HMM

462 阅读1分钟

Markov chain (ref

马尔可夫链是满足马尔可夫性质的随机过程。
马尔可夫链(英语:Markov chain),又称离散时间马尔可夫链(discrete-time Markov chain,缩写为DTMC[1]),因俄国数学家安德烈·马尔可夫(俄语:Андрей Андреевич Марков)得名,为状态空间中经过从一个状态到另一个状态的转换的随机过程。该过程要求具备“无记忆”的性质:下一状态的概率分布只能由当前状态决定,在时间序列中它前面的事件均与之无关。这种特定类型的“无记忆性”称作马尔可夫性质。马尔科夫链作为实际过程的统计模型具有许多应用。

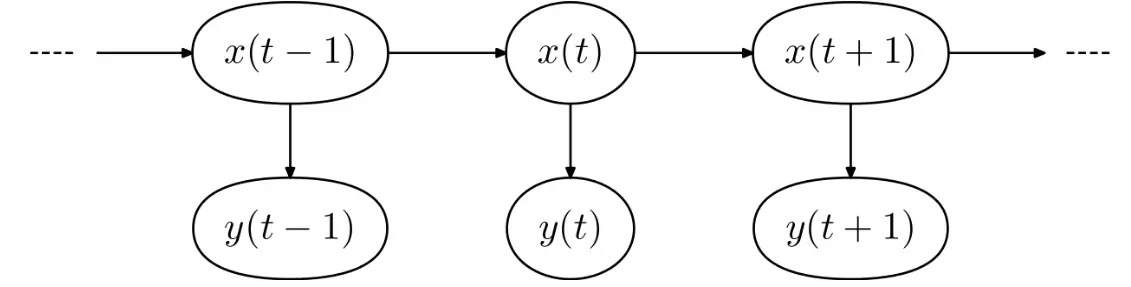
HMM的状态变迁

每个 y(t)只和 x(t)有关,其中x(t)我们称为隐藏变量(hidden variable),是观察者无法得知的变量

使用HMM

复习详看