晓查 发自 凹非寺
量子位 报道 | 公众号 QbitAI
以快速简洁闻名Julia,本身就是为计算科学的需要而生。用它来学习微积分再合适不过了,而且Julia的语法更贴近实际的数学表达式,对没学过编程语音的初学者非常友好。
最近,来自纽约斯塔顿岛学院的数学系教授John Verzani编写了一份微积分与Julia的教程,里面常见的微积分概念和图像演示都有,比课本更生动直观,每个章节后还附习题供读者巩固知识。
虽然很多学校在使用Mathematica、Maple等数学软件在进行教学,但是Julia的优势是完全开源和免费。
准备工作
在使用教程之前,我们先给Julia安装Plots包,这是用来绘制函数图像的扩展包。此外还要安装SymPy科学计算库等其他软件包。
using Pkg
Pkg.add("Plots")
Pkg.add("SymPy")
Pkg.add("Roots")
Pkg.add("ForwardDiff")
Pkg.add("ImplicitEquations")安装完以上的扩展包,就可以绘制函数图像了。我们简单绘制0到2π范围的正弦函数图像:
using Plots
plot(sin, 0, 2pi)
Julia支持输入特殊数学符号,具体的方法是斜杠\后紧跟符号的LaTeX名称,然后按下Tab键,就能输出特殊字符。比如:
θ = 45; v₀ = 200
输入θ的方法是\theta[tab],输入v₀的方法是v\_0[tab]。
导数
完成了Julia部分的基本教学后,下面就是微积分的基本概念了。
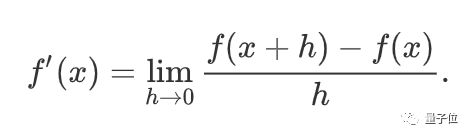
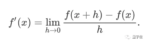
先回顾一下导数的定义,从函数图像上来看,导数就是函数割线斜率的极限,当割线上两点合并成一点时,它就变为切线。

其实就是求下面的极限:

Julia集成了求极限的功能,对于正弦函数sin(x)而言,求它的导数就是[sin(x+h)-sin(x)]/h在h趋于0时的极限
using SymPy
limit((sin(x+h) - sin(x))/ h, h, 0)通过以上方法求得sin(x)在x=0处的导数为1,绘制成函数图像就是:
f(x) = sin(x)
c = 0
tl(x) = f(c) + 1 * (x - c)
plot(f, -pi/2, pi/2)
plot!(tl)
导数的应用
1、牛顿法
通过切线逐步逼近,求方程的近似解。

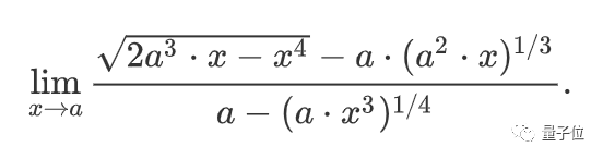
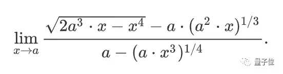
2、洛必达法则求极限

写成Julia语言:
using SymPy
a,x = symbols("a, x", positive=true, real=true)
f(x) = sqrt(2a^3*x - x^4) - a * (a^2*x)^(1//3)
g(x) = a - (a*x^3)^(1//4)上面的表达式过于复杂,是0/0的未定式,对分子f(x)和分母g(x)分别分别求导:
fp, gp = subs(diff(f(x),x), x=>a), subs(diff(g(x),x), x=>a)得到结果
(-4*a/3, -3/4)
所以极限值为16a/9。
积分
定积分就是求函数曲线下包围面积:

上图展示了求定积分的方法:把函数下方图形分割成若干个长条,随着长条越分越细,这些长条的面积之和就越来越接近曲线下包围的面积。
为了求函数f(x)=x2在[0,1]区间里的定积分的近似值,我们把整个区域划分成50000份:
a, b = 0, 1
f(x) = x^2
n = 50_000
xs = a:(b-a)/n:b
deltas = diff(xs)
cs = xs[1:end-1]
sum(f(cs[i]) * deltas[i] for i in 1:length(deltas))最后求得结果为:
0.3333233333999998
显然用这种方法求定积分太过复杂,这就需要引入不定积分的概念。不定积分是已知导数f’(x)求原函数f(x)。
定积分与不定积分由牛顿-莱布尼兹公式联系起来:

积分的应用
学会了积分以后,教程里给出了它的几个实际应用案例:
1、求曲线长度
求解f(x)=x2在[0,1]这段区间里的弧长,实际上求积分。

先求不定积分:
using SymPy
@vars x
F = integrate(sqrt(1 + (2x)^2), x)
F(1)-F(0)就是所求弧长:

2、求体积
求体积的方法是把物体“切”成一圈圈的米其林,每一圈的体积加起来就是总体积。

将直线x/r+y/h=1绕着y轴旋转一周,得到一个底面直径为r,高度为h的圆锥体。
using SymPy
@vars r h x y
R = r*(1 - y/h)
integrate(pi*R^2, (y, 0, h))最后求得体积:

教程中还有很多其他基本概念,由于篇幅较长,我们就不一一介绍了,感兴趣的朋友可以去博客中进一步学习。
原文地址:
—完—
量子位 · QbitAI
վ'ᴗ' ի 追踪AI技术和产品新动态
戳右上角「+关注」获取最新资讯↗↗
如果喜欢,请分享or点赞吧~比心❤