spark mllib 机器学习
1. 逻辑回归概述
1.1 概述
逻辑回归与线性回归类似,但它不属于回归分析家族(主要为二分类),而属于分类家族,差异主要在于变量不同,因此其解法与生成曲线也不尽相同。 逻辑回归是无监督学习的一个重要算法,对某些数据与事物的归属(分到哪个类别)及可能性(分到某一类别的概率)进行评估。
1.2 使用场景
- 在医学界,广泛应用于流行病学中,比如探索某个疾病的危险因素,根据危险因素预测疾病是否发生,与发生的概率。比如探讨胃癌,可以选择两组人群,一组是胃癌患者,一组是非胃癌患者。因变量是“是否胃癌”,这里“是”与“否”就是要研究的两个分类类别。自变量是两组人群的年龄,性别,饮食习惯,等等许多(可以根据经验假设),自变量可以是连续的,也可以是分类的。
- 在金融界,较为常见的是使用逻辑回归去预测贷款是否会违约,或放贷之前去估计贷款者未来是否会违约或违约的概率。
- 在消费行业中,也可以被用于预测某个消费者是否会购买某个商品,是否会购买会员卡,从而针对性得对购买概率大的用户发放广告,或代金券等等,进行精准营销。
2.逻辑回归算法原理
公式推导部分转自知乎机器学习专栏 zhuanlan.zhihu.com/p/28775274
2.1Sigmoid函数
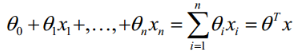
逻辑回归本质是线性回归,只是在特征到结果的过程上加上了一层映射。即首先需要把特征进行求和,然后将求和后的结果应用于一个g(z)函数,g(z)可以将值映射到0或者是1上面,这个函数就是Sigmoid函数,公式如下:

2.2原理图
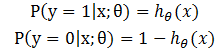
默认分类的值是0.5,超过0.5则类别为1,小于0.5类别为0


对于线性边界的情况,边界形式可以归纳为如下公式(1):





2.3spark mllib
逻辑回归和多重线性回归有很多的相似之处。最大的区别是他们的因变量不同。这两个回归也可以统一归为广义线性模型。在 spark mllib 实现的过程中也是先定义好父类广义线性模型,然后让线性回归和逻辑回归去继承这个类,重新覆盖里面的一些参数,比如 Updater,GradientDescent等。
逻辑回归主要包含以下类:
- 首先是伴生对象类,LogisticRegressionWithSGD.(包含有静态train方法)
- 然后是逻辑回归的主类,class LogisticRegressionWithSGD,这个类继承了GeneralizedLinearAlgorithm类。同时执行了父类的run方法。不过里面的部分参数,比如说梯度下降方法,权重更新方法在LogisticRegressionWithSGD有新的定义。父类包含有optimizer.optimize方法。用于执行梯度下降。权重的优化计算调用的是runMiniBatchWithSGD。梯度的计算调用的是Gradient.compute 方法。
- 最后有一个逻辑回归模型,LogisticRegressionModel类。其里面也包含有predict方法来进行预测。
逻辑回归相关的spark mllib源码解析可以参考这篇文章:blog.csdn.net/stevekangpe…
2.4逻辑回归优缺点
- 优点:计算代价低,速度快,容易理解和实现。
- 缺点:容易欠拟合,分类和回归的精度不高
3.Spark实现逻辑回归代码解析
3.1简单例子
下面的例子展示了如何使用逻辑回归训练模型,预测结果,保存和调用模型。
import org.apache.spark.SparkContext
import org.apache.spark.mllib.classification.{LogisticRegressionWithLBFGS, LogisticRegressionModel}
import org.apache.spark.mllib.evaluation.MulticlassMetrics
import org.apache.spark.mllib.regression.LabeledPoint
import org.apache.spark.mllib.linalg.Vectors
import org.apache.spark.mllib.util.MLUtils
// 加载训练数据
val data = MLUtils.loadLibSVMFile(sc, "data/mllib/sample_libsvm_data.txt")
// 切分数据,training (60%) and test (40%).
