概率模型(probabilistic model)提供了一种描述框架,将学习任务归结于计算变量的概率分布。在概率模型中,利用已知变量推测未知变量的分布称为“推断”(inference),其核心是如何基于可观测变量 x 推测出未知变量 c 的条件分布 。贝叶斯学习算法就是一个经典的概率模型
具体来说,概率模型有“生成式”和“判别式”两种方式,这两种类型的区别在第七章贝叶斯分类器“一起来读西瓜书:第七章 贝叶斯分类器”中已有过介绍,简单来说,前者是通过计算 来得到
的,后者是直接计算
来得到
的,其中 r 是除了可观测变量和要计算的变量外的其他变量。
概率图模型是一类用图来表达变量相关关系的概率模型。使用概率图模型的原因是因为直接利用概率求和规则消去变量 r 计算开销太大,而且属性之间往往存在复杂的关系,而以图为表现工具,对变量间的关系进行简洁紧凑的表达将有助于提高研究推断和学习算法的效率。
概率图模型根据边的性质不同,大致可分为以下两类:第一类是使用有向无环图表示变量之间的依赖关系,称为有向图模型或者贝叶斯网(Bayesian network);第二类是使用无向图表示变量间的相关关系,称为无向图模型或者马尔可夫网(Markov network)
隐马尔可夫模型(Hidden Markov Model,简称 HMM )
隐马尔可夫模型是结构最简单的动态贝叶斯网(Dynamic Bayesian Network),这是一种著名的有向图模型,主要用于时序数据建模,在语音识别、自然语言处理领域有广泛应用。
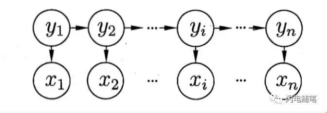
隐马尔可夫模型具有两组变量,第一组是系统的状态变量,其中
为第 i 时刻系统的状态。通常假定状态变量是隐藏的、不可被观测的,因此状态变量亦称“隐变量”(hidden variable)。第二组是观测变量
,其中
是第
时刻的观测值。下图是隐马尔可夫模型的图结构:

图中的箭头表示了变量间的依赖关系。隐马尔可夫模型是建立在这样的前提下的:在任一时刻,观测变量的取值仅依赖于其对应的状态变量,即由
决定;同时,
时刻的状态变量只由
时刻的状态变量决定。
这就是所谓的“马尔可夫链”(Markov Chain):系统下一时刻的状态仅由当前状态决定,不依赖于以往的任何状态。
基于这种依赖关系,所有变量的联合概率分布为:

除了结构信息,欲确定一个隐马尔可夫模型还需以下三组参数:
- 状态转移概率



通过指定状态空间 Y、观测空间 X 和上述三组概率参数 r = [A, B, ∏] ,就能确定一个隐马尔可夫模型。具体的步骤为:
- 用初始状态概率
算出初始状态
- 用 B 算出当前状态的观测值
- 用 A 算出下一个状态
- 重复第二、第三步直到到达停止条件
上述都只是理论
可在实际应用中,隐马尔可夫模型的参数并不一定都能得到,因此人们常常关注下边三个基本问题:
- 给定了参数 r,并且知道观测序列
,评估模型与观测序列之间的匹配程度,来推测下一状态的观测概率:
如:过去有观察序列,现需要这些数据,推测出
,显然可以转化为
- 给定了参数 r,并且知道观测序列
,要预测对应的状态序列
如:在语音识别任务中,观测值为语音信号,隐藏状态为文字,目标就是根据观测信号来推断文字
- 给定观测序列
,如何调整模型参数 r 使得该序列出现的概率
最大
如:人工指定模型参数已经越来越不行,如何根据训练样本学到最优的模型参数
马尔科夫随机场
-
什么是随机场在概率论中, 由样本空间Ω = {0, 1, …, G − 1}n取样构成的随机变量Xi所组成的S = {X1, …, Xn}。若对所有的ω∈Ω下式均成立,则称π为一个随机场。π(ω) > 0.当给每一个位置中按照某种分布随机赋予相空间的一个值之后,其全体就叫做随机场。我们不妨拿种地来打个比方。其中有两个概念:位置(site),相空间(phase space)。“位置”好比是一亩亩农田;“相空间”好比是种的各种庄稼。我们可以给不同的地种上不同的庄稼,这就好比给随机场的每个“位置”,赋予相空间里不同的值。所以,俗气点说,随机场就是在哪块地里种什么庄稼的事情
-
什么是马尔可夫特性上一节我们提到了马尔可夫链的概念,即系统的下一状态仅由当前状态决定,不依赖于以往的任何状态。马尔可夫特性是这个概念的一个变化,即一个变量只与其邻接变量相关,不依赖于不相邻的任何变量还是拿种地打比方,如果任何一块地里种的庄稼的种类仅仅与它邻近的地里种的庄稼的种类有关,与其它地方的庄稼的种类无关,那么这些地里种的庄稼的集合,就是一个马尔可夫随机场。
马尔可夫随机场是典型的马尔可夫网,这是一种著名的无向图模型。图中的每个节点代表一个或一组变量,节点之间的边表示两个变量之间的依赖关系。 马尔可夫随机场有一组势函数(potential functions),亦称“因子”(factor),这是定义在变量子集上的非负实函数,主要用于定义概率分布函数。
“团”(clique)、“极大团”(maximal clique)及联合概率

