LeetCode每日一题: N叉树的最大深度(No.559)

1,162 阅读1分钟

题目:N叉树的最大深度


给定一个 N 叉树,找到其最大深度。
最大深度是指从根节点到最远叶子节点的最长路径上的节点总数。

示例:


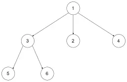
例如,给定一个 3叉树 :

我们应返回其最大深度,3。   

思考:


采用递归,N叉树的最大深度等于它的最大子树深度+1,递归遍历其所有子树,取深度最大的结果+1即为结果。

实现:


class Solution {
    public int maxDepth(Node root) {
    if(root == null) return 0;  
    int dep = 0;  
    for(Node node : root.children){
        int d = maxDepth(node);
        dep = Math.max(dep, d);
    }                
    return dep+1;
}
}