val splits = data.randomSplit(Array(0.6, 0.4), seed = 11L)
val training = splits(0).cache()
val test = splits(1)
// 训练模型
val model = new LogisticRegressionWithLBFGS()
.setNumClasses(10)
.run(training)
// Compute raw scores on the test set.
val predictionAndLabels = test.map { case LabeledPoint(label, features) =>
val prediction = model.predict(features)
(prediction, label)
}
// Get evaluation metrics.
val metrics = new MulticlassMetrics(predictionAndLabels)
val precision = metrics.precision
println("Precision = " + precision)
// 保存和加载模型
model.save(sc, "myModelPath")
val sameModel = LogisticRegressionModel.load(sc, "myModelPath")
3.2实例调参分析
package Classification
/**
* LogisticRegression Algorithm
* Created by wy on 2019/03/25
*/
//spark初始化
import org.apache.log4j.{Level, Logger}
import org.apache.spark.{SparkConf, SparkContext}
//分类数据格式处理
import org.apache.spark.mllib.linalg.Vectors
import org.apache.spark.mllib.regression.LabeledPoint
import org.apache.spark.rdd.RDD
//逻辑回归-随机梯度下降SGD
import org.apache.spark.mllib.classification.LogisticRegressionWithSGD
//计算Accuracy、PR、ROC和AUC
import org.apache.spark.mllib.evaluation.BinaryClassificationMetrics
//数据标准化
import org.apache.spark.mllib.linalg.distributed.RowMatrix
import org.apache.spark.mllib.feature.StandardScaler
//参数调优
import org.apache.spark.mllib.optimization.{Updater,SimpleUpdater,L1Updater,SquaredL2Updater}
import org.apache.spark.mllib.classification.ClassificationModel
object LogisticRegression {
//屏蔽不必要的日志显示在终端上
//Logger.getLogger("org.apache.spark").setLevel(Level.WARN)
Logger.getLogger("org.apache.spark").setLevel(Level.ERROR) //warn类信息不会显示,只显示error级别的
Logger.getLogger("org.apache.eclipse.jetty.server").setLevel(Level.OFF)
def main(args: Array[String]): Unit = {
//初始化
val conf = new SparkConf().setMaster("local").setAppName("LogisticRegression")
val sc = new SparkContext(conf)
/**
* 数据:lr_test.txt
* 该数据集包含了46个feature,1个label
* */
//input
val sourceRDD = sc.textFile("E:\\Spark\\scala-data\\LRdata\\lr_test.txt")
val data = sourceRDD.map{
line =>{
val arr = line.split("#")
val label = arr(1).toDouble
val features = arr(0).split(",").map(_.toDouble)
LabeledPoint(label,Vectors.dense(features)) //创建一个稠密向量
}
}
/**
* 创建一个稀疏向量(第一种方式)
* val sv1: Vector = Vector.sparse(3, Array(0,2), Array(1.0,3.0));
* 创建一个稀疏向量(第二种方式)
* val sv2 : Vector = Vector.sparse(3, Seq((0,1.0),(2,3.0)))
*
* 对于稠密向量:很直观,你要创建什么,就加入什么,其函数声明为Vector.dense(values : Array[Double])
* 对于稀疏向量,当采用第一种方式时,3表示此向量的长度,第一个Array(0,2)表示的索引,第二个Array(1.0, 3.0)
* 与前面的Array(0,2)是相互对应的,表示第0个位置的值为1.0,第2个位置的值为3
*
* 对于稀疏向量,当采用第二种方式时,3表示此向量的长度,后面的比较直观,Seq里面每一对都是(索引,值)的形式。
* */
data.cache() //缓存
val Array(trainData, testData) = data.randomSplit(Array(0.8,0.2),seed = 11L)
trainData.cache()
testData.cache()
val numData = data.count
