0 相关源码
1 回归分析概述
1.1 回归分析介绍
◆ 回归与分类类似,只不过回归的预测结果是连续的,而分类的预测结果是离散的
◆ 如此,使得很多回归与分类的模型可以经过改动而通用
◆ 因此对于回归和分类中基本原理相同或类似的模型 ,不再赘述
1.2 Spark中集成的回归算法
◆ Spark实现的回归算法很丰富 ,有很多模型同样可以用于分类
1.3 回归与分类的区别与联系

2 线性回归算法概述
2.1 线性回归简介
◆ 在回归分析中,自变量与因变量之间满足或基本满足线性关系,可以使用线性模型进行拟合
◆ 如回归分析中,只有一个自变量的即为一元线性回归,其自变量与因变量之间的关系可以用一条直线近似表示
◆ 同理,对于多变量的回归称为多元线性回归,其可以用一个平面或超平面来表示
2.2 使用线性回归的前提条件
◆ 自变量与因变量之间具有线性趋势,在前面介绍过相关系数
◆ 独立性 因变量之间取值相互独立,不存在关联
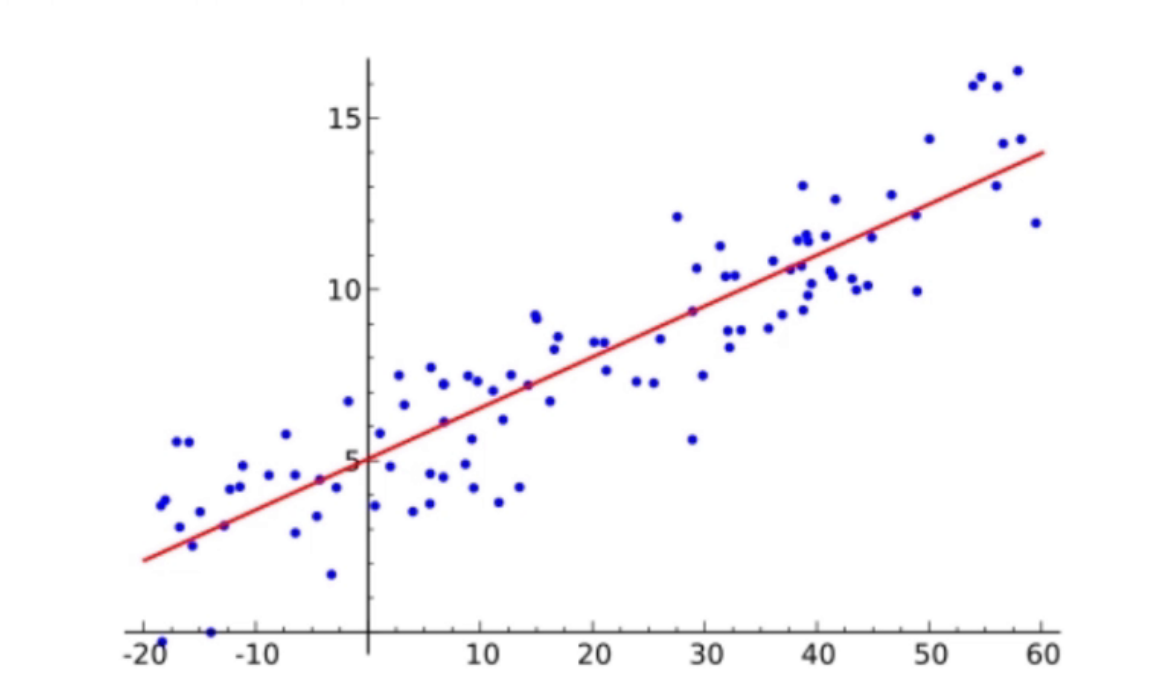
2.3 线性回归的例子
◆ 例如探究沸点与气压的关系,研究浮力与表面积之间的关系,物理上经典的探索力与加速度之间的关系
3 线性回归算法原理
3.1 回顾机器学习模型
◆ 对于统计学习来讲,机器学习模型就是一个函数表达式,其训练过程就是在不断更新这个函数式的参数,以便这个函数能够对未知数据产生最好的预测效果
◆ 机器学习的这个过程,与人的学习过程原理是一样的,都是先学习而后使用,故归属于人工智能领域
3.2 何为好的预测效果?
◆ 前面说"以便达到最好的预测效果”, 那么如何量化"好的预测效果”呢?
◆ 衡量预测效果好坏的函数称为代价函数(cost function) ,或损失函数(loss function).
◆ 例如:用一个模型预测是否会下雨,如果模型预测错误一天,则损失函数加1 那么机器学习算法的直接目标就是想方设法调节这个函数的参数 以便能够使预测错误的天数减少,也就是降低损失函数值,同时,也提高了预测的准确率
3.3 再谈线性回归
◆ 线性回归是最简单的数学模型之一
◆ 线性回归的步骤是先用既有的数据,探索自变量X与因变量Y之间存在的关系 这个关系就是线性回归模型中的参数.有了它,我们就可以用这个模型对未知数据进行预测
◆ 机器学习的模型基本的训练过程亦是如此,属于监督学习
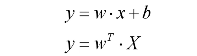
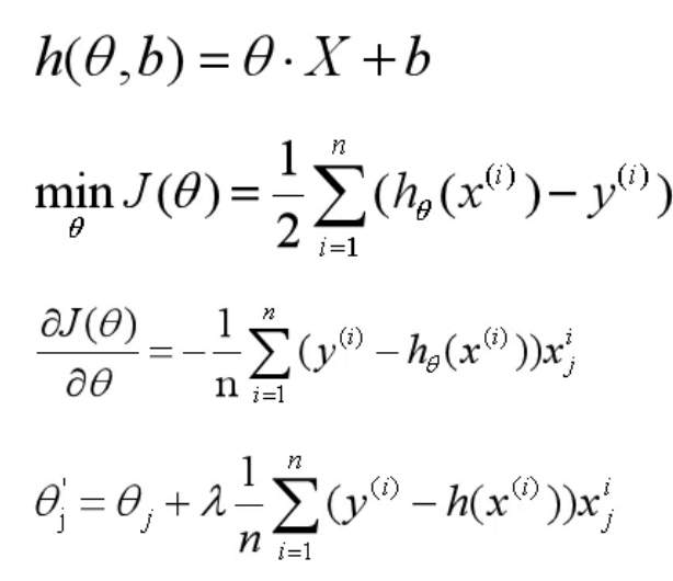
3.4 线性回归模型
◆ 线性回归的数学表达式是

