对于二叉树形态,可以从二叉树本身的规律去找,离不开递推
先考虑只有一个节点的情况,设此时的形态为f(1)种,很明显f(1)=1;
那么有两个节点的时候呢?我们很容易的想到,应该在一个节点的基础上考虑递推关系。所以,当固定一个节点后,有两种情况,一种是左子树一个节点,一种是右子树一个节点,共有两种情况,所以f(2) = f(1)+f(1);当三个节点的时候呢?我们要考虑固定两个节点吗?看样子好像不行,因为固定两个节点的形态不是唯一的。
那么当节点数量大于2的时候,我们是在固定不同的形态的基础下,在安排剩下的节点吗?
我们应该这样想,固定一个节点就是根节点,二叉树本来就是由左子树,右子树,根节点组成的,所以固定根节点,遍历左右子树。 下图是3个节点的形态图

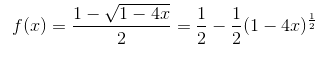
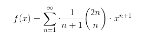
Catalan数通项公式推导
在推导通项公式之前,首先说一下生成函数
Catanlan数通向公式推导过程,这里用到了生成函数:我们可以写出f(n)的生成函数:f(x) = f(0)x^0+f(1)x+f(2)x^2+...+...
[f(x)]²= f(0)^2x^0+(f(0)f(1)+f(1)f(0))x+(f(0)f(2)+f(1)f(1)+f(2)f(0))x^2+...+(f(0)f(n-1)+f(1)f(n-2)+...+f(n-1)f(0))x^(n-1)+...
因为f(n) = f(n-1)f(0) + f(n-2)f(1) + f(n-3)f(2) + ... + f(1)f(n-2) +...
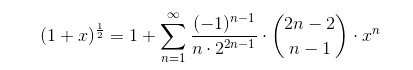
所以[f(x)]^2 = f(0)+f(2)x+f(3)x^2+...+f(n)x^(n-1)+...,因为f(0)=f(1)=1, 所以[f(x)]^2 = f(x)-f(1)x = f(x)-x,解得




Catalan数的应用
使用Catalan数解决的问题
- 进出栈问题:栈是一种先进后出(FILO,First In Last Out)的数据结构.如下图1,1,2,3,4顺序进栈,那么一种可能的进出栈顺序是:1In→2In→2Out→3In→4In→4Out→3Out→1Out, 于是出栈序列为1,3,4,2。那么一个足够大的栈的进栈序列为1,2,3,⋯,n时有多少个不同的出栈序列?

- 凸多边形的三角形划分。一个凸的n边形,用直线连接他的两个顶点使之分成多个三角形,每条直线不能相交,问一共有多少种划分方案。
这也是非常经典的一道题。我们可以这样来看,选择一个基边,显然这是多边形划分完之后某个三角形的一条边。图中我们假设基边是p1pn,我们就可以用p1、pn和另外一个点假设为pi做一个三角形,并将多边形分成三部分,除了中间的三角形之外,一边是i边形,另一边是n-i+1边形。i的取值范围是2到n-1。所以本题的解c(n)=c(2)*c(n-1)+c(3)*c(n-2)+...c(n-1)*c(2)。令t(i)=c(i+2)。则t(i)=t(0)*t(i-1)+t(1)*t(i-2)...+t(i-1)*t(0)。很明显,这就是一个卡特兰数了。

- 在圆上选择2n个点,将这些点成对连接起来,使得所得到的n条线段不相交的方法数。

- 矩阵链乘:P=a1×a2×a3×……×an,依据乘法结合律,不改变其顺序,只用括号表示成对的乘积,试问有几种括号化的方案?