来源
公众号:人魔七七
Github:github.com/renmoqiqi/1…
一张图来描述Binary Tree

二叉树的节点最大分支度是2,也说明每个节点最多拥有2个子节点,范围是[0-2]。
Binary Tree的几个常见类型
- A degenerate (or pathological) tree。(树的每个节点只有一个子节点或者是右孩子或者是左孩子,这时候这个树就和链表性能差不多了。)

- Full Binary Tree (树的任何一个节点都有0或者2个孩子节点。或者这样定义树的任何一个非叶子节点都有两个孩子节点)



- Complete Binary Tree(可能除了树的最后一层其它层级的每个节点都有左右孩子节点,最后一层要么是满的要么节点都靠左边)


- Perfect Binary Tree (它是一个这样的二叉树,他所有的非叶子节点都有左右子节点,并且所有的叶子节点都在同一层级)


和Binary Tree有关的一些公式
- 节点数和二叉树树Height的关系,假如h是树的Height,n是树节点个数。那么Min Nodes(n = h+1),Max Nodes(2h+1-1)。看下图例子,很容易推导出Min Nodes(n = h+1)。


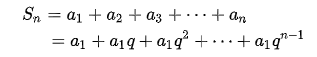
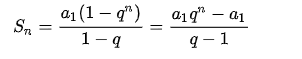
下面我们推导下Max Nodes。上图第三种情况h = 3,Max Nodes = 1 +2 + 22+ 23 = 15,也就是Max Nodes = 1 +2 + 22+ 23 + ....+ 2h= ,也就是等比数列求和,如下图:


等比数列求和可以参考如下链接: zh.wikipedia.org/wiki/等比数列
反过来可以很容易推导出Min Height (h = Log2(n+1)-1),Max Height(h = n-1)。
-
如果是full binary tree那么节点数和树Height的关系又是什么呢? 推导过程可以参考上面的步骤,Min Nodes(n = 2h+1),Max Nodes(2h+1-1),反过来可以很容易推导出Min Height (h = Log2(n+1)-1),Max Height(h =
)。
-
第i层至多拥有2i-1个节点,最少有1个节点。从下图可以很容易看出来,

-
度为0的节点数n1和度为2节点数n2的关系。n1 = n2 + 1。看下图

二叉树的存储方式
- Array Representation
- Linked Representation
Array Representation
二叉树可以被以广度优先的顺序作为隐式数据结构存储在数组中。注意的是如果这个二叉树是complete binary tree,这些不会浪费空间,但是如果对于A degenerate (or pathological) tree这种高度很大的树就很浪费空间,可以参考后面根据这个存储方式判断这个树是不是complete binary tree的介绍。这种存储方法通常也用在binary heaps。

举例:找E的父节点,E的索引是5,那么Parent = i/2 = 5/2 = 2.5,向下取整就是2,对应的就是B。反之假如找A的左右孩子,A的索引是1,那么左孩子索引就是2对应B,右孩子索引就是3对应C。
注意:Parent的索引如果有存在小数情况是向下取整。
下面我们看怎么根据这个表示方法判断是不是complete binary tree。



Linked Representation

@interface DSTreeNode : NSObject
@property (nonatomic, strong) NSObject *object;
@property (nonatomic, strong) DSTreeNode *leftChild;
@property (nonatomic, strong) DSTreeNode *rightChild;
@property (nonatomic, strong) DSTreeNode *parent;
@property (nonatomic, assign) SEL compareSelector;
- (void)printDescription;
//是否是左还是结点
- (BOOL)isLeftChildOfParent;
@end
这种存储二叉树方法浪费了不少内存,由于那些节点的左右指针(为null或者指向某些节点)。