环形链表 II 转载 https://blog.csdn.net/forever______/article/details/85103234#_1

183 阅读2分钟

给定一个链表,返回链表开始入环的第一个节点。 如果链表无环,则返回 null。

为了表示给定链表中的环,我们使用整数 pos 来表示链表尾连接到链表中的位置(索引从 0 开始)。 如果 pos 是 -1,则在该链表中没有环。

说明:不允许修改给定的链表。

img

示例 1:

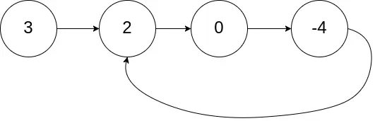
输入:head = [3,2,0,-4], pos = 1
输出:tail connects to node index 1
解释:链表中有一个环,其尾部连接到第二个节点。

img

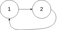
示例 2:

输入:head = [1,2], pos = 0
输出:tail connects to node index 0
解释:链表中有一个环,其尾部连接到第一个节点。

img

示例 3:

输入:head = [1], pos = -1
输出:no cycle
解释:链表中没有环。

用两个指针同时遍历链表,快指针每次走两步,慢指针每次走一步。如果链表中有环,那么他们终将相遇。可证:自他们相遇后,指针1从起点每次走一步,指针2从相遇点每次走一步,指针1和指针2相遇处就是环的起点。证明如下:

如下图,设Y点为环起点,Z点为快慢指针相遇点,abc为这几个关键节点间的路程(可能包括很多节点)。

因为,相遇时快指针走过的路程肯定为慢指针走过的路程的2倍。得:

(a+b)2 = a+b+(b+c)n //n>=1,n为快指针在相遇前绕环的圈数

解方程得 a = (b+c)(n-1)+c

所以:

当n=1时,a=c

当n>1时,a=c+n圈

得证。

img

时间复杂度O(n)

/**
 * Definition for singly-linked list.
 * class ListNode {
 *     int val;
 *     ListNode next;
 *     ListNode(int x) {
 *         val = x;
 *         next = null;
 *     }
 * }
 */
public class Solution {
    public ListNode detectCycle(ListNode head) {
        ListNode slow = head;
        ListNode fast = head;
        while( fast != null && fast.next != null ){
            slow = slow.next ; 
            fast = fast.next.next;
            if(slow == fast ){
                break;
            }
        }
        if( fast == null || fast.next== null ){
            return null;
        }
        while( head != slow ){
            head = head.next;
            slow = slow.next;
        }
        return head;
    }
}