讯推荐业务最近一周,相比DNN基准uv-ctr提升+0.77%,pv-ctr提升+4.78%,模型体积压缩90%,链路效率提升50%。

1. 弹性改造及优势

背景:在原生TensorFlow中,我们通过Variable来声明变量,若变量超过了单机承载的能力,可使用partitioned_variables来将参数分配到不同机器上。 但必须指定shape,声明后即不可改变,通过数组索引查找。

由于推荐系统中大量使用稀疏特征,实践中一般采取embedding_lookup_sparse一类的方法在一个巨大的Dense Variable中查找向量并求和,来代替矩阵乘法。开源Tensorflow限定了Variable使用前必须声明维度大小,这带来了两个问题:

1)需要预先计算特征到维度范围内的int值的映射表,这一步操作通常在ODPS上完成。因为需要扫描所有出现的特征并编号,计算非常缓慢;

2)在online learning场景下,为了容纳新出现的特征,需要预留一部分维度空间,并在线上不断修改映射表,超过预留空间则需要重新启动在线任务。

为了突破固定维度限制,实现特征的动态增加和删除,最朴素的优化想法是在TensorFlow底层实现模拟字典行为的Variable,并在此基础上重新实现Tensorflow上层API。由此我们进行了优化,在server新增了基于HashMap的HashVariable,其内存结构如下:



在声明该变量时,只需增加一句,其他训练代码皆不需改动:



每个特征都通过hash函数映射到一个2的64次方大小的空间内。当需要计算该特征时,PS会按需惰性创建并返回之。但其上层行为与原生TF一致。由于去掉了featuremap转ID的过程,我们内部形象地将其称为“去ID化”。在此之上我们实现了Group Lasso FTRL,频次过滤和模型压缩等一系列算法。

备注:弹性特征带来一个显著的优势:只要用足够强的L1稀疏性约束,在单机上就能调试任意大规模的特征训练,带来很多方便。我们的hashmap实现是KV化的,key是特征,value是vector的首地址。

离线训练优化

经过这样的改造后,在离线批量学习上,带来了以下变化:



在线训练优化

online learning上,能带来如下变化:



除了性能有明显的提升之外,其最大的优势是不需提前申请空间,训练可以无缝稳定运行。

2. 特征动态增删技术

弹性架构,主要目的就是特征优选,让模型自适应地选择最优特征,进而实现稀疏化,降低过拟合。本节介绍特征优选的两个核心技术:

使用流式频次过滤, 对特征进入进行判定。

使用Group Lasso优化器,对特征进行筛选和删除。

2.1 Group Lasso 优化器

稀疏化是算法追求的重要模型特性,从简单的L1正则化和Truncated Gradient[9], 再到讨论累积梯度平均值的RDA(Regularized Dual Averaging)[10], 再到目前常见的 FTRL[2] 。 然而它们都是针对广义线性模型优化问题提出的稀疏性优化算法,没有针对sparse DNN中的特征embedding层做特殊处理。把embedding参数向量当做普通参数进行稀疏化,并不能达到在线性模型中能达到的特征选择效果,进而无法有效地进行模型压缩。

例如:当包含新特征的样本进入时,一个特征对应的一组参数(如embedding size为7,则参数数量为7)被激活,FTRL判定特征中的部分参数无效时,也不能安全地将该特征删除。如图:



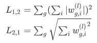
因此,在L1和L2正则的基础上,人们引入L21正则(group lasso)和L2正则(exclusive sparsity),分别表示如下:



L21早在2011年已经引入,它最初目的是解决一组高度关联特征(如男女)应同时被保留或删除的问题,我们创新地扩展到embedding的表示上,以解决类似的问题。

在L21中,由于内层L2正则将一个特征的所有参数施加相同的约束,能将整组参数清除或保留,由此决定embedding层中的某些特征对应的embedding向量是否完全删除,提升模型泛化性。因此称为group lasso。

而L12则正好相反,它迫使每组参数中的非0参数数量一致但值又尽可能不同,但使输出神经元互相竞争输入神经元,进而使特征对目标更具区分性。

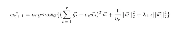
对于DNN分类网络,底层表示要求有足够的泛化性和特征抽象能力,上层接近softmax层,需要更好的区分性。因此我们通常在最底层的embedding层使用group lasso。即如下的优化目标:



直接将L21正则项惩罚加入loss,模型最终也能收敛,但并不能保证稀疏性。因此Group lasso优化器参考了FTRL,将梯度迭代分成两个半步,前半步按梯度下降,后半步微调实现稀疏性。通过调节L1正则项(即公式中的λ),能有效地控制模型稀疏性。

Group lasso是弹性计算改造后,模型性能提升和压缩的关键。值得指出:

在我们实现的优化器中,Variable,以及accum和linear两个slot也是KV存储。

L12和L21正则相结合的方法也已经有论文讨论[8],但我们还未在业务上尝试出效果。

由于篇幅限制,本节不打算详细介绍Group lasso的原理和推导

2.2 流式频次过滤

讨论完特征动态删除的方法后,我们再分析特征的准入策略。

2.2.1 频次过滤的必要性

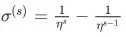
在Google讨论FTRL的文章1中提到, 在高维数据中大部分特征都是非常稀疏的,在亿级别的样本中只出现几次。那么一个有趣的问题是,FTRL或Group FTRL优化器能否能删除(lasso)极低频特征?

