redis双向链表

406 阅读2分钟

前言

大年初三,在家无所事事,脑袋格外清醒,就来磕会源码,晕了就可以睡觉啦。

哈哈哈,催眠一绝。

今天看的是数据结构为list类型的底层实现,怕偶以后忘记了,特地重新撸一遍。

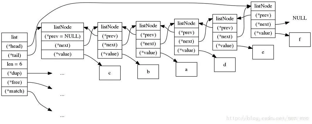
127.0.0.1:6379> LPUSH list a b c //依次在链表头部插入a、b、c 
 (integer) 3
127.0.0.1:6379> RPUSH list d e f //依次在链表尾部插入d、e、f
 (integer) 6 
127.0.0.1:6379> LRANGE list 0 -1 //查看list的值
 1) "c"
 2) "b" 
 3) "a"
 4) "d"
 5) "e" 
 6) "f"

链表实现

每个节点都是一个listNode,拥有前驱节点,后继节点和值。这就是C语言中的双向链表。

typedef struct listNode {
 struct listNode *prev; //前驱节点,如果是list的头结点,则prev指向NULL 
 struct listNode *next;//后继节点,如果是list尾部结点,则next指向NULL 
 void *value; //万能指针,能够存放任何信息 
} listNode;

只要有多个节点就可以组成一个链表了,但是redis再在外面封装了一层,也就是使用adlist.h/list来实现,这样操作起来更加方便。

typedef struct list { 
listNode *head; //链表头结点指针 
listNode *tail; //链表尾结点指针
unsigned long len; //链表长度计数器
 
//下面的三个函数指针就像类中的成员函数一样
void *(*dup)(void *ptr); //复制链表节点保存的值 
void (*free)(void *ptr); //释放链表节点保存的值
int (*match)(void *ptr, void *key); //比较链表节点所保存的节点值和另一个输入的值是否相等 
} list;

比如上面的list,实际的示意图如下:

这个超简单的,偶就不多写啦(其实是因为写的困了,睡觉觉去啦)。


长按下图二维码,即刻关注【学习Java的小姐姐】 领取超多学习资料哦!