引入团概念的原因是什么呢?其实很简单,就是为了能更方便的计算变量x的联合概率。根据马尔可夫特性,每个变量只与其邻接结点相关,那么多个变量之间的联合概率分布能基于团分解为多个因子的乘积。具体来说,对于 n 个变量 x = {x1, x2, ..., xn},所有团构成的集合为 C,与团 Q 属于 C 对应的变量集合记为 xQ,则联合概率 P(x) 定义为:

其中 Z 为规范化因子,被连乘的函数代表的是团 Q 对应的势函数,势函数的作用是定量刻画变量集 xQ 中变量之间的相关关系。
势函数
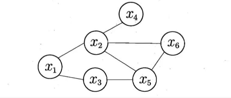
在考察马尔可夫随机场之前,我们先来考察一下马尔可夫随机场中的势函数。势函数Φ的作用是定量刻画变量级XQ中变量之间的相关关系,它应该是非负函数,且在所偏好的变量取值上有较大的函数值,例如,对于下面的图:

假定所有变量均为二值变量,其势函数是下面的样子:

则说明该模型偏好变量XA和XC拥有相同取值,XB和XC拥有不同的取值,换言之,该模型中XA和XV正相关,XB和XC负相关,另XA和XC相同且XB与XC不同的变量值纸牌屋建取得较高的联合概率。
为了满足非负性,指数函数常被用于定义势函数:

条件独立性
在马尔可夫随机场中,如何得到条件独立性呢?同样借助分离的概念,如下图中,若从结点集A的结点到结点集B中的结点,则必须经过结点集C中的结点,则称结点集A和B被结点集C分离,C称为分离集,对马尔可夫随机场,有: 全局马尔可夫性:给定两个变量子集的分离集,则这两个变量子集条件独立。



条件随机场
条件随机场是一种判别式无向图模型,它可以被看成是给定观测值的马尔可夫随机场。前边介绍的隐马尔可夫模型和马尔可夫随机场都是“生成式”模型,而条件随机场是“判别式”模型,即给定观测数据{x1, x2, ..., xn}以及对应的标记数据{y1, y2, ..., yn},构建条件概率模型 P( y | x )。对于一个无向图模型,若图中的每个变量 y_v 都满足马尔可夫性,即

则称 (y, x) 构造一个条件随机场
理论上来说,条件随机场的图 G 可具有任意结构,只要能表示标记变量之间的条件独立性即可。但在实际应用中,尤其是对标记序列建模时,最常用的仍是下图所示的链式结构,即“链式条件随机场”(chain-structured CRF)

与马尔可夫随机场类似,条件随机场也使用了合适的“势函数”来计算所要求的条件概率,只不过条件随机场是将势函数引入特征函数(feature function)中来进行计算的。
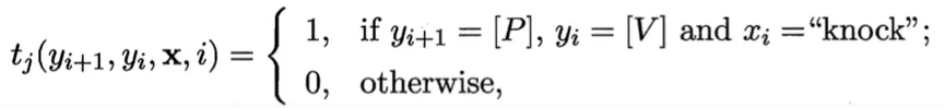
特征函数通常是实值函数,以刻画数据的一些很可能成立或期望成立的经验特征。比如在下图所示的语法分析任务中,