在RDA的优化公式中,满足以下条件的特征会被置0:



若在t步之前,该特征只出现过几次,未出现的step的梯度为0,随着步数增大,满足上述条件变得越来越容易。由此RDA是可以直观处理极稀疏特征的。 但对于FTRL,要满足:



其中,

不仅和历史梯度有关,还与历史学习率和权重w有关。 因此FTRL虽然也能处理极稀疏特征,但并没有RDA那么aggressive(此处还待详细地分析其下界,Group FTRL与此类似)。

由于FTRL在设计和推导时并未明确考虑极低频特征,虽然通过增大λ,确实能去除大量极低频特征,但由于约束太强,导致部分有效特征也被lasso,在离线实验中被证明严重影响性能。其次,对这些巨量极低频特征,保存历史信息的工程代价是很高昂的(增加几倍的参数空间和存储需求),如下图:



因此我们提出,能否在实时数据流上模拟离线频次过滤,为特征提供准入门槛,在不降低模型性能的基础上,尽量去除极低频特征,进一步实现稀疏化?

2.2.2 频次过滤的几种实现

注意: 由于默认的embedding_lookup_sparse对特征执行了unique操作(特征归一化以简化计算),因此在PS端是不可能获取真实特征和label频次的。需要Python端对placeholder统计后,上传给server端指定的Variable,优化器通过slot获得该Variable后作出联合决策。

最naive的思路是模拟离线频次过滤,对特征进行计数,只有达到一定阈值后再进入训练,但这样破坏了数据完整性:如总频次6,而阈值过滤为5,则该特征出现的前5次都被忽略了。为此我们提出了两种优化方案:

基于泊松分布的特征频次估计

在离线shuffle后的特征满足均匀分布,但对在线数据流,特征进入训练系统可看做泊松过程,符合泊松分布:

其中n为当前出现的次数,t为当前的步数,λ为单位时间发生率,是泊松分布的主要参数,T为训练总步数。

为特征最低门限(即最少在T时间内出现的次数)。

因此我们能通过前t步的特征出现的次数n,将t时刻当做单位时间,则

。 根据泊松分布,我们可以算出剩余

时间内事件发生大于等于

次的概率

。 每次该特征出现时,都可按该概率

做伯努利采样,特征在t步进入系统的概率用下式计算:

通过真实线上数据仿真,它能接近离线频次过滤的效果,其λ是随每次特征进入时动态计算的。它的缺陷是:

当t越小时,事件发生在t内的次数的variance越大,所以会以一定概率误加或丢弃特征。

未来总的训练步数T在在线学习中是未知的。

频次过滤与优化器相分离,导致不能获得优化器的统计信息。

动态调L1正则方案

在经典的FTRL实现中,L1正则对每个特征都是一致的。这导致了2.2.1 中提到的问题:过大的L1虽然过滤了极低频特征,但也影响的了模型的性能。参考各类优化器(如Adam)对learning_rate的改进,我们提出:通过特征频次影响L1正则系数,使得不同频次的特征有不同的lasso效果。

特征频次和基于MLE的参数估计的置信度相关,出现次数越低置信度越低。如果在纯频率统计基础上加入一个先验分布(正则项),当频率统计置信度越低的时候,越倾向于先验分布,相应的正则系数要更大。我们经过多个实验,给出了以下的经验公式:

其中c是惩罚倍数,

为特征最低门限,这两者皆为超参,

是当前特征出现的频次。

我们在线上环境,使用了动态调节L1正则的方案 。在uvctr不降甚至有些微提升的基础上,模型特征数比不使用频次过滤减少75%,进而从实验证明了频次过滤对稀疏化的正向性。它的缺点也很明显:特征频次和正则系数之间的映射关系缺少严谨证明。

频次过滤作为特征管理的一部分,目前还少有相关论文研究,亟待我们继续探索。

3. 模型压缩和稳定性

3.1 模型压缩

在工程上,由于做了优化,如特征被优化器lasso后,只将其置0,并不会真正删除;在足够多步数后才删除。同时引入内存池,避免特征的反复创建和删除带来的不必要的性能损失。 这就导致在训练结束后,模型依然存在大量0向量。导出时要进一步做模型压缩。

由于引入了HashPull和HashPush等非TF原生算子,需要将其裁剪后转换为原生TF的op。 我们将这些步骤统称图裁剪(GraphCut), 它使得线上inference引擎,不需要做任何改动即可兼容弹性改造。由于有效特征大大减少,打分速度相比原引擎提升50%以上。

我们将图裁剪看做TF-graph的静态优化问题,分为3个步骤:

第一遍遍历Graph,搜索可优化子结构和不兼容的op。

第二遍遍历,记录节点上下游和元数据,裁剪关键op,并将Variable的非0值转存至Tensorflow原生的MutableDenseHashTable。本步骤将模型体积压缩90%。

拼接新建节点,重建依赖关系,最后递归回溯上游节点,去除与inference无关的子图结构

我们实现了完整简洁的图裁剪工具,在模型热导出时调用, 将模型从原先的8GB左右压缩到几百兆大小,同时保证模型打分一致。

3.2 模型稳定性和监控

online learning的稳定性非常重要。我们将线上真实效果,与实时模型生成的效果,进行了严密的监控,一旦样本偏差过多,就会触发报警。

由于需捕捉时变的数据变化,因而不能用固定的离线数据集评估模型结果。我们使用阿里流式日志系统sls最新流入的数据作为评估样本,以滑动窗口先打分后再训练,既维持了不间断的训练,不浪费数据,同时尽可能高频地得到最新模型效果。

我们对如下核心指标做了监控:

样本监控: 正负比例,线上打分值和online-auc(即线上模型打分得到的auc),产出速率,消费速率。

训练级监控: AUC, User-AUC(参考备注),loss, 模型打分均值(与样本的正负比例对齐),异常信息。

特征级管理: 总特征规模,有效/0/删除特征规模,新增/插入/删除的速率。

整体模型和调度:模型导出的时间,大小,打分分布是否正常,是否正常调度。

业务指标:uvctr,pvctr(小时级更新,T+1报表)。

线上与训练指标之间的对应关系如下表:



通过http接口,每隔一段时间发送监控数据,出现异常会及时产生钉钉和邮件报警。下图是对9月20日到27号的监控,从第二张图表来看,模型能较好的适应当前数据流的打分分布。



User-AUC:传统的AUC并不能完全描述uvctr,因为模型很可能学到了不同用户间的偏序关系,而非单个用户在不同offer下的点击偏序关系。为此,我们使用了User-AUC,它尽可能地模拟了线上uvctr的计算过程,在真实实验中,监控系统的uvctr小时报表,与实时模型输出的User-AUC高度一致。

4. 工程实现和效果

目前算法已经在支付宝首页的多个推荐位上线。推荐系统根据用户的历史点击,融合用户画像和兴趣,结合实时特征,预估用户CTR,进而提升系统整体点击率。

我们以推荐位业务为例说明,其采用了经典的wide&deep的网络结构,其sparse部分包含百级别的group(见下段备注1)。 一天流入约百亿样本,label的join窗口为固定时长。由于负样本占大多数,上游链路对正负样本做了1:8的降采样(见下文备注2)。

训练任务采用蚂蚁统一训练平台构建,并使用工作流进行定时调度,离线和在线任务的其他参数全部一致。Batchsize为512,每200步(即20万样本)评估结果,定时将模型通过图裁剪导出到线上系统。当任务失败时,调度系统会自动拉起,从checkpoint恢复。

该推荐业务的online learning桶最近一周相比线上多模型融合最优桶提升4.23% , 相比随机对照提升达34.67% 。 另一资讯推荐业务其最近一周,相比DNN基准uv-ctr提升+0.77%,pv-ctr提升+4.78%。实验效果相比有较大的提升。

备注1: group embedding是将相似emb特征分组,各自lookup求和后再concat,使得特征交叉在更高层进行。其设计是考虑到不同group的特征差异很大(如user和item),不应直接对位求和。

备注2: inference打分仅做pointwise排序,采样虽改变数据分布但不改变偏序关系,因此并未在训练上做补偿。

5. 未来工作

弹性特征已经成为蚂蚁实时强化深度学习的核心要素。它只是第一步,在解决特征空间按需创建问题后,它会带来一个充满想象力的底层架构,众多技术都能在此基础上深挖: 在工程上,可继续从分钟级向秒级优化,进一步提升链路实时性并实现模型增量更新; 在算法上,我们正在探索如样本重要性采样,自动特征学习,在线线性规划与DNN的结合,实现优化器联合决策等技术。

由于在线学习是个复杂的系统工程,我们在开发和调优时遇到了大量的困难,涉及样本回流,训练平台,模型打分,线上评估等一系列问题,尤其是稳定性,但基本都一一克服。为了保证线上结果稳定可信,我们在观察和优化两三个月后才发布这篇文章。

本文作者为蚂蚁金服人工智能部认知计算组的基础算法团队,团队涉及图像、NLP、推荐算法和知识图谱等领域,带头人为国家知名算法专家褚崴,拥有定损宝和理赔宝等核心业务。

分享

本人13年Java开发经验及产品研发经验,BAT背景,曾在多家知名企业担任技术总监、企业方案选型首席顾问,先后从事内核开发、大型Java系统架构设计和物联网系统架构设计开发,精通复杂业务技术方案选型、架构、核心难点攻关,对于java语言及项目有非常深入的理解和丰富的实操经验,热爱前沿技术,乐于进行技术分享与技术探讨。