《大话数据结构》读后总结(一)

228 阅读3分钟

一、数据结构基本概念

1. 数据

  • 数据:是描述客观事物的符号,是计算机中可以操作的对象,是能被计算机识别,并输入给计算机处理的符号集合。
  • 数据不仅仅包括整型、实型等数值类型,还包括字符及声音、图像、视频等非数值类型。
  • 数据就是可以输入到计算机,能被计算机程序处理的符号。

2. 数据元素

  • 数据元素:是组成数据的、有一定意义的基本单位,在计算机中通常作为整体处理,也被称为记录。
  • 鸡、牛等动物是动物的数据元素,人是人类的数据元素。

3. 数据项

  • 一个数据元素可以由若干个数据项组成,是数据不可分割的最小单位。

4. 数据对象

  • 数据对象:是性质相同的数据元素的集合,是数据的子集。
  • 性质相同是指数据元素具有相同数量和类型的数据项,比如,人都有姓名、生日、性别等相同的数据项。

5. 数据结构

  • 在现实世界中,不同数据元素之间不是独立的,而是存在特定的关系,我们将这些关系称为结构。
  • 数据结构:是相互之间存在一种或多种特定关系的数据元素的集合。

ps:数据项相当于数据库的字段的值,数据元素相当于数据表的一条记录,数据对象就相当于数据表。

二、逻辑结构和物理结构

1、逻辑结构

  • 是指数据对象中数据元素之间的相互关系
  • 逻辑结构是针对具体问题的,是为了解决某个问题,在对问题理解的基础上,选择一个合适的数据结构表示数据元素之间的逻辑关系。
    1.1、集合结构
    • 集合结构中的数据元素除了同属于一个集合外,它们之间没有其他关系。
    • 数据结构中的集合关系就类似于数学中的集合。
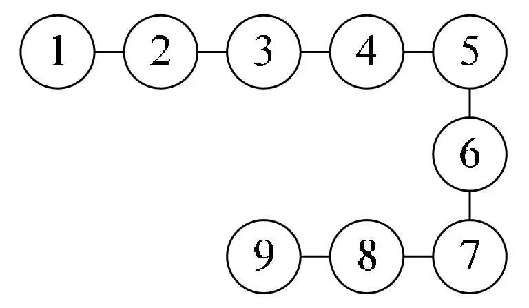
    1.2 线性结构
    • 线性结构中的数据元素之间是一对一的关系。
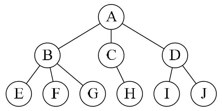
    1.3 树形结构
    • 树形结构中的数据元素之间存在一种一对多的层次关系。

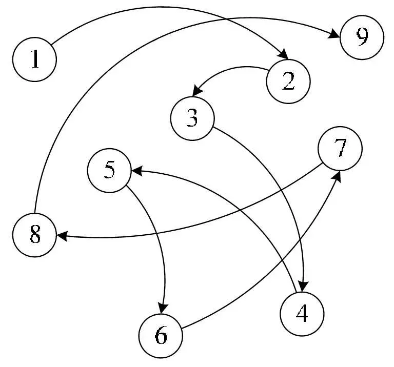
    1.4 图形结构

    • 图形结构的数据元素是多对多的关系。

2、物理结构

  • 是指数据的逻辑结构在计算机内存中的存储形式。
  • 逻辑结构是面向问题的,而物理结构就是面向计算机的,其基本的目标就是将数据及其逻辑关系存储到计算机的内存中。
  • 数据元素的存储结构形式有两种:顺序存储和链式存储。
    2.1、顺序存储
    • 把数据元素存放在地址连续的存储单元里,其数据间的逻辑关系和物理关系是一致的。
    2.2、链式存储
    • 是把数据元素存放在任意的存储单元里,这组存储单元可以是连续的,也可以是不连续的。
    • 数据元素的存储关系并不能反映其逻辑关系,因此需要用一个指针存放数据元素的地址,这样通过地址就可以找到相关联数据元素的位置。

欢迎扫描下方二维码,持续关注:

互联网工程师(id:phpstcn),我们一起学习,一起进步