西瓜书-PCA

942 阅读3分钟

PCA和线性回归的区别: 左边是线性回归,右边是PCA,PCA算的是投影误差的平方

引用 www.zhihu.com/question/36…

t-SNE vs PCA

至于t-SNE为啥牛, 这里给两个对比图片, 然后我们再回到PCA,以后有机会再扩展!

t-SNE vs PCA: 可以看到线性特征表达的局限性

t-SNE 优于 已有非线性特征表达 Isomap, LLE 和 Sammon mapping

依然还记得2004年左右Isomap横空出世的惊奇, 再看t-SNE的诞生,真是膜拜! 也正是Hinton对PCA能理解到他的境界, 他才能发明t-SNE。

PCA

首先我们思考如下问题,对于正交属性空间(对2维空间即为直角坐标系)中的样本点,如何用一个超平面(直线/平面的高维推广)对所有样本进行恰当的表达?

事实上,若存在这样的超平面,那么它大概应具有这样的性质:

最近重构性 : 样本点到这个超平面的距离都足够近;

最大可分性:样本点在这个超平面上的投影能尽可能分开。

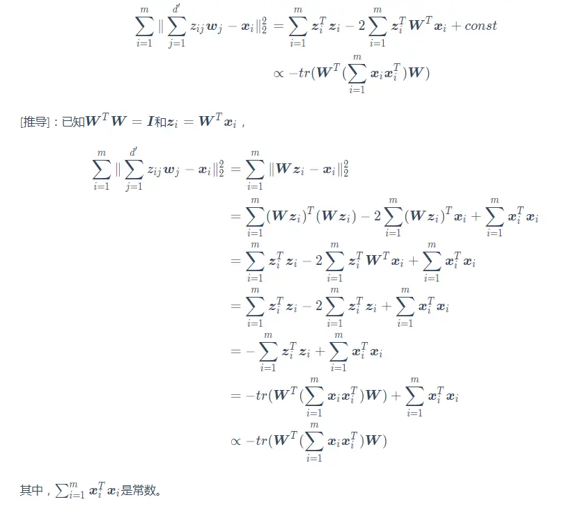
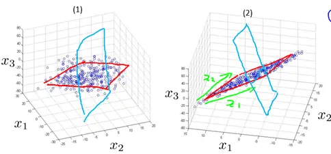
下面我们以3维降到2维为例,来试着理解为什么需要这两种性质。图10-4给出了样本在3维空间的分布情况,其中图(2)是图(1)旋转调整后的结果。在10.1节我们默认以红色线所画平面(不妨称之为平面s1)为2维平面进行投影(降维),投影结果为图10-5的(1)所示,这样似乎还不错。那为什么不用蓝色线所画平面(不妨称之为平面s2)进行投影呢? 可以想象,用s2投影的结果将如图10-5的(2)所示。

图10-4 样本在3维正交空间的分布

由图10-4可以很明显的看出,对当前样本而言,s1平面比s2平面的最近重构性要好(样本离平面的距离更近);由图10-5可以很明显的看出,对当前样本而言,s1平面比s2平面的最大可分性要好(样本点更分散)。不难理解,如果选择s2平面进行投影降维,我们会丢失更多(相当多)的特征量信息,因为它的投影结果甚至可以在转化为1维。而在s1平面上的投影包含更多的信息(丢失的更少)。

这样是否就是说我们从3维降到1维一定会丢失相当多的信息呢? 其实也不一定,试想,如果平面s1投影结果和平面s2的类似,那么我们可以推断这3个特征量本质上的含义大致相同。所以即使直接从3维到1维也不会丢失较多的信息。这里也反映了我们需要知道如何选择到底降到几维会比较好。

让我们高兴的是,上面的例子也说明了最近重构性和最大可分性可以同时满足。更让人兴奋的是,分别以最近重构性和最大可分性为目标,能够得到PCA的两种等价推导。

一般的,将特征量从n维降到k维:

以最近重构性为目标,PCA的目标是找到k个向量,将所有样本投影到这k个向量构成的超平面,使得投影的距离最小(或者说投影误差projection error最小)。

以最大可分性为目标,PCA的目标是找到k个向量,将所有样本投影到这k个向量构成的超平面,使得样本点的投影能够尽可能的分开,也就是使投影后的样本点方差最大化。

最近重构性

最大可分性

优化目标

所以协方差矩阵 X^TX 进行特征值分解,将求得的特征值排序。

另一个角度

PCA 也可以看做是逐一取方差最大的方向,先对协方差矩阵 \sum _i^m {x_ix_i^T}

如何选取维数

核化线性降维