◆ 上式分别为一元线性回归与写成矩阵形式的线性回归模型
4 最小二乘法
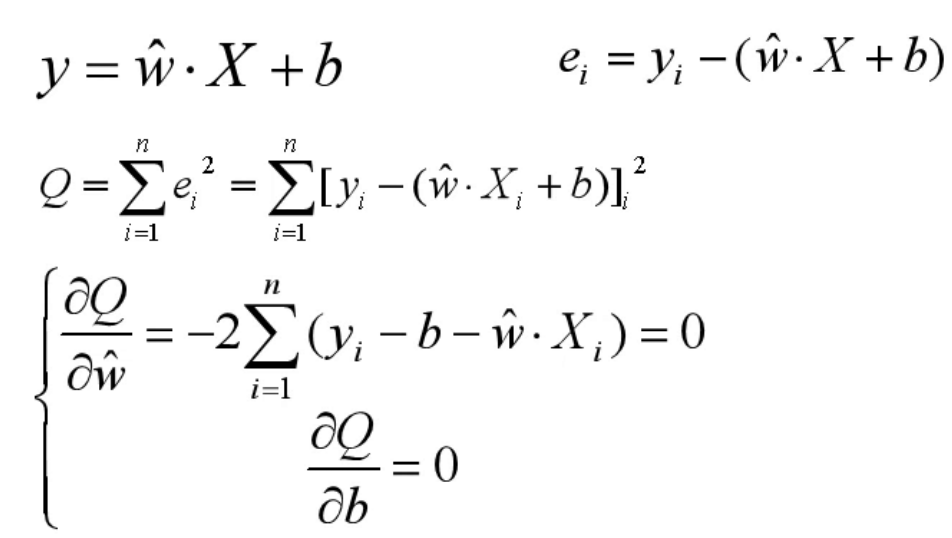
4.1 何为最小二乘法
◆ 又称最小平方法,通过最小化残差平方和来找到最佳的函数匹配
◆ 即最小二乘法以残差的平方和作为损失函数,用于衡量模型的好坏
◆ 利用最小二乘法可以实现对曲线的拟合
4.2 最小二乘法原理
◆ 以一元线性回归为例,演示推倒过程

