每周一练 之 数据结构与算法(LinkedList)

1,756 阅读9分钟

这是第三周的练习题,原本应该先发第二周的,因为周末的时候,我的母亲大人来看望她的宝贝儿子,哈哈,我得带她看看厦门这座美丽的城市呀。

这两天我抓紧整理下第二周的题目和答案,下面我把之前的也列出来:

欢迎关注我的 个人主页 && 个人博客 && 个人知识库 && 微信公众号“前端自习课”

本周练习内容:数据结构与算法 —— LinkedList

这些都是数据结构与算法,一部分方法是团队其他成员实现的,一部分我自己做的,有什么其他实现方法或错误,欢迎各位大佬指点,感谢。

一、链表是什么?与数组有什么区别?生活中有什么案例?

解析
概念参考阅读 链表 —— 维基百科

1.概念:

链表(Linked list)是一种上一个元素的引用指向下一个元素的存储结构,链表通过指针来连接元素与元素;

链表是线性表的一种,所谓的线性表包含顺序线性表和链表,顺序线性表是用数组实现的,在内存中有顺序排列,通过改变数组大小实现。而链表不是用顺序实现的,用指针实现,在内存中不连续。意思就是说,链表就是将一系列不连续的内存联系起来,将那种碎片内存进行合理的利用,解决空间的问题。

所以,链表允许插入和删除表上任意位置上的节点,但是不允许随即存取。链表有很多种不同的类型:单向链表双向链表循环链表

2.与数组的区别:

  • 相同:
    两种结构均可实现数据的顺序存储,构造出来的模型呈线性结构

  • 不同:
    链表是链式的存储结构;数组是顺序的存储结构
    链表通过指针来连接元素与元素,数组则是把所有元素按次序依次存储。

链表的插入删除元素相对数组较为简单,不需要移动元素,且较为容易实现长度扩充,但是寻找某个元素较为困难。

数组寻找某个元素较为简单,但插入与删除比较复杂,由于最大长度需要再编程一开始时指定,故当达到最大长度时,扩充长度不如链表方便。

数组和链表一些操作的时间复杂度对比:
数组:

  • 查找复杂度:O(1)
  • 添加/删除复杂度:O(n)

链表:

  • 查找复杂度:O(n)
  • 添加/删除复杂度:O(1)

3.生活中的案例:
火车,是由一些列车厢连接起来;
寻宝游戏,每个线索都是下一个线索地点的指针。

二、请事先一个链表,并实现以下方法

  • append(element):向列表尾部添加一个新的元素。
  • insert(position, element):向列表指定位置插入一个新的元素。
  • remove(element):从列表中移除并返回特定元素(若有多个相同元素则取第一次出现的情况)。
  • indexOf(element):返回元素在列表的索引(若有多个相同元素则取第一次出现的情况),如果列表中没有该元素则返回 -1
  • removeAt(position):从列表中,移除并返回特定位置的一项。
  • isEmpty():如果列表不含任何元素,返回 true,否则返回 false
  • size():返回列表中元素个数,与数组的 length 属性类似。
  • toString():由于列表项使用 Node 类,需要重写继承自 JavaScript 对象默认的 toString() 方法,让其只输出元素的值。
    提示:Web 端优先使用 ES6 以上的语法实现。

