如果你还不了解GBDT,不妨看看这篇文章

1,578 阅读9分钟
原文链接: mp.weixin.qq.com

作者:Freemanzxp

简介:中科大研二在读,目前在微软亚洲研究院实习,主要研究方向是机器学习。

原文:https://blog.csdn.net/zpalyq110/article/details/79527653

Github:https://github.com/Freemanzxp/GBDT_Simple_Tutorial

本文已授权,未经原作者允许,不得二次转载

这是来自读者的一篇投稿,因为公众号对 Latex 公式支持不是很好,所以可以点击文末 “阅读原文“ 进行阅读。同时也希望觉得有帮助的欢迎到作者的 Github 上 star !


写在前面: 去年学习 GBDT 之初,为了加强对算法的理解,整理了一篇笔记形式的文章,发出去之后发现阅读量越来越多,渐渐也有了评论,评论中大多指出来了笔者理解或者编辑的错误,故重新编辑一版文章,内容更加翔实,并且在 GitHub 上实现了和本文一致的 GBDT 简易版(包括回归、二分类、多分类以及可视化),供大家交流探讨。感谢各位的点赞和评论,希望继续指出错误~ Github:https://github.com/Freemanzxp/GBDT_Simple_Tutorial


简介:

GBDT 的全称是 Gradient Boosting Decision Tree,梯度提升树,在传统机器学习算法中,GBDT 算得上 TOP3 的算法。想要理解 GBDT 的真正意义,那就必须理解 GBDT 中的 Gradient Boosting 和 Decision Tree 分别是什么?

1. Decision Tree:CART回归树

首先,GBDT 使用的决策树是 CART 回归树,无论是处理回归问题还是二分类以及多分类,GBDT 使用的决策树通通都是都是 CART 回归树。

为什么不用 CART 分类树呢?因为 GBDT 每次迭代要拟合的是梯度值,是连续值所以要用回归树。

对于回归树算法来说最重要的是寻找最佳的划分点,那么回归树中的可划分点包含了所有特征的所有可取的值。在分类树中最佳划分点的判别标准是熵或者基尼系数,都是用纯度来衡量的,但是在回归树中的样本标签是连续数值,所以再使用熵之类的指标不再合适,取而代之的是 平方误差,它能很好的评判拟合程度。


回归树生成算法:

输入:训练数据集 D:

输出:回归树 f(x).

在训练数据集所在的输入空间中,递归的将每个区域划分为两个子区域并决定每个子区域上的输出值,构建二叉决策树:

(1)选择最优切分变量 j 与切分点  s,求解

遍历变量 j,对固定的切分变量  j 扫描切分点 s,选择使得上式达到最小值的对  (j,s).

(2)用选定的对 (j,s) 划分区域并决定相应的输出值:

(3)继续对两个子区域调用步骤(1)和(2),直至满足停止条件。

(4)将输入空间划分为 M 个区域 

,生成决策树:

2. Gradient Boosting:拟合负梯度

梯度提升树(Grandient Boosting)是提升树(Boosting Tree)的一种改进算法,所以在讲梯度提升树之前先来说一下提升树。


先来个通俗理解:

假如有个人30岁,我们首先用20岁去拟合,发现损失有10岁,这时我们用6岁去拟合剩下的损失,发现差距还有4岁,第三轮我们用3岁拟合剩下的差距,差距就只有一岁了。

如果我们的迭代轮数还没有完,可以继续迭代下面,每一轮迭代,拟合的岁数误差都会减小。

最后将每次拟合的岁数加起来便是模型输出的结果。


提升树算法:(1)初始化  (2)对  (a)计算残差

 (b)拟合残差学习一个回归树,得到  (c)更新

(3)得到回归问题提升树


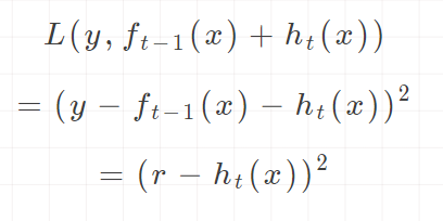
上面伪代码中的残差是什么?在提升树算法中,假设我们前一轮迭代得到的强学习器是

损失函数是

我们本轮迭代的目标是找到一个弱学习器

最小化让本轮的损失

当采用平方损失函数时

这里,

是当前模型拟合数据的残差(residual)

所以,对于提升树来说只需要简单地拟合当前模型的残差。

回到我们上面讲的那个通俗易懂的例子中,第一次迭代的残差是10岁,第二 次残差4岁……


当损失函数是平方损失和指数损失函数时,梯度提升树每一步优化是很简单的,但是对于一般损失函数而言,往往每一步优化起来不那么容易,针对这一问题,Freidman 提出了梯度提升树算法,这是利用最速下降的近似方法,其关键是利用损失函数的负梯度作为提升树算法中的残差的近似值。

那么负梯度长什么样呢?