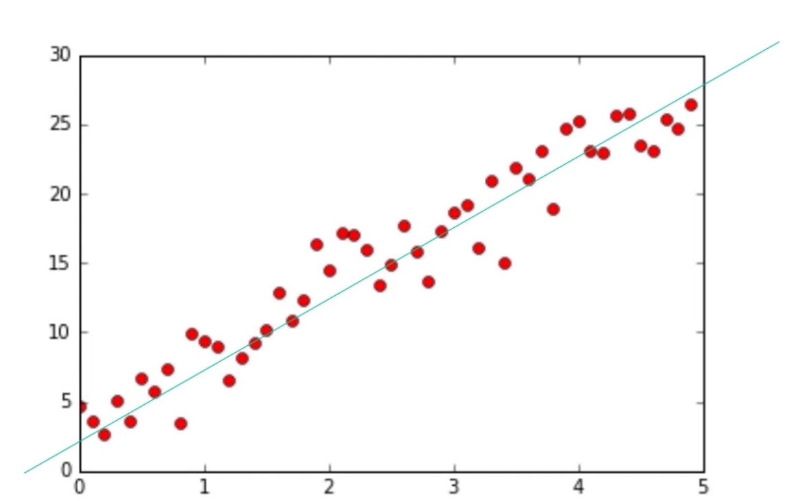
4.3 最小二乘法例子

5 随机梯度下降
5.1 何为随机梯度下降
◆ 随机梯度下降(SGD)是机器学习中常用的一种优化方法
◆ 它是通过不断迭代更新的手段,来寻找某一个函数的全局最优解的方法
◆ 与最小二乘法类似,都是优化算法,随机梯度下降特别适合变量众多,受控系统复杂的模型,尤其在深度学习中具有十分重要的作用
5.2 从梯度说起
◆ 梯度是微积分中的一个算子,用来求某函数在该点处沿着哪条路径变化最快,通俗理解即为在哪个路径上几何形态更为“陡峭”
◆ 其数学表达式为(以二元函数为例)

5.3 随机梯度下降原理
◆ 线性模型的梯度下降推倒过程


5.4 随机梯度下降优点
◆ 随机梯度下降的"随机”体现在进行梯度计算的样本是随机抽取的n个,与直接采用全部样本相比,这样计算量更少
◆ 随机梯度下降善于解决大量训练样本的情况
◆ 学习率决定了梯度下降的速度,同时,在SGD的基础上引入了”动量”的概念,从而进一步加速收敛速度的优化算法也陆续被提出
6 实战Spark预测房价 - 项目展示及代码概览
- 代码

数据加载及转换
- 数据集文件 - Price降序排列

由于训练集有序,为提高准确率,应打乱顺序-shuffle
- 预测结果

7 逻辑回归算法及原理概述
7.1 线性 VS 非线性
◆ 线性简言之就是两个变量之间存在一 次方函数关系
◆ 自然界中变 量间更多的关系是非线性的,绝对的线性关系相对很少
◆ 因此,在选择数学模型进行拟合的时候,很多情况使用非线性函数构造的模型可能比线性函数模型更好
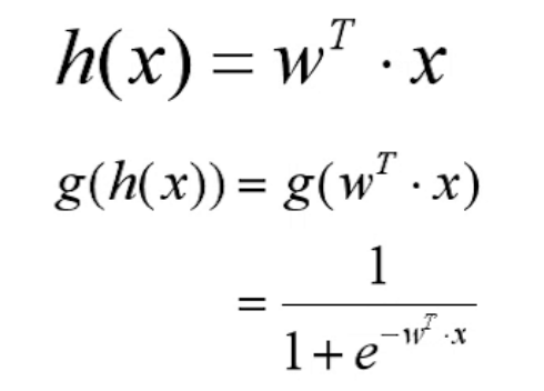
7.2 逻辑回归
◆ 逻辑回归即logistic回归,是一种广义上的线性回归,但是与线性回归模型不同的是,其引入了非线性函数
◆ 因此,逻辑回归可以用于非线性关系的回归拟合,这一点是线性回归所不具备的
7.3 逻辑回归算法原理
Sigmoid函数
◆ 逻辑函数(英语:logistic function)或逻辑曲线(英语:logistic curve)是一种常见的S函数,它是皮埃尔·弗朗索瓦·韦吕勒在1844或1845年在研究它与人口增长的关系时命名的。
- 一个简单的Logistic函数可用下式表示:

广义Logistic曲线可以模仿一些情况人口增长(P)的S形曲线。起初阶段大致是指数增长;然后随着开始变得饱和,增加变慢;最后,达到成熟时增加停止。
- 标准Logistic函数

逻辑回归原理
◆ 改进线性回归模型

8 正则化原理
8.1 模型是训练得越多越好吗?
◆ 我们通常理解是“千锤百炼”肯定质量过硬,而机器学习是一样的吗?

8.2 过拟合、欠拟合与刚刚好
◆ 人学习太过容易不懂得变通,过于教条,变成所谓的”书呆子” 机器学习也是一样
◆ 我们把机器学习模型训练得太过 ,陷入“教条”的状态称之为过拟合(over fitting)
◆ 反之,预测能力不强,宛若“智障”的模型称之为欠拟合(under fitting)
◆ 下面分别演示了用三个不同的数学模型对样本点进行拟合,产生的三种状态

8.3 如何达到刚刚好呢?
◆ 对于欠拟合状态,只需要加大训练轮次,增加特征量,使用非线性模型等即可实现
◆ 而相反,过拟合却往往更加棘手
◆ 常用的减少过拟合的方法有交叉验证法,正则化方法等
8.3.1 交叉验证法
◆ 所谓交叉验证法,就是在训练过程中,将训练数据集拆分为训练集和验证集两个部分
- 训练集专用训练模型
- 验证集只为检验模型预测能力
当二者同时达到最优,即是模型最优的时候

8.4 正则化原理
◆ 我们在前面的示例中可以看到,对于过拟合现象,往往都是模型过于复杂,超过实际需要
◆ 那么,能否在损失函数的计算中,对模型的复杂程度进行量化,越复杂的模型,就越对其进行”惩罚”, 以便使模型更加”中庸”
◆ 上面的思路就是正则化的思想,通过动态调节惩罚程度, 来防止模型过于复杂
◆ 令损失函数为

◆ 则经过优化的参数为

◆ 其中

为正则化项,反应了模型的复杂程度,在不同算法中有差异,例如可以为

9实战Spark逻辑回归
-
该算法官方归类于分类算法

-
逻辑回归算法

-
分类结果(因为分类,所以都是显示的都是1500)

10 保序回归算法概述
10.1 何为保序回归?
◆ 保序回归是用于拟合非递减数据(非递增也一样)的一种回归分析,同时,保序回归能够使得拟合之后的误差最小化
保序回归(英文:Isotonic regression)在数值分析中指的是在保序约束下搜索一个加权 w 的最小二乘 y 以拟合变量 x,它是一个二次规划问题:

◆ 比较保序回归与线性回归

10.2 保序回归的应用
◆ 保序回归用于拟合非递减数据 ,不需要事先判断线性与否,只需数据总体的趋势是非递减的即可 例如研究某种药物的使用剂量与药效之间的关系
11 保序回归算法原理
11.1 保序回归的原理
◆ 适用保序回归的前提应是结果数据的非递减,那么,我们可以通过判断数据是否发生减少来来触发计算
◆ 算法描述

◆ Spark实现求解该模型的算法是pool adjacent violators算法(PAVA)
◆ 例如原序列为{1,3,2,4,6}经过保序回归为{1,3,3,3,6}
12 实战保序回归数据分析

保序回归属于回归算法族。标准保序回归是一个问题,给定一组有限的实数Y = y1,y2,...,yn表示观察到的响应,X = x1,x2,...,xn未知的响应值拟合找到一个函数最小化
相对于x1≤x2≤...≤xn的完全顺序,其中 wi是正的权重。由此产生的函数称为保序回归。 它可被视为顺序限制约束的最小二乘问题。基本上保序回归是最适合原始数据点的单调函数。 我们实现了一个pool adjacent violators algorithm 算法,该算法使用一种并行化保序回归的方法。 训练输入是一个DataFrame,它包含三列 : 标签,功能和权重。 此外,IsotonicRegression算法有一个称为等渗默认为true的可选参数。该论证指定等渗回归是等渗的(单调递增的)还是反单调的(单调递减的)。 训练返回IsotonicRegressionModel,可用于预测已知和未知特征的标签。 保序回归的结果被视为分段线性函数。因此,预测规则是: 1 如果预测输入与训练特征完全匹配,则返回相关联的预测。如果有多个具有相同特征的预测,则返回其中一个。哪一个是未定义的(与java.util.Arrays.binarySearch相同) 2 如果预测输入低于或高于所有训练特征,则分别返回具有最低或最高特征的预测。 3 如果存在具有相同特征的多个预测,则分别返回最低或最高。
- 代码

- 计算结果,预测效果最为惊艳!!!




