Android教你一步一步从学习贝塞尔曲线到实现波浪进度条

5,448 阅读35分钟

前言

大家好,我是深红骑士,爱开玩笑,技术一渣渣,热爱钻研,这篇文章是今年的最后一篇了,首先祝大家在新的一年里心想事成,诸事顺利。今天来学习贝塞尔曲线,之前一直想学,可惜没时间。什么是贝塞尔曲线呢?一开始我也是不懂的,当查了很多资料,现在还是不够了解,其推导公式还是不能深入了解。对发布这曲线的法国工程师皮埃尔·贝塞尔由衷敬佩,贝塞尔曲线,又称贝兹曲线或者贝济埃曲线,是应用于二维图形应用程序的数学曲线.1962年,皮埃尔·贝塞尔运用贝塞尔曲线为汽车的主体进行设计,贝塞尔曲线最初由Paul de Casteljau于1959年运用de Casteljau算法开发,以稳定的述职方法求出贝塞尔曲线。其实贝塞尔曲线就在我们日常生活中,如一些成熟的位图软件中:PhotoSHop,Flash5等。在前端开发中,贝塞尔曲线也是无处不在:前端2D或者3D图形图标库都会使用贝塞尔曲线;它可以用来绘制曲线,在svg和canvas中,原生提供的曲线绘制都是用贝塞尔曲线实现的;在css的transition-timing-function属性,可以使用贝塞尔曲线来描述过渡的缓动计算。

前言贝塞尔演示图
上面这个动画是不是很炫,它就是用贝塞尔曲线来实现的。

贝塞尔曲线原理

贝塞尔曲线是用一系列点来控制曲线状态的,我将这一系列点分为三个点:起点终点控制点。通过改变这些点,贝塞尔曲线就会发生变化。

  • 起点:确定曲线的起点
  • 终点:确定曲线的终点
  • 控制点:确定曲线的控制点

一阶曲线原理

一阶曲线就是一条直线,只有两个点,就是起点终点,也就是最终效果就是一条线段。还是直接上图比较直观:

一阶曲线效果图
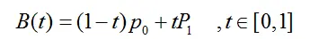
一阶公式如下:

一阶公式推导
那么上面的公式是怎么来的呢?为了方便,我就在纸上写了,字有点丑,见谅了:

一阶公式详细推导

二阶曲线原理

二阶曲线由两个数据点(起始点和终点),一个控制点来描述曲线状态,如下图,下面A点是起始点,C是终点,B是控制点。

二阶曲线示意图(一)
红线AC是怎么生成的呢?继续上图:

二阶曲线示意图(二)
简单来看连接AB,BC两条线段,在AB,BC分别取D,E两点,连接DE。如下图:

二阶曲线示意图(三)
D在AB线段上从A往B做一阶曲线运动,E在BC线段上从B往C做一阶曲线运动,而F在DE上做一阶曲线运动,那么F这点就是贝塞尔曲线上的一个点,动态图如下:

二阶曲线示意图(四)
再简单理解就是:二阶贝塞尔曲线就是起点终点不断变化的一阶贝塞尔曲线。二阶公式如下:

二阶公式
那么上面这个公司怎么推导出来的呢?同样为了方便,我就在纸上写了:

二阶公式推导

三阶曲线原理

三阶曲线其实就是由两个数据点(起始点和终点),两个控制点来描述曲线的状态,如下图,下面A是起始点,D是终点,B和C是控制点。

三阶曲线示意图(一)
动态图如下:

三阶曲线示意图(二)
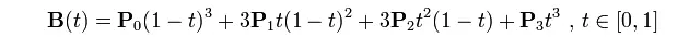
可以这么理解,两个数据点和控制点不断变化的二阶贝塞尔曲线,即拆分为p0p1p2和p1p2p3两个二阶贝塞尔曲线。三阶公式如下:

三阶公式如下
那么上面这个公式是怎么推导出来的呢?直接上图:

