创业记:抛开增长和变现,就是坑

213 阅读6分钟

原创: Kevin改变世界的点滴 Kevin改变世界的点滴

昨天

大家好,我是Kevin。这是2019年第51篇原创


这也是我从产品经理到创业者的第5篇记录


在职的产品经理更多关注的是如何策划一个产品方案去容纳一个商业模式。打个比喻商业模式就像水,而产品形态是一个容器。


所以会常出现做产品的时候很少能够从商业模式去考虑怎么做,更多的是在产品策划上如何设计某个功能或几个页面,可能会帮助商业模式怎么好。


走到创业后,我发现没有商业模式带来的变现,等待企业的是死亡。而对于产品策划,最差劲的方式无非是人工的方式:“怼出来”也可以满足刚刚起步的业务需求。


如何增加产品或企业的存活率


今天要说的2点分别是:增长、变现



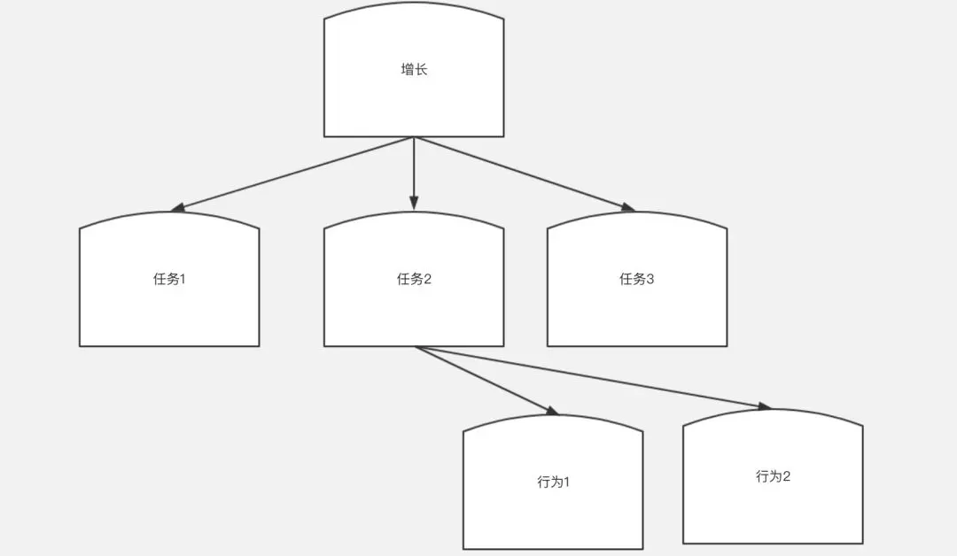
一切行为通过增长拆解


说到增长,我们的第一反应就是拉新、涨粉。但你仔细拆分增长的背后要考虑2点:区分产品线的增长、用户人群(画像)的增长。


产品线增长要避免用户重复,如微信生态中存在服务号、订阅号。2个不同的公众号定位需要划清界限。两个公众号在微信生态定位不同,所以机制也不同。产生的内容方式也不同。


围绕增长我们还可以拆解产品自身的增长,这里指自己的账户体系。用户可以通过微信第三方登录、手机号等方式。最终一个用户是实实在在属于自己产品的账户体系中的用户。



通过增长的目标确定后,可以知道需要做的任务与任务需要的人力。通过增长的背后目标拆解,我们可以有体系化的做相关工作。最终达成目标.....


商业模式的试错,光有流量不行


很多互联网人都说,只要有了流量。还怕做不出好的“生意”?


但实际是若用户若在产品里得不到解决问题的方式,一定会走。这个时候会出现个什么现象呢?用户流失率逐渐升高。甚至是负增长


因此商业模式的试错与验证在早期非常重要。


什么是商业模式?在这里我认为商业模式分两点


可循环的产品化路径、可变现的流量转化漏斗


1.产品化路径



什么是产品化路径,简而言之是减少了人工的方式。用产品的方式可以24小时源源不断的通过产品进行倒流。


举第1个例子:


微信生态建群裂变,在没有产品化的时候。你只能通过人工发送公告、人工拉群、人工审核。


但有产品化的建群宝后,产品可以自动的帮助你实现公告、拉群、人工审核。这就是典型的工具化产品方式。


要补充的是,产品化路径要与目标人群结合在一起。换句话说满足的是这部分用户需求的产品。你的产品每次注册都是这部分【目标人群】,这才是产品化要结合点。



举第2个例子:


拼多多产品上线后,通过拼团的方式降低的产品购买价。而用户通过该功能进行推广引流到拼多多,最终同类商品是被同样的用户购买。


你买口红,拼团。和你一起拼团的用户同样需要口红,同样能够接受这类电商的价格



2.可变现的流量漏斗



通过产品化的方式吸引了用户,但是用户不能转化。这样的产品同样会存在走不远、做不大,产品聚集的用户一定要有相同的画像部分。可以从年龄、性别、职位、喜好等维度切入。


要实现变现,就要做到产品解决的需求是用户痛点。用户真正的可以用金钱来购买的痛点价值。


曾经有个非常有趣的话题,今天也拿出来和大家分享下。


这个话题是一个提问:假设微信收费你会用吗?每个月的会员价格多少以内你会选择使用?


有意思的是在微信这样的社交产品中。基本是一个互联网用户的基本需求,那么付费的需求显然是非常高的。


但当你的产品如果不能让用户有这类需求,可变现的能力就非常差了。这样的产品是不能持久的。





如上就是典型的一种在产品内部转化漏斗的。但跳出产品内部,产品外部如何与用户进行触?


这个问题的答案:


用户判断该产品有没有价值的第一映像:产品解决了什么问题。这个问题够痛吗?



不断优化产品的作死



很多创业团队都会因为存在当局者迷的说法(自己认为自己可以成功),一直在反思是不是:“我的用户体验做的不好?是不是我产品本身设计太丑?再迭代一版试试?”


最后创业团队容易在这样的死循环,反复的损耗开发、设计资源。死在了:“创业者的沙滩上”


创业的路上,一直铭记2个问题:


每一个任务和行为能不能有增长?能不能带来变现?


一切脱离增长和变现的优化都是耍流氓。产品不能实现的,可以通过excl、word或第三方工具实现。


冷启动验证商业模式,致力于MVP产品的打造才是一个创业团队需要牢牢记住的死规则。现在很多互联网公司因为有背后公司的支撑,不断地烧钱、不断地招人,最后死的也非常快。


因为就算存在资本的力量只能是助推器,可以把需要1年的事情缩短到3个月去验证。但不管是1年还是3个月,始终做的是一个等待验证的创业项目谁也不知道未来。当然我们要承认互联网比的是速度,谁能更快的出来谁就是胜利。


但如果能够牢记增长和变现两条北极星指标,我相信企业再偏的方向也不会偏的太远。



好啦,今天的原创就在这里。我会每天更新1篇产品案例



推荐阅读






2019年,我的故事在这里与10982名互联网人一起成长