val numTrainData = trainData.count
val numTestData = testData.count
println("原始数据量:",numData) //40530
println("训练数据量:",numTrainData) //32503
println("测试数据量:",numTestData) //8027
val stepSize = 0.1 //迭代步长,默认为1.0
val numIterations = 50 //迭代次数,默认为100
val miniBatchFraction = 1.0 //每次迭代参与计算的样本比例,默认为1.0
/** 训练逻辑回归模型 */
val lrModel = LogisticRegressionWithSGD.train(data, numIterations, stepSize, miniBatchFraction)
//打印模型权重值
val res = lrModel.weights.toArray
println("权重值列表如下:")
res.foreach(println)
println("----------------------拟合预测结果--------------------")
//预测值与真实值比较
//val testPoint = testData.first
//val testPredict = lrModel.predict(testPoint.features)
//testPredict: Double = 0.0
//val testTrueLabel = testPoint.label
//testTrueLabel: Double = 0.0
/** 预测的正确率计算 */
val lrTestCorrect = data.map { x =>
if (lrModel.predict(x.features)== x.label) 1 else 0
}.sum
//预测正确率
val lrAccuracy = lrTestCorrect / numData
println(f"Accuracy:${lrAccuracy * 100}%2.3f%%")
// Accuracy: 97.839%
/** 计算 准确率-召回律(PR曲线) ROC曲线的面积(AUC)
* 1.准确率通常用于评价结果的质量,定义为真阳性的数目除以真阳性和假阳性的总数,其中真阳性值被预测的类别为1的样本,
* 假阳性是错误预测为1的样本。
* 2.召回率用来评价结果的完整性,定义为真阳性的数目除以真阳性和假阳性的和,其中假阳性是类别为1却被预测为0的样本。
* 通常高准确率对应着低召回率
* 3.ROC曲线与PR曲线类似,是对分类器的真阳性率-假阳性率的图形化解释。
* */
val metrics = Seq(lrModel).map{ model =>
val scoreAndLabels = data.map{ x =>
(model.predict(x.features), x.label)
}
val metrics = new BinaryClassificationMetrics(scoreAndLabels)
(model.getClass.getSimpleName, metrics.areaUnderPR(), metrics.areaUnderROC())
}
//val allMetrics = metrics ++ nbMetrics ++ dtMetrics
metrics.foreach{ case (model, pr, roc) =>
println(f"model:$model\n" +
f"Area under PR: ${pr * 100.0}%2.3f%%\n" +
f"Area under ROC: ${roc * 100.0}%2.3f%%")
}
//Accuracy:97.839%
//model:LogisticRegressionModel
//Area under PR: 51.081%
//Area under ROC: 50.000%
/** 改进模型性能以及参数调优 */
//特征标准化
//将特征变量用(RowMatrix类)表示成MLlib中的(分布矩阵)
val vectors = data.map(x => x.features)
val matrix = new RowMatrix(vectors)
val matrixSummary = matrix.computeColumnSummaryStatistics() //计算矩阵每列的统计特性
println("----------------------特征标准化----------------------")
println("mean: ",matrixSummary.mean) //输出每列均值
println("max: ",matrixSummary.max) //每列最大值
println("variance: ",matrixSummary.variance) //矩阵每列方差
println("numNonzeros:",matrixSummary.numNonzeros) //每列非0项的数目
println("normL2: ",matrixSummary.normL2) //L2范数:向量各元素的平方和然后求平方根
/**为使得数据更符合模型的假设,对每个特征进行标准化,使得每个特征是(0均值)和(单位标准差)*/
//做法:对(每个特征值)减去(列的均值),然后(除以)列的(标准差)以进行缩放
val scaler = new StandardScaler(withMean = true, withStd = true).fit(vectors) //将向量传到转换函数
val scaledData = data.map(x => LabeledPoint(x.label, scaler.transform(x.features)))
//println(data.first.features)
println("标准化后的特征第一行结果:")
println(scaledData.first.features)
//[0.0016544159298287912,0.0273303020874253,0.008141541536538578,0.07992614623509364,...