解析

class Node {
    constructor(element){
        this.element = element
        this.next = null
    }
}
class LinkedList {
    constructor(){
        this.length = 0
        this.head = null
    }
    /**
     * 添加元素(末尾添加)
     * @param {*} element 添加的元素
     */
    append(element){
        let node = new Node(element)
        if(!this.head){
            this.head = node
        }else{
            let current = this.head
            // 查找最后一项
            while(current.next){
                current = current.next
            }
            // 将最后一下的next赋值为node,实现追加元素
            current.next = node
        }
        this.length ++
    }
    /**
     * 添加元素(指定位置)
     * @param {Number} position 添加的位置
     * @param {*} element  添加的元素
     */
    insert(position, element){
        if(position >= 0 && position <= this.length){
            let node = new Node(element),
                index = 0,
                previous = null
            if(position === 0){
                node.next = this.head
                this.head = node
            }else{
                let current = this.head
                while(index++ < position){
                    previous = current
                    current = current.next
                }
                previous.next = node
                node.next = current
            }
            this.length ++
        }
    }
    /**
     * 删除元素
     * @param {*} element 删除的元素
     * @return {*}  被删除的元素
     */
    remove(element){
        let current = this.head,
            previous = null
        if(element === this.head.element){
            this.head = current.next
        }else{
            while(current.next && current.element !== element){
                previous = current
                current = current.next
            }
            previous.next = current.next
            this.length --
            return current.element
        }
    }
    /**
     * 删除元素(指定位置)
     * @param {Number} position 删除元素的位置
     * @return {*}  被删除的元素
     */
    removeAt(position){
        if(position >= 0 && position <= this.length){
            let current = this.head,
                index = 0,
                previous = null
            if(position === 0){ // 删除第一项
                this.head = current.next
            }else{
                while(index++ < position){
                    previous = current
                    current = current.next
                }
                previous.next = current.next
            }
            this.length --
            return current.element
        }
    }
    /**
     * 查找指定元素的位置
     * @param {*} element 查找的元素
     * @return {Number} 查找的元素的下标
     */
    indexOf(element){
        let current = this.head, 
            index = 0
        while(current.next && current.element !== element){
            current = current.next
            index ++
        }
        return index === 0 ? -1 : index
    }
    /**
     * 链表是否为空
     * @return {Boolean}
     */
    isEmpty(){
        return this.length === 0
    }
    /**
     * 链表的长度
     * @return {Number}
     */
    size(){
        return this.length
    }
    /**
     * 将链表转成字符串
     * @return {String}
     */
    toString(){
        let current = this.head,
            arr = new Array()
        while(current.next){
            arr.push(current.element)
            current = current.next
        }
        arr.push(current.element)
        return arr.toString()
    }
}

let leo = new LinkedList()
leo.append(3)
leo.append(6)
leo.append(9)
console.log(leo.length)
console.log(leo.head)
leo.remove(6)
console.log(leo.length)
console.log(leo.head)
console.log(leo.toString())

三、实现反转链表

用链表的方式,输出一个反转后的单链表。

示例:

输入: 1->2->3->4->5->NULL
输出: 5->4->3->2->1->NULL
// input
let head = {
    'val': 1,'next': {
        'val': 2,'next': {
            'val': 3,'next': {
                'val': 4,'next': {
                    'val': 5,
                    'next': null
                }
            }
        }
    }
};
reverseList(head)

// output
head = {
    'val': 5,'next': {
        'val': 4,'next': {
            'val': 3,'next': {
                'val': 2,'next': {
                    'val': 1,
                    'next': null
                }
            }
        }
    }
};

解题思路1.使用迭代:
在遍历列表时,将当前节点的 next 指针改为指向前一个元素。由于节点没有引用其上一个节点,因此必须先存储其前一个元素。在更改引用之前,还需要另一个指针来存储下一个节点。不要忘记在最后返回新的头引用

解题思路2.使用递归:
通过递归修改 head.next.nexthead.next 指针来实现。

解析
题目出自:Leetcode 206. 反转链表

介绍两种常用方法:

1.使用迭代:
在遍历列表时,将当前节点的 next 指针改为指向前一个元素。由于节点没有引用其上一个节点,因此必须先存储其前一个元素。在更改引用之前,还需要另一个指针来存储下一个节点。不要忘记在最后返回新的头引用

/**
 * Definition for singly-linked list.
 * function ListNode(val) {
 *     this.val = val;
 *     this.next = null;
 * }
 */
/**
 * @param {ListNode} head
 * @return {ListNode}
 */
let reverseList = function(head) {
    let pre = null, curr = head
    while (curr) {
        next = curr.next
        curr.next = pre
        pre = curr
        curr = next
    }
    return pre
};

复杂度分析

时间复杂度O(n)。 假设 n 是列表的长度,时间复杂度是 O(n)
空间复杂度O(1)

2.使用递归:

/**
 * Definition for singly-linked list.
 * function ListNode(val) {
 *     this.val = val;
 *     this.next = null;
 * }
 */
/**
 * @param {ListNode} head
 * @return {ListNode}
 */
let reverseList = function(head) {
    if(head == null || head.next == null) return head
    let pre = reverseList(head.next)
    head.next.next = head
    head.next = null
    return pre
};

复杂度分析

时间复杂度O(n)。 假设 n 是列表的长度,那么时间复杂度为 O(n)
空间复杂度O(n)。 由于使用递归,将会使用隐式栈空间。递归深度可能会达到 n 层。

四、判断链表是否有环

设计一个函数 hasCycle,接收一个链表作为参数,判断链表中是否有环。
为了表示给定链表中的环,我们使用整数 pos 来表示链表尾连接到链表中的位置(索引从 0 开始)。 如果 pos-1,则在该链表中没有环。

linkedlist-cycle

需要注意的是,不可能存在多个环,最多只有一个。

示例 1:

