React DOM Diff算法详解

1,920 阅读4分钟

React中文文档 doc.react-china.org/

前端开发中,原生JS对DOM的频繁操作往往是令人头痛并且十分影响性能的; 而React在设计之初就考虑到了这种需求并将其作为重点,于是也就有了这里要说的Diff算法;可以说Diff是React性能的保障

什么是Diff算法

Diff算法是一种常用的对比差异的算法,但传统Diff算法对于DOM树的比较是比较吃力的,下面附上一份简易版Diff算法(源代码来自:blog.csdn.net/qq_26708777…)

let result = [];
// 比较叶子节点
const diffLeafs = function (beforeLeaf, afterLeaf) {
    // 获取较大节点树的长度
    let count = Math.max(beforeLeaf.children.length, afterLeaf.children.length);
    // 循环遍历
    for (let i = 0; i < count; i++) {
        const beforeTag = beforeLeaf.children[i];
        const afterTag = afterLeaf.children[i];
        // 添加 afterTag 节点
        if (beforeTag === undefined) {
            result.push({ type: "add", element: afterTag });
            // 删除 beforeTag 节点
        } else if (afterTag === undefined) {
            result.push({ type: "remove", element: beforeTag });
            // 节点名改变时,删除 beforeTag 节点,添加 afterTag 节点
        } else if (beforeTag.tagName !== afterTag.tagName) {
            result.push({ type: "remove", element: beforeTag });
            result.push({ type: "add", element: afterTag });
            // 节点不变而内容改变时,改变节点
        } else if (beforeTag.innerHTML !== afterTag.innerHTML) {
            if (beforeTag.children.length === 0) {
                result.push({
                    type: "changed",
                    beforeElement: beforeTag,
                    afterElement: afterTag,
                    html: afterTag.innerHTML
                });
            } else {
                // 递归比较
                diffLeafs(beforeTag, afterTag);
            }
        }
    }
    return result;
}

React中的Diff

既然传统的Diff算法对于DOM操作有性能上的缺点,那么React又是如何解决这一问题的呢?下面看一段React代码

import React, { Component } from 'react';
import ReactDOM from 'react-dom';

class App extends Component {
	render() {
		return (
			<div className="app">
				<h1>Find My Fruit</h1>
			</div>
		)
	}
}

ReactDOM.render(
    <App />,
    document.getElementById('root')
);

需要特别注意, render 执行的结果得到的不是真正的 DOM 节点. 结果仅仅是轻量级的 JavaScript 对象, 我们称之为 virtual DOM.

Diff策略

· Web UI 中DOM节点跨层级的移动操作特别少,可以忽略不计

· 拥有相同类的两个组件将会生成相似的树形结构,拥有不同类的两个组件将会生成不同的树形结构。

· 对于同一层级的一组子节点,它们可以通过唯一id进行区分。

tree diff

基于策略一,WebUI中DOM节点跨层级的移动操作少的可以忽略不计,React对Virtual DOM树进行了层级控制,只会对相同层级的DOM节点进行比较,即同一个父元素下的所有子节点,当发现节点已经不存在了,则会删除掉该节点下所有的子节点,不会再进行比较。这样只需要对DOM树进行一次遍历,就可以完成整个树的比较。复杂度变为O(n);

那么,如果真的出现跨层及操作,React是如何表现的呢? 如下图所示,A节点及其子节点被整个移动到D节点下面去,由于React只会简单的考虑同级节点的位置变换,而对于不同层级的节点,只有创建和删除操作,所以当根节点发现A节点消失了,就会删除A节点及其子节点,当D发现多了一个子节点A,就会创建新的A作为其子节点。 此时,diff的执行情况是:

remove A-> add A-> add B ->add C

这种情况自然是比较消耗性能的,所以在开发React组件时要尽量保证的DOM结构的稳定,尽量避免出现跨层级操作

Components diff

React 只会匹配相同 class 的 component.说白了也就是只会对同一类型的组件进行比较,而对于不同的类型组件,则放弃比较,直接删掉旧的添加新的

比如, 如果有个 Header 被 ExampleBlock 替换掉了, React 会删除掉 header 再创建一个 example block. 我们不需要化宝贵的时间去匹配两个不大可能有相似之处的 component.

列表 diff

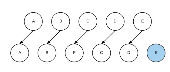
假设我们有个 component, 一个循环渲染了 5 个 component, 随后又在列表中间插入一个新的 component.这时候会如何操作呢?

默认操作如下:
即把C更新成F,D更新成C,E更新成D,最后再插入E,是不是很没有效率?

所以我们需要使用key来给每个节点做一个唯一的标识,Diff算法就可以正确的识别此节点,找到正确的位置区插入新的节点。同一个列表由旧变新有三种行为,插入、移动和删除,它的比较策略是对于每一个列表指定key,先将所有列表遍历一遍,确定要新增和删除的,再确定需要移动的。如图所示,第一步将D删掉,第二步增加E,再次执行时A和B只需要移动位置即可