//为验证第一个特征已经应用标准差公式被转换了,用 第一个特征(减去)其均值,然后(除以)标准差--方差的平方根
println("验证第一个特征是否正确")
println((data.first.features(0) - matrixSummary.mean(0)) / math.sqrt(matrixSummary.variance(0)))
//0.0016544159298287912 验证正确
/** 现在使用标准化的数据重新训练模型逻辑回归-(决策树和朴素贝叶斯不受特征标准化的影响)*/
//val Array(scaledTrainData, scaledTestData) = scaledData.randomSplit(Array(0.8,0.2),seed = 11L)
val scaledLrModel = LogisticRegressionWithSGD.train(scaledData,numIterations,stepSize,miniBatchFraction)
val scaledLrCorrect = scaledData.map{ x =>
if (scaledLrModel.predict(x.features) == x.label) 1 else 0
}.sum
val scaledLrTestAccuracy = scaledLrCorrect / numData
val lrPredictionsVsTrue = scaledData.map{ x =>
(scaledLrModel.predict(x.features), x.label)
}
val lrMetricsScaled = new BinaryClassificationMetrics(lrPredictionsVsTrue)
val lrPr = lrMetricsScaled.areaUnderPR() //lrPr: Double = 0.27532
val lrPoc = lrMetricsScaled.areaUnderROC() //lrPoc: Double = 0.58451
println("------------标准化后数据训练、拟合和结果----------------")
println(f"Model:${scaledLrModel.getClass.getSimpleName}\n" +
f"Accuracy: ${scaledLrTestAccuracy * 100}%2.3f%%\n" +
f"Area under PR: ${lrPr * 100}%2.3f%%\n" +
f"Area under ROC:${lrPoc * 100}%2.3f%%")
//Model:LogisticRegressionModel
//Accuracy: 64.974%
//Area under PR: 35.237%
//Area under ROC:65.355%
/** 模型参数调优MLlib线性模型优化技术:SGD和L-BFGS(只在逻辑回归中使用LogisticRegressionWithLBFGS)*/
//线性模型
//定义训练调参辅助函数,根据给定输入训练模型 (输入, 则正则化参数, 迭代次数, 正则化形式, 步长)
def trainWithParams(input: RDD[LabeledPoint], regParam: Double, numIterations: Int,
updater: Updater, stepSize: Double) = {
val lr =new LogisticRegressionWithSGD //逻辑回归也可以用LogisticRegressionWithLBFGS
lr.optimizer
.setNumIterations(numIterations) //迭代次数
.setStepSize(stepSize) //步长
.setRegParam(regParam) //则正则化参数
.setUpdater(updater) //正则化形式
lr.run(input) //输入训练数据RDD
}
//定义第二个辅助函数,label为需要调试的参数,data:输入预测的数据,model训练的模型
def createMetrics(label: Double, data: RDD[LabeledPoint], model: ClassificationModel) = {
val scoreAndLabels = data.map { point =>
(model.predict(point.features),point.label) //(predicts,label)
}
val metrics = new BinaryClassificationMetrics(scoreAndLabels)
(label, metrics.areaUnderROC()) //计算AUC
}
//加快多次模型训练速度, 缓存标准化后的数据
scaledData.cache()
println("------------------标准化后数据调参---------------------")
//1迭代次数
val iterateResults = Seq(1, 5, 10, 50, 100).map { param =>
//训练
val model = trainWithParams(scaledData, 0.0, param, new SimpleUpdater, 1.0)
//拟合,计算AUC
createMetrics(param, scaledData, model)
}
println("1迭代次数numIterations:Seq(1, 5, 10, 50, 100)")
iterateResults.foreach { case (param, auc) => println(f"$param iterations, AUC = ${auc * 100}%2.2f%%")}
//1 iterations, AUC = 64.50%
//5 iterations, AUC = 67.07%
//10 iterations, AUC = 67.10%
//50 iterations, AUC = 67.56%
//100 iterations, AUC = 67.56%
var maxIterateAuc = 0.0
var bestIterateParam = 0