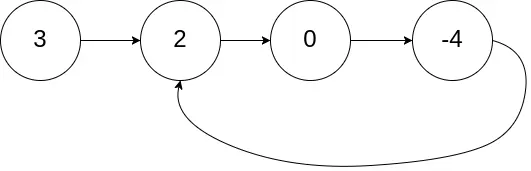
输入:head = [3,2,0,-4], pos = 1
输出:true
解释:链表中有一个环,其尾部连接到第二个节点。

示例 1

示例 2:

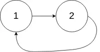
输入:head = [1,2], pos = 0
输出:true
解释:链表中有一个环,其尾部连接到第一个节点。

示例 2

示例 3:

输入:head = [1], pos = -1
输出:false
解释:链表中没有环。

示例 3

解题思路1.判断是否有 null:
一直遍历下去,如果遍历到 null 则表示没有环,否则有环,但是考虑到性能问题,最好给定一段时间作为限制,超过时间就不要继续遍历。

解题思路2.标记法:
也是要遍历每个节点,并在遍历的节点添加标记,如果后面遍历过程中,遇到有这个标记的节点,即表示有环,反之没有环。

解题思路3.使用双指针(龟兔赛跑式):
设置2个指针,一个 快指针 每次走 2 步,慢指针 每次走 1 步,如果没有环的情况,最后这两个指针不会相遇,如果有环,会相遇。

解析
题目出自:Leetcode 141. 环形链表

1.断是否有 null

/**
 * Definition for singly-linked list.
 * function ListNode(val) {
 *     this.val = val;
 *     this.next = null;
 * }
 */

/**
 * @param {ListNode} head
 * @return {boolean}
 */
let hasCycle = function(head) {
    while(head){
        if(head.value == null) return true
        head.value = null
        head = head.next
    }
    return false
}

2.标记法

/**
 * Definition for singly-linked list.
 * function ListNode(val) {
 *     this.val = val;
 *     this.next = null;
 * }
 */

/**
 * @param {ListNode} head
 * @return {boolean}
 */
let hasCycle = function(head) {
    let node = head
    while(node){
        if(node.isVisit){
            return true
        }else{
            node.isVisit = true
        }
        node = node.next
    }
    return false
};

3.使用双指针

/**
 * Definition for singly-linked list.
 * function ListNode(val) {
 *     this.val = val;
 *     this.next = null;
 * }
 */

/**
 * @param {ListNode} head
 * @return {boolean}
 */
let hasCycle = function(head) {
    if(head == null || head.next == null) return false
    let slow = head, fast = head.next
    while(slow != fast){
        if(fast == null || fast.next == null) return false
        slow = slow.next  // 慢指针每次走1步
        fast = fast.next.next // 快指针每次走1补
    }
    return true
};

五、实现两两交换链表中的节点

给定一个链表,两两交换其中相邻的节点,并返回交换后的链表。

你不能只是单纯的改变节点内部的值,而是需要实际的进行节点交换。

示例:

给定 1->2->3->4, 你应该返回 2->1->4->3.
给定 1->2->3->4->5, 你应该返回 2->1->4->3->5.

解题思路1.使用迭代:
反转链表类似,关键在于有三个指针,分别指向前后和当前节点,而不同在于两两交换后,移动节点的步长为2,需要注意。

解题思路2.使用递归:
这里也可以使用递归,也可以参考反转链表的问题,终止条件是递归到链表为空,或者只剩下一个元素没得交换了,才终止。

解析
题目出自:Leetcode 24. 两两交换链表中的节点

介绍两种常用方法:

1.使用迭代:

/**
 * Definition for singly-linked list.
 * function ListNode(val) {
 *     this.val = val;
 *     this.next = null;
 * }
 */
/**
 * @param {ListNode} head
 * @return {ListNode}
 */
let swapPairs = function (head){
    if(!head) return null
    let arr = []
    while(head){
        let next = head.next
        head.next = null
        arr.push(head)
        head = next
    }

    for(let i = 0; i < arr.length; i += 2){
        let [a, b] = [arr[i], arr[i + 1]]
        if(!b) continue
        [arr[i], arr[i + 1]] = [b, a]
    }

    for(let i = 0; i < arr.length - 1; i ++){
        arr[i].next = arr[i + 1]
    }
    return arr[0]
}

2.使用递归:

/**
 * Definition for singly-linked list.
 * function ListNode(val) {
 *     this.val = val;
 *     this.next = null;
 * }
 */
/**
 * @param {ListNode} head
 * @return {ListNode}
 */

let swapPairs = function (head){
    if(head == null || head.next ==null) return head
    let next = head.next
    head.next = swapPairs(next.next)
    next.next = head
    return next
}