第 t 轮的第 i 个样本的损失函数的负梯度为:

此时不同的损失函数将会得到不同的负梯度,如果选择平方损失

负梯度为

此时我们发现 GBDT 的负梯度就是残差,所以说对于回归问题, 我们要拟合的就是残差

那么对于分类问题呢?二分类和多分类的损失函数都是 log(loss)本文以回归问题为例进行讲解

3. GBDT算法原理

上面两节分别将 Decision Tree 和 Gradient Boosting 介绍完了,下面将这两部分组合在一起就是我们的 GBDT 了。


GBDT算法:(1)初始化弱学习器

(2)对有:  (a)对每个样本,计算负梯度,即残差

 (b)将上步得到的残差作为样本新的真实值,并将数据

作为下棵树的训练数据,得到一颗新的回归树

其对应的叶子节点区域为。其

中 J 为回归树 t 的叶子节点的个数。 (c)对叶子区域 计算最佳拟合值

 (d)更新强学习器

(3)得到最终学习器

4. 实例详解

本人用 python 以及 pandas 库实现 GBDT 的简易版本,在下面的例子中用到的数据都在 github 可以找到,大家可以结合代码和下面的例子进行理解,欢迎 star~  

Github:https://github.com/Freemanzxp/GBDT_Simple_Tutorial


数据介绍:

如下表所示:一组数据,特征为年龄、体重,身高为标签值。共有5条数据,前四条为训练样本,最后一条为要预测的样本。

训练阶段:


参数设置:

  • 学习率:learning_rate=0.1

  • 迭代次数:n_trees=5

  • 树的深度:max_depth=3


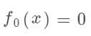
1.初始化弱学习器:

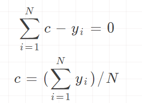
损失函数为平方损失,因为平方损失函数是一个凸函数,直接求导,倒数等于零,得到 c。

令导数等于0

所以初始化时,c取值为所有训练样本标签值的均值。

c=(1.1+1.3+1.7+1.8)/4=1.475,此时得到初始学习器


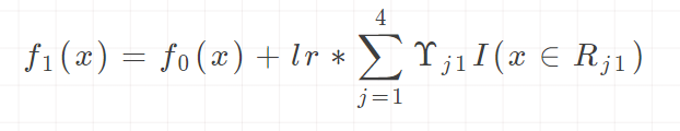
2.对迭代轮数m=1,2,…,M:

由于我们设置了迭代次数:n_trees=5,这里的 M=5。  计算负梯度,根据上文损失函数为平方损失时,负梯度就是残差残差,再直白一点就是 y 与上一轮得到的学习器 的差值 残差在下表列出: 

此时将残差作为样本的真实值来训练弱学习器 ,即下表数据

接着,寻找回归树的最佳划分节点,遍历每个特征的每个可能取值。 从年龄特征的5开始,到体重特征的 70 结束,分别计算分裂后两组数据的平方损失(Square Error), 左节点平方损失, 右节点平方损失,找到使平方损失和 最小的那个划分节点,即为最佳划分节点。

例如:以年龄 7 为划分节点,将小于 7 的样本划分为到左节点,大于等于 7 的样本划分为右节点。左节点包括 x0,右节点包括样本 ,所有可能划分情况如下表所示:

以上划分点是的总平方损失最小为 0.025有两个划分点:年龄21和体重60,所以随机选一个作为划分点,这里我们选 年龄21

现在我们的第一棵树长这个样子:

我们设置的参数中树的深度 max_depth=3,现在树的深度只有 2,需要再进行一次划分,这次划分要对左右两个节点分别进行划分:


对于 左节点,只含有 0,1 两个样本,根据下表我们选择 年龄7 划分

对于 右节点,只含有 2,3 两个样本,根据下表我们选择 年龄30 划分(也可以选 体重70

现在我们的第一棵树长这个样子:

此时我们的树深度满足了设置,还需要做一件事情,给这每个叶子节点分别赋一个参数 γ,来拟合残差。

这里其实和上面初始化学习器是一个道理,平方损失,求导,令导数等于零,化简之后得到每个叶子节点的参数 γ,其实就是标签值的均值。这个地方的标签值不是原始的 y,而是本轮要拟合的标残差 .

根据上述划分结果,为了方便表示,规定从左到右为第 个叶子结点

此时的树长这个样子:


此时可更新强学习器,需要用到参数学习率:learning_rate=0.1,用 lr 表示。

为什么要用学习率呢?这是 Shrinkage的思想,如果每次都全部加上(学习率为1)很容易一步学到位导致过拟合。


重复此步骤,直到 结束,最后生成5棵树。

下面将展示每棵树最终的结构,这些图都是GitHub上的代码生成的,感兴趣的同学可以去一探究竟

https://github.com/Freemanzxp/GBDT_Simple_Tutorial

第一棵树:

第二棵树:
第三棵树:
第四棵树:
第五棵树:

4.得到最后的强学习器:


5.预测样本5:

中,样本4的年龄为25,大于划分节点21岁,又小于30岁,所以被预测为 0.2250

中,样本4的…此处省略…所以被预测为 0.2025

为什么是 0.2025

这是根据第二颗树得到的,可以 GitHub 简单运行一下代码

中,样本4的…此处省略…所以被预测为 0.1823

中,样本4的…此处省略…所以被预测为 0.1640

中,样本4的…此处省略…所以被预测为 0.1476

最终预测结果:


5. 总结

本文章从GBDT算法的原理到实例详解进行了详细描述,但是目前只写了回归问题,GitHub 上的代码也是实现了回归、二分类、多分类以及树的可视化,希望大家继续批评指正,感谢各位的关注。

Github:

https://github.com/Freemanzxp/GBDT_Simple_Tutorial


参考资料

  1. 李航 《统计学习方法》

  2. Friedman J H . Greedy Function Approximation: A Gradient Boosting Machine[J]. The Annals of Statistics, 2001, 29(5):1189-1232.


欢迎关注我的微信公众号--机器学习与计算机视觉,或者扫描下方的二维码,大家一起交流,学习和进步!