for(x <- iterateResults){
//println(x)
if(x._2 > maxIterateAuc){
maxIterateAuc = x._2
bestIterateParam = x._1.toInt
}
}
println("max auc: " + maxIterateAuc + " best numIterations param: " + bestIterateParam)
//2步长 大步长收敛快,太大可能导致收敛到局部最优解
val stepResults = Seq(0.001, 0.01, 0.1, 1.0, 10.0).map { param =>
val model = trainWithParams(scaledData, 0.0, bestIterateParam, new SimpleUpdater, param)
createMetrics(param, scaledData, model)
}
println("\n2步长stepSize:Seq(0.001, 0.01, 0.1, 1.0, 10.0)")
stepResults.foreach { case (param, auc) => println(f"$param stepSize, AUC = ${auc * 100}%2.2f%%")}
//0.001 step size, AUC = 64.50%
//0.01 step size, AUC = 64.50%
//0.1 step size, AUC = 65.36%
//1.0 step size, AUC = 67.56%
//10.0 step size, AUC = 50.20%
var maxStepAuc = 0.0
var bestStepParam = 0.0
for(x <- stepResults){
//println(x)
if(x._2 > maxStepAuc){
maxStepAuc = x._2
bestStepParam = x._1
}
}
println("max auc: " + maxStepAuc + " best stepSize param: " + bestStepParam)
//3.1正则化参数,默认值为0.0,L1正则new L1Updater
val regL1Results = Seq(0.0, 0.001, 0.01, 0.1, 1.0, 10.0).map{ param =>
val model = trainWithParams(scaledData, param, bestIterateParam, new L1Updater, bestStepParam)
createMetrics(param, scaledData, model)
}
println("\n3.1 L1正则化参数regParam:Seq(0.0, 0.001, 0.01, 0.1, 1.0, 10.0)")
regL1Results.foreach{ case (param,auc) => println(f"$param regParam L1, AUC = ${auc * 100}%2.2f%%")}
//regParam L1 = 0.0, AUC = 67.56%
//regParam L1 = 0.001, AUC = 66.43%
//regParam L1 = 0.01, AUC = 65.74%
//regParam L1 = 0.1, AUC = 50.00%
//regParam L1 = 1.0, AUC = 50.00%
//regParam L1 = 10.0, AUC = 50.00%
var maxRegL1Auc = 0.0
var bestRegL1Param = 0.0
for(x <- regL1Results){
//println(x)
if(x._2 > maxRegL1Auc){
maxRegL1Auc = x._2
bestRegL1Param = x._1
}
}
println("max auc: " + maxRegL1Auc + " best L1regParam: " + bestRegL1Param)
//3.2正则化参数:默认值为0.0,L2正则new SquaredL2Updater
val regL2Results = Seq(0.0, 0.001, 0.01, 0.1, 1.0, 10.0).map{ param =>
val model = trainWithParams(scaledData, param, bestIterateParam, new SquaredL2Updater, bestStepParam)
createMetrics(param, scaledData, model)
}
println("\n3.2 L2正则化参数regParam:Seq(0.0, 0.001, 0.01, 0.1, 1.0, 10.0)")
regL2Results.foreach{ case (param,auc) => println(f"$param regParam L2, AUC = ${auc * 100}%2.2f%%")}
//regParam L2 = 0.0 , AUC = 67.56%
//regParam L2 = 0.001 , AUC = 67.56%
//regParam L2 = 0.01 , AUC = 67.43%
//regParam L2 = 0.1 , AUC = 67.14%
//regParam L2 = 1.0 , AUC = 66.60%
//regParam L2 = 10.0 , AUC = 36.76%
var maxRegL2Auc = 0.0
var bestRegL2Param = 0.0
for(x <- regL2Results){
//println(x)
if(x._2 > maxRegL2Auc){
maxRegL2Auc = x._2
bestRegL2Param = x._1
}
}
println("max auc: " + maxRegL2Auc + " best L2regParam: " + bestRegL2Param)
//4正则化形式:默认为new SimpleUpdater 正则化系数无效,前两个参数调参后最优AUC为maxStepAuc
//则,3.1和3.2的最优AUC与maxStepAuc比较,较大的则为最优正则化形式