可以有如下特征函数,

这说明经验上来说,第 i 个观测值为“knock”时,其相应的标记 y_i 和 y_i+1 很可能分别为 [V] 和 [P]
学习与推断
在介绍了概率图模型的三种主流结构后,接下来我们继续学习如何在概率图模型中进行学习和推断。基于概率图模型定义的联合概率分布,我们能对目标变量的边际分布或以某些可观测变量为条件的条件分布进行推断。具体来说,假设图模型所对应的变量集 x = {x1, x2, ..., xn} 能分为 x_E 和 x_F 两个不相交的变量集,推断问题的目标就是计算边际概率 P( x_E ) 或条件概率 P( x_F | x_E ),由条件概率定义有如下公式:

其中联合概率 P(x_E, x_F) 可基于概率图模型获得,因此,推断问题的关键就是如何高效的计算边际分布,即上式的分母部分。概率图模型的推断方法大致可以分为两类:第一类是精确推断方法,希望能计算出目标变量的边际分布或条件分布的精确值;遗憾的是,一般情况下,此类算法的计算复杂度随着极大团数量的增长呈指数增长,适用范围有限。第二类是近似推断方法,希望在较低的时间复杂度下获得原问题的近似解;此类方法在现实任务中更常见。本节介绍两种精确推断方法,下一节介绍近似推断方法。
下面主要介绍两种精确推断的方法:变量消去与信念传播。
变量消去
变量消去利用条件独立性来消减计算目标概率值所需的计算量,它通过运用乘法与加法的分配率,将对变量的积的求和问题转化为对部分变量交替进行求积与求和的问题,从而将每次的运算控制在局部,达到简化运算的目的。


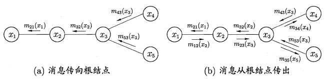
信念传播
若将变量求和操作看作是一种消息的传递过程,信念传播可以理解成:一个节点在接收到所有其它节点的消息后才向另一个节点发送消息,同时当前节点的边际概率正比于他所接收的消息的乘积:

因此只需要经过下面两个步骤,便可以完成所有的消息传递过程。利用动态规划法的思想记录传递过程中的所有消息,当计算某个结点的边际概率分布时,只需直接取出传到该结点的消息即可,从而避免了计算多个边际分布时的冗余计算问题。

话题模型
话题模型主要用于处理文本类数据,其中隐狄利克雷分配模型(Latent Dirichlet Allocation,简称LDA)是话题模型的杰出代表。在话题模型中,有以下几个基本概念:词(word)、文档(document)、话题(topic)。
词:最基本的离散单元; 文档:由一组词组成,词在文档中不计顺序; 话题:由一组特定的词组成,这组词具有较强的相关关系。
在现实任务中,一般我们可以得出一个文档的词频分布,但不知道该文档对应着哪些话题,LDA话题模型正是为了解决这个问题。具体来说:LDA认为每篇文档包含多个话题,且其中每一个词都对应着一个话题。因此可以假设文档是通过如下方式生成:



从上图可以看出,LDA的三个表示层被三种颜色表示出来:
corpus-level(红色): α和β表示语料级别的参数,也就是每个文档都一样,因此生成过程只采样一次。 document-level(橙色): θ是文档级别的变量,每个文档对应一个θ。 word-level(绿色): z和w都是单词级别变量,z由θ生成,w由z和β共同生成,一个单词w对应一个主题z。
通过上面对LDA生成模型的讨论,可以知道LDA模型主要是想从给定的输入语料中学习训练出两个控制参数α和β,当学习出了这两个控制参数就确定了模型,便可以用来生成文档。其中α和β分别对应以下各个信息:
α:分布p(θ)需要一个向量参数,即Dirichlet分布的参数,用于生成一个主题θ向量; β:各个主题对应的单词概率分布矩阵p(w|z)。
把w当做观察变量,θ和z当做隐藏变量,就可以通过EM算法学习出α和β,求解过程中遇到后验概率p(θ,z|w)无法直接求解,需要找一个似然函数下界来近似求解,原作者使用基于分解(factorization)假设的变分法(varialtional inference)进行计算,用到了EM算法。每次E-step输入α和β,计算似然函数,M-step最大化这个似然函数,算出α和β,不断迭代直到收敛。
应用
图像领域 blog.csdn.net/polly_yang/…
蒙特卡洛方法: www.jiqizhixin.com/articles/06…