三阶曲线推导图
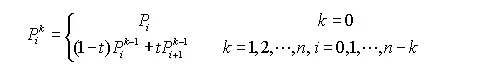
四阶,五阶的效果图和推导公式就不上了,原理是一样的。通过上面一阶,二阶,三阶的推导可以发现这样一个规律:没N阶贝塞尔曲线都可以拆分为两个N-1阶,和高数中二项式展开一样,就是阶数越高,控制点之间就会越近,绘制的曲线就会更加丝滑。通用公式如下:

n阶曲线通用公式
把贝塞尔曲线原理弄懂了,下面就可以用来做实际性的东西了。

Android中的贝塞尔曲线

在Android中,Path类中有四个方法与贝塞尔曲线相关的,也就是已经封装了关于贝塞尔曲线的函数,开发者直接调用即可:

    //二阶贝赛尔
    public void quadTo(float x1, float y1, float x2, float y2);
    public void rQuadTo(float dx1, float dy1, float dx2, float dy2);
    //三阶贝赛尔
    public void cubicTo(float x1, float y1, float x2, float y2,float x3, float y3);
    public void rCubicTo(float x1, float y1, float x2, float y2,float x3, float y3);

上面的四个函数中,quadTo、rQuadTo是二阶贝塞尔曲线,cubicTo、rCubicTo是三阶贝塞尔曲线。因为三阶贝塞尔曲线使用方法和二阶贝塞尔曲线相似,用处也很少,就不细说了。下面就针对二阶的贝塞尔曲线quadTo、rQuadTo为详细说明。

quadTo原理

先看看quadTo函数的定义:

/**
     * Add a quadratic bezier from the last point, approaching control point
     * (x1,y1), and ending at (x2,y2). If no moveTo() call has been made for
     * this contour, the first point is automatically set to (0,0).
     *
     * @param x1 The x-coordinate of the control point on a quadratic curve
     * @param y1 The y-coordinate of the control point on a quadratic curve
     * @param x2 The x-coordinate of the end point on a quadratic curve
     * @param y2 The y-coordinate of the end point on a quadratic curve
     */
    public void quadTo(float x1, float y1, float x2, float y2) {
        isSimplePath = false;
        nQuadTo(mNativePath, x1, y1, x2, y2);
    }

看上面的注释可以知道:(x1,y1)是控制点,(x2,y2)是终点坐标,怎么没有起点的坐标呢?作为Android开发者都知道,一条线段的起始点都是通过Path.move(x,y)来指定的。如果连续调用quadTo函数,那么前一个quadTo的终点就是下一个quadTo函数的起始点,如果初始化没有调用Path.moveTo(x,y)来指定起始点,那么控件视图就会以左上角(0,0)为起始点,还是直接上例子描述。 下面实现绘制下面以下效果图:

效果图一
下面先通过PhotoShop来模拟画出上面这条轨迹的辅助控制点的位置:

photoShop演示图
下面通过草图分析确定起始点,终点,控制点的位置,注意,下面的分析图位置不是很准备,只是为了确定控制点的位置。

开始路径分析图
先看p0-p1这条路径,是以p0为起始点,p2为终点,p1为控制点。起始的坐标设置为(200,400),终点的坐标设置(400,400),控制点是在p0,p1的上方,因此纵坐标y的值比两点都要小,横坐标的位置是在p0和p2的中间。那么p1坐标设定为(300,300);同理,在p2-p4的这条二阶贝塞尔曲线上,控制点p3的坐标位置应该是(500,500),因为p0-p2,p2-p4这两条贝塞尔曲线是对称的。

示例代码

public class PathView extends View {


    //画笔
    private Paint paint;
    //路径
    private Path path;

    public PathView(Context context) {
        super(context);
    }

    public PathView(Context context, AttributeSet attrs) {
        super(context, attrs);
        init();
    }


    //重写onDraw方法
    @Override
    protected void onDraw(Canvas canvas) {
        super.onDraw(canvas);
        paint.setStyle(Paint.Style.STROKE);
        //线条宽度
        paint.setStrokeWidth(10);
        paint.setColor(Color.RED);
        //设置起始点的位置为(200,400)
        path.moveTo(200,400);
        //线条p0-p2控制点(300,300) 终点位置(400,400)
        path.quadTo(300,300,400,400);
        //线条p2-p4控制点(500,500) 终点位置(600,400)
        path.quadTo(500,500,600,400);
        canvas.drawPath(path, paint);

    }


    private void init() {
        paint = new Paint();
        path = new Path();
    }
}

布局文件如下:

<?xml version="1.0" encoding="utf-8"?>
<android.support.constraint.ConstraintLayout
    xmlns:android="http://schemas.android.com/apk/res/android"
    xmlns:app="http://schemas.android.com/apk/res-auto"
    android:layout_width="match_parent"
    android:layout_height="match_parent"
    android:background="#000000">



    <Button
        android:id="@+id/btn_reset"
        android:layout_width="wrap_content"
        android:layout_height="wrap_content"
        app:layout_constraintTop_toTopOf="parent"
        app:layout_constraintLeft_toLeftOf="parent"
        app:layout_constraintRight_toRightOf="parent"
        android:layout_marginTop="10dp"
        android:text="清空路径"
        />

    <com.example.okhttpdemo.PathView
        android:id="@+id/path_view"
        android:layout_width="match_parent"
        android:layout_height="wrap_content"
        app:layout_constraintTop_toBottomOf="@id/btn_reset"
        android:background="#000000"/>


</android.support.constraint.ConstraintLayout>

效果图如下图所示:

线段一效果图
下面把path.moveTo(200,400);注释,再看看效果:

去掉指定起始点的效果图
通过上面的简单例子,可以得出以下两点:

  • 当连续调用quadTo函数时,前一个quadTo函数的终点就是调用下一个quadTo函数的起始点。
  • 贝塞尔曲线的起点是通过Path.moveTo(x,y)来指定的,如果一开始没有调用Path.move(x,y),则会取控件的左上角(0,0)作为起点。

Path.lineTo和Path.quadTo的区别

下面来看看Path.lineTo和Path.quadTo的区别,Path.lineTo是连接直线,是连接上一个点到当前点的之间的直线,下面来实现绘制手指在屏幕上所走的路径,也不难就在上面的基础上增加onTouchEvent方法即可,代码如下:

public class PathView extends View {


    //画笔
    private Paint paint;
    //路径
    private Path path;

    public PathView(Context context) {
        super(context);
    }

    public PathView(Context context, AttributeSet attrs) {
        super(context, attrs);
        init();
    }


    //重写onDraw方法
    @Override
    protected void onDraw(Canvas canvas) {
        super.onDraw(canvas);
        paint.setStyle(Paint.Style.STROKE);
        //线条宽度
      //  paint.setStrokeWidth(10);
        paint.setColor(Color.RED);
        canvas.drawPath(path, paint);

    }


    private void init() {
        paint = new Paint();
        path = new Path();
    }


    @Override
    public boolean onTouchEvent(MotionEvent event) {
        switch (event.getAction()) {
            case MotionEvent.ACTION_DOWN: {
                Log.d("ssd","触发按下");
                path.moveTo(event.getX(), event.getY());
                return true;
            }
            case MotionEvent.ACTION_MOVE:
                Log.d("ssd","触发移动");
                path.lineTo(event.getX(), event.getY());
                invalidate();
                break;
            default:
                break;

        }
        return super.onTouchEvent(event);
    }


    public void reset() {
        path.reset();
        invalidate();
    }



}

直接上效果图:

手指轨迹Path.LineTo实现
当用户点击屏幕时,首先触发的是MotionEvent.DOWN这个条件,然后调用path.move(event.getX(),event.getY()),当用户移动手指时,就用path.lineTo(event.getX,event.getY())将各个点连接起来,然后调用invalidate重新绘制。这里简单说一下在MotionEvent.ACTION_DOWN为什么要返回return truereturn true表示当前的控件已经消费了按下事件,剩下的ACTION_UPACTION_MOVE都会被执行;如果在case MotionEvent.ACTION_DOWN下返回return false,后续的MOTION_MOVEMMOTION_UP 都不会被接收到,因为没有消费ACTION_DOWN,系统就会认为ACTION_DOWN没有发生过,所以ACTION_MOVEACTION_UP就不能捕获,下面把图放大仔细看:

放大的图细节
把C放大后,很明显看出,这个C字不是很平滑,像是很多一折一折的线段构成,出现这样的原因也很简单分析出来,因为这个C字是由各个不同点之间连线构成的,之间就没有平滑过渡,如果横纵坐标变化剧烈时,更加突出有折痕效果。如果要解决这问题,这时候二阶曲线的作用体现出来了。

线段转折分析
上图中,有三个黑点连成两条直线,从两个线段可以看出,如果使用Path.lineTo的时候,是直接把触摸点p0,p1,p2连接起来,那么现在要实现这个三个点之间的流畅过渡,我想到的就是把这两条线的中点分别作为起点和终点,把连接这两条线段的点(p1)作为控制点,那这样就能解决上面折痕的问题,直接上效果图:

解决折痕点
但是上面会有这样一个问题:当你绘制二阶曲线的时候,结束的时候,最开始那段线段的前半部分也就是p0-p3,最后那段线段的后半部分也就是p4-p2不会绘制出来。其实这两端距离可以忽略不计,因为手指滑动的时候,所产生的点与点之间的距离是很小的,因此p0-p3,p4-p2的距离可以忽略不算了。每个图形中,肯定有很多点共同连接线段,而现在就是将两个线段的中间做为二阶曲线的起点和终点,把线段与线段之间的转折点做为控制点,这样来组成平滑的连线。理论上应该可以,那就下面之间敲代码:

 @Override
    public boolean onTouchEvent(MotionEvent event) {
        switch (event.getAction()) {
            case MotionEvent.ACTION_DOWN: {
                Log.d("ssd","触发按下");
                path.moveTo(event.getX(), event.getY());
                //保存这个点的坐标
                mBeforeX = event.getX();
                mBeforeY = event.getY();
                return true;
            }
            case MotionEvent.ACTION_MOVE:
                Log.d("ssd","触发移动");
                //移动的时候绘制二阶曲线
                //终点是线段的中点
                endX = (mBeforeX + event.getX()) / 2;
                endY = (mBeforeY + event.getY()) / 2;
                //绘制二阶曲线
                path.quadTo(mBeforeX,mBeforeY,endX,endY);
                //然后更新前一点的坐标
                mBeforeX = event.getX();
                mBeforeY = event.getY();
                invalidate();
                break;
            default:
                break;

        }
        return super.onTouchEvent(event);
    }

这里简单说明一下,在ACTION_DOWN的时候,先调用path.moveTo(event.getX(), event.getY());设置曲线的初始位置就是手指触屏的位置,上面也解释了如果不调用moveTo(event.getX(), event.getY())的话,那么绘制点就会从控件的(0,0)开始。用mBeforeXmBeforeY记录手指移动的前一个横纵坐标,而这个点是做控制点,最后返回return true为了让ACTION_MOVEACTION_UP向本控件传递。下面说说在ACTION_MOVE方法的逻辑处理,首先是确定结束点,上面也说了结束点是线段的中间位置,所以用了两条公式来endX = (mBeforeX + event.getX()) / 2;endY = (mBeforeY + event.getY()) / 2;求这个中间位置的横纵坐标,而控制点就是上个手指触摸屏幕的位置,后面就是更新前一个手指坐标。这里注意一下,上面也说了当连续调用quardTo的时候,第一个起始点是Path.moveTo(x,y)来设置的,其他部分,前面调用quadTo的终点是下一个quard的起点,这里所说的起始点就是上一个线段的中间点。上面的逻辑用一句话表示:把各个线段的中间点作为起始点和终点,把前一个手指位置作为控制点,最终效果如下:

改良后的C图
可以看到通过quadT实现的曲线会更顺滑。

Path.rQuadTo原理

直接看这个函数的说明:

/**
     * Add a quadratic bezier from the last point, approaching control point
     * (x1,y1), and ending at (x2,y2). If no moveTo() call has been made for
     * this contour, the first point is automatically set to (0,0).
     *
     * @param x1 The x-coordinate of the control point on a quadratic curve
     * @param y1 The y-coordinate of the control point on a quadratic curve
     * @param x2 The x-coordinate of the end point on a quadratic curve
     * @param y2 The y-coordinate of the end point on a quadratic curve
     */
    public void quadTo(float x1, float y1, float x2, float y2) {
        isSimplePath = false;
        nQuadTo(mNativePath, x1, y1, x2, y2);
    }
  • x1:控制点的X坐标,表示相对于上一个终点X坐标的位移值,可以为负值,正值表示相加,负值表示相减
  • x2:控制点的Y坐标,表示相对于上一个终点Y坐标的位移值,可以为负值,正值表示相加,负值表示相减
  • x2:终点的X坐标,表示相对于上一个终点X坐标的位移值,可以为负值,正值表示相加,负值表示相减
  • y2:终点的Y坐标,表示相对一上一个终点Y坐标的位移值,可以为负值,正值表示相加,负值表示相减 这么说可能不理解,下面还是直接举例子: 如果上一个终点坐标是(100,200),如果这时候调用rQuardTo(100,-100,200,200),得到的控制点坐标是(100 + 100,200 - 100 )就是(200,100),得到的终点坐标是(100 + 200,200 + 200)就是(300,400),下面两段是相等的:
path.moveTo(100,200);
path.quadTo(200,100,300,400);
path.moveTo(100,200);
path.rQuadTo(100,-100,200,200);

在上面中,用quadTo实现了一个波浪线,下图:

波浪线效果图
下面是上面用quadTo实现的代码:

//重写onDraw方法
    @Override
    protected void onDraw(Canvas canvas) {
        super.onDraw(canvas);
        paint.setStyle(Paint.Style.STROKE);
        //线条宽度
        paint.setStrokeWidth(10);
        paint.setColor(Color.RED);
        //设置起始点的位置为(200,400)
        path.moveTo(200,400);
        //线条p0-p2控制点(300,300) 终点位置(400,400)
        path.quadTo(300,300,400,400);
        //线条p2-p4控制点(500,500) 终点位置(600,400)
        path.quadTo(500,500,600,400);
        canvas.drawPath(path, paint);

    }

下面就用rQuadTo来实现这个波浪线,先上分析图:

开始路径分析图
代码如下:

 //重写onDraw方法
    @Override
    protected void onDraw(Canvas canvas) {
        super.onDraw(canvas);
        paint.setStyle(Paint.Style.STROKE);
        //线条宽度
        paint.setStrokeWidth(10);
        paint.setColor(Color.RED);
        //设置起始点的位置为(200,400)
        path.moveTo(200,400);
        //线条p0-p2控制点(300,300) 终点坐标位置(400,400)
        path.rQuadTo(100,-100,200,0);
        //线条p2-p4控制点(500,500) 终点坐标位置(600,400)
        path.rQuadTo(100,100,200,0);
        canvas.drawPath(path, paint);

    }

第一行:path.rQuadTo(100,-100,200,0);这个一行代码是基于(200,400)这个点来计算曲线p0-p2的控制点和终点坐标。

  • 控制点X坐标 = 上一个终点的X坐标 + 控制点X位移值 = 200 + 100 = 300;
  • 控制点Y坐标 = 上一个终点的Y坐标 + 控制点Y位移值 = 400 - 100 = 300;
  • 终点X坐标 = 上一个终点的X坐标 + 终点X的位移值 = 200 + 200 = 400;
  • 终点Y坐标 = 上一个终点的Y坐标 + 终点Y的位移值 = 400 + 0 = 400; 这句和path.quadTo(300,300,400,400)是等价的。

那么第一条曲线就容易绘制出来了,并且第一条曲线的终点也知道了是(400,400),那么第二句path.rQuadTo(100,100,200,0)是基于这个终点(400,400)来计算第二条曲线的控制点和终点。

  • 控制点X坐标 = 上一个终点的X坐标 + 控制点X位移值 = 400 + 100 = 500;
  • 控制点Y坐标 = 上一个终点的Y坐标 + 控制点Y位移值 = 400 + 100 = 500
  • 终点X坐标 = 上一个终点的X坐标 + 终点X的位移值 = 400 + 200 = 600;
  • 终点Y坐标 = 上一个终点的Y坐标 + 终点Y的位移值 = 400 + 0 = 400;

其实这句path.rQuadTo(100,100,200,0);是和path.quadTo(500,500,600,400);相等的,实际运行的效果图也和用quadTo方法绘制的一样,通过这个例子,可以知道quadTo这个方法的参数都是实际结果的坐标,而rQuadTo这个方法的参数是以上一个终点位置为基准来做位移的。

实现封闭波浪

下面要实现以下效果:

满屏波浪效果

实现静态封闭波浪

对应代码如下:

  //重写onDraw方法
    @Override
    protected void onDraw(Canvas canvas) {
        super.onDraw(canvas);
        path.reset();
        //设置填充绘制
        paint.setStyle(Paint.Style.FILL_AND_STROKE);
        //线条宽度
        //paint.setStrokeWidth(10);
        paint.setColor(Color.RED);
        int control = waveLength / 2;
        //首先确定初始状态的起点(-400,1200)
        path.moveTo(-waveLength,origY);
        //因为这个整个波浪的的宽度是View宽度加上左右各一个波长
        for(int i = -waveLength;i <= getWidth() + waveLength;i += waveLength){
            path.rQuadTo(control / 2,-70,control,0);
            path.rQuadTo(control / 2,70,control,0);
        }
        path.lineTo(getWidth(),getHeight());
        path.lineTo(0,getHeight());
        path.close();
        canvas.drawPath(path, paint);

    }

下面一行一行分析:

        //首先确定初始状态的起点(-400,1200)
        path.moveTo(-waveLength,origY);

首先将Path起始位置向左移一个波长,为了就是后面实现的位移动画,然后利用循环来画出屏幕所容下的所有波浪:

 for(int i = -waveLength;i <= getWidth() + waveLength;i += waveLength){
            path.rQuadTo(control / 2,-70,control,0);
            path.rQuadTo(control / 2,70,control,0);
        }

这里我简单说一下,path.rQuadTo(control / 2,-70,control,0);循环里的第一行画的是一个波长的前半部分,下面把数值放进去就很容易理解了,因为waveLength是400,所以control = waveLength / 2就是200,而path.rQuadTo(control / 2,-70,control,0)就是path.rQuadTo(100,-70,200,0),而path.rQuadTo(control / 2,70,control,0)就是path.rQuadTo(100,70,200,0),上面说过rQuadTo的用法了,就不再叙述,下面直接上分析图,下面只是分析最左边的第一个波浪起始点,控制点的坐标,其余波浪只是通过循环绘制,就不分析了:

分析左边第一个波浪
因为需要连续调用两次rQuadTo方法才能绘制出一个完整的波浪,所以上面分析需要确定五个点的位置。这里注意,上面图左右有一条线段连接底部,形成封闭图形,因为要填充内部,所以要封闭绘制paint.setStyle(Paint.Style.FILL_AND_STROKE);。当波浪绘制完成时,path点会在A点,然后用path.lineTo(getWidth(),getHeight());连接A,B点,再调用path.lineTo(0,getHeight());连接B,C点,最后调用path.close();连接初始点就是连接C和起始点,这样满横屏的波浪就绘制完成了。

实现位移动画的波浪

下面实现左右上下位移动画,这就会有一点点进度条的感觉,我的做法很简单,因为一开始在View的左边多画了一个波浪,也就是说,将起始点向右边移动,并且要移动一个波浪的长度就可以让波纹重合,然后不断循环即可,简单来讲就是,动画移动的距离是一个波浪的长度,当移动到最大的距离时设置不断循环,就会重新绘制波浪的初始状态。

    /**
     * 动画位移方法
     */
    public void startAnim(){
        //创建动画实例
        ValueAnimator moveAnimator = ValueAnimator.ofInt(0,waveLength);
        //动画的时间
        moveAnimator.setDuration(2500);
        //设置动画次数  INFINITE表示无限循环
        moveAnimator.setRepeatCount(ValueAnimator.INFINITE);
        //设置动画插值
        moveAnimator.setInterpolator(new LinearInterpolator());
        //添加监听
        moveAnimator.addUpdateListener(new ValueAnimator.AnimatorUpdateListener() {
            @Override
            public void onAnimationUpdate(ValueAnimator animation) {
                moveDistance = (int)animation.getAnimatedValue();
                invalidate();
            }
        });
        //启动动画
        moveAnimator.start();
    }

动画的位移距离是一个波浪的长度,并将位移的距离保存到moveDistance中,然后开始的时候,在moveTo加上这个距离,就可以了,完整代码如下:

  //重写onDraw方法
    @Override
    protected void onDraw(Canvas canvas) {
        super.onDraw(canvas);
        //把路线清除 重新绘制 一定要加上 不然是矩形
        path.reset();
        //设置填充绘制
        paint.setStyle(Paint.Style.FILL_AND_STROKE);
        //线条宽度
        //paint.setStrokeWidth(10);
        paint.setColor(Color.RED);
        int control = waveLength / 2;
        //首先确定初始状态的起点(-400,1200)
        path.moveTo(-waveLength + moveDistance,origY);
        for(int i = -waveLength;i <= getWidth() + waveLength;i += waveLength){
            path.rQuadTo(control / 2,-70,control,0);
            path.rQuadTo(control / 2,70,control,0);
        }
        path.lineTo(getWidth(),getHeight());
        path.lineTo(0,getHeight());
        path.close();
        canvas.drawPath(path, paint);

    }

效果如下:

横向波浪
上面只是添加横向移动,下面添加垂直的移动,我这边为了方便,垂直移动距离跟横向距离一样,很简单,把初始纵坐标同样减去移动距离,因为是向上移动,所以是要减path.moveTo(-waveLength + moveDistance,origY - moveDistance);,最后调用以下代码:

        pathView = findViewById(R.id.path_view);
        pathView.startAnim();

效果如上上上图。经过上面,自己对贝塞尔曲线由初步的了解,下面就实现波浪形进度条。

实现波浪进度条

学到了上面的基本知识,那下面就实现一个小例子,就是圆形波浪进度条,最终效果在文章最底部,惯例下面就一步一步来实现。

绘制一段波浪

先绘制一段满屏的波浪线,绘制原理就不详细讲了,直接上代码:

/**
 * Describe : 实现圆形波浪进度条
 * Created by Knight on 2019/2/1
 * 点滴之行,看世界
 **/
public class CircleWaveProgressView extends View {

    //绘制波浪画笔
    private Paint wavePaint;
    //绘制波浪Path
    private Path wavePath;
    //波浪的宽度
    private float waveLength;
    //波浪的高度
    private float waveHeight;
    public CircleWaveProgressView(Context context) {
        this(context,null);
    }

    public CircleWaveProgressView(Context context,  @Nullable AttributeSet attrs) {
        this(context, attrs,0);
    }

    public CircleWaveProgressView(Context context,  @Nullable AttributeSet attrs, int defStyleAttr) {
        super(context, attrs, defStyleAttr);
        init(context);
    }


    /**
     * 初始化一些画笔路径配置
     * @param context
     */
    private void  init(Context context){
        //设置波浪宽度
        waveLength = Density.dip2px(context,25);
        //设置波浪高度
        waveHeight = Density.dip2px(context,15);
        wavePath = new Path();
        wavePaint = new Paint();
        wavePaint.setColor(Color.parseColor("#ff7c9e"));
        //设置抗锯齿
        wavePaint.setAntiAlias(true);
    }


    @Override
    protected void onDraw(Canvas canvas){
        super.onDraw(canvas);
        //绘制波浪线
        canvas.drawPath(paintWavePath(),wavePaint);
    }

    /**
     * 绘制波浪线
     *
     * @return
     */
    private Path paintWavePath(){
        //要先清掉路线
        wavePath.reset();
        //起始点移至(0,waveHeight)
        wavePath.moveTo(0,waveHeight);
        for(int i = 0;i < getWidth() ;i += waveLength){
             wavePath.rQuadTo(waveLength / 2,waveHeight,waveLength,0);
             wavePath.rQuadTo(waveLength / 2,-waveHeight,waveLength,0);
        }
        return wavePath;
    }

}

xml布局文件:

<?xml version="1.0" encoding="utf-8"?>
<android.support.constraint.ConstraintLayout
    xmlns:android="http://schemas.android.com/apk/res/android"
    xmlns:app="http://schemas.android.com/apk/res-auto"
    android:layout_width="match_parent"
    android:layout_height="match_parent"
>
    <com.example.progressbar.CircleWaveProgressView
        android:id="@+id/circle_progress"
        android:layout_width="wrap_content"
        android:layout_height="wrap_content"
        app:layout_constraintRight_toRightOf="parent"
        app:layout_constraintLeft_toLeftOf="parent"
        app:layout_constraintTop_toTopOf="parent"
        app:layout_constraintBottom_toBottomOf="parent"
        />

</android.support.constraint.ConstraintLayout>

实际效果如下:

波浪进度条(一)
下面绘制封闭波浪,效果分析图如下:

绘制封闭静态波浪

因为圆形进度框中的波浪是随着进度的增加而不断上升的,所以波浪是填充物,先绘制波浪,然后用path.lineTopath.close来连接封闭起来,构成一个填充图形,分析如下图:

波浪进度分析条二
绘制顺序是p0-p1-p2-p3,代码如下:

public class CircleWaveProgressView extends View {

    //绘制波浪画笔
    private Paint wavePaint;
    //绘制波浪Path
    private Path wavePath;
    //波浪的宽度
    private float waveLength;
    //波浪的高度
    private float waveHeight;
    //波浪组的数量 一个波浪是一低一高
    private int waveNumber;
    //自定义View的波浪宽高
    private int waveDefaultSize;
    //自定义View的最大宽高 就是比波浪高一点
    private int waveMaxHeight;

    public CircleWaveProgressView(Context context) {
        this(context,null);
    }

    public CircleWaveProgressView(Context context,  @Nullable AttributeSet attrs) {
        this(context, attrs,0);
    }

    public CircleWaveProgressView(Context context,  @Nullable AttributeSet attrs, int defStyleAttr) {
        super(context, attrs, defStyleAttr);
        init(context);
    }


    /**
     * 初始化一些画笔路径配置
     * @param context
     */
    private void  init(Context context){
        //设置波浪宽度
        waveLength = Density.dip2px(context,25);
        //设置波浪高度
        waveHeight = Density.dip2px(context,15);
        //设置自定义View的宽高
        waveDefaultSize = Density.dip2px(context,250);
        //设置自定义View的最大宽高
        waveMaxHeight = Density.dip2px(context,300);
        //Math.ceil(a)返回求不小于a的最小整数
        // 举个例子:
        // Math.ceil(125.9)=126.0
        // Math.ceil(0.4873)=1.0
        // Math.ceil(-0.65)=-0.0
        //这里是调整波浪数量 就是View中能容下几个波浪 用到ceil就是一定让View完全能被波浪占满 为循环绘制做准备 分母越小就约精准
        waveNumber = (int) Math.ceil(Double.parseDouble(String.valueOf(waveDefaultSize / waveLength / 2)));
        wavePath = new Path();
        wavePaint = new Paint();
        //设置颜色
        wavePaint.setColor(Color.parseColor("#ff7c9e"));
        //设置抗锯齿
        wavePaint.setAntiAlias(true);

    }


    @Override
    protected void onDraw(Canvas canvas){
        super.onDraw(canvas);
        //绘制波浪线
        canvas.drawPath(paintWavePath(),wavePaint);
        Log.d("ssd",getWidth()+"");
    }

    /**
     * 绘制波浪线
     *
     * @return
     */
    private Path paintWavePath(){
        //要先清掉路线
        wavePath.reset();
        //起始点移至(0,waveHeight)
        wavePath.moveTo(0,waveMaxHeight - waveDefaultSize);
        //最多能绘制多少个波浪
        //其实也可以用 i < getWidth() ;i+=waveLength来判断 这个没那么完美
        //绘制p0 - p1 绘制波浪线
        for(int i = 0;i < waveNumber ;i ++){
             wavePath.rQuadTo(waveLength / 2,waveHeight,waveLength,0);
             