var bestRegParam = 0.0
var bestUpdaterID = 0
if(maxStepAuc >= maxRegL1Auc ){
if(maxStepAuc >= maxRegL2Auc){
bestUpdaterID = 0
bestRegParam = 0.0
}
else {
bestUpdaterID = 2
bestRegParam = bestRegL2Param
}
}
else {
if(maxRegL2Auc >= maxRegL1Auc){
bestUpdaterID = 2
bestRegParam = bestRegL2Param
}
else {
bestUpdaterID = 1
bestRegParam = bestRegL1Param
}
}
val Updaters = Seq(new SimpleUpdater, new L1Updater, new SquaredL2Updater)
val bestUpdater = Updaters(bestUpdaterID)
//最优参数:
println("------------------更新模型训练参数---------------------")
println(f"best numIterations param: $bestIterateParam\n" +
f"best stepSize param: $bestStepParam\n" +
f"best regParam: $bestRegParam\n" +
f"best regUpdater: $bestUpdater\n"
)
// numIterations:50
// stepSize:1.0
// regParam:0.0
// updater:new SimpleUpdater
/** 数据标准化、参数调优后,再次训练逻辑回归模型,可以用28分训练测试 */
val upDateLrModel = trainWithParams(scaledData, bestRegParam, bestIterateParam, bestUpdater, bestStepParam)
//保存和加载模型
upDateLrModel.save(sc, "E:\\Spark\\scala-data\\Model")
val newModel = LogisticRegressionModel.load(sc, "E:\\Spark\\scala-data\\Model")
//打印模型权重值
val newRes = newModel.weights.toArray
println("参数调优后特征权重值列表如下:")
newRes.foreach(println)
}
}
3.3本地运行结果
------------标准化后数据训练、拟合和结果----------------
Model:LogisticRegressionModel
Accuracy: 64.974%
Area under PR: 35.237%
Area under ROC:65.355%
------------------标准化后数据调参---------------------
1迭代次数numIterations:Seq(1, 5, 10, 50, 100)
1.0 iterations, AUC = 64.50%
5.0 iterations, AUC = 67.07%
10.0 iterations, AUC = 67.10%
50.0 iterations, AUC = 67.56%
100.0 iterations, AUC = 67.56%
max auc: 0.6756122825453876 best numIterations param: 50
2步长stepSize:Seq(0.001, 0.01, 0.1, 1.0, 10.0)
0.001 stepSize, AUC = 64.50%
0.01 stepSize, AUC = 64.50%
0.1 stepSize, AUC = 65.36%
1.0 stepSize, AUC = 67.56%
10.0 stepSize, AUC = 50.20%
max auc: 0.6756122825453876 best stepSize param: 1.0
3.1 L1正则化参数regParam:Seq(0.0, 0.001, 0.01, 0.1, 1.0, 10.0)
0.0 regParam L1, AUC = 67.56%
0.001 regParam L1, AUC = 66.43%
0.01 regParam L1, AUC = 65.74%
0.1 regParam L1, AUC = 50.00%
1.0 regParam L1, AUC = 50.00%
10.0 regParam L1, AUC = 50.00%
max auc: 0.6756122825453876 best L1regParam: 0.0
3.2 L2正则化参数regParam:Seq(0.0, 0.001, 0.01, 0.1, 1.0, 10.0)
0.0 regParam L2, AUC = 67.56%
0.001 regParam L2, AUC = 67.56%
0.01 regParam L2, AUC = 67.43%
0.1 regParam L2, AUC = 67.14%
1.0 regParam L2, AUC = 66.60%
10.0 regParam L2, AUC = 36.76%
max auc: 0.6756122825453876 best L2regParam: 0.0
------------------更新模型训练参数---------------------
best numIterations param: 50
best stepSize param: 1.0
best regParam: 0.0
best regUpdater: org.apache.spark.mllib.optimization.SimpleUpdater@4b6fc615
---------------调用模型输出特征权重值------------------
-0.014912705104766975
-0.010300917189488083
0.0037483953352201067
-1.0105291799106376E-4
0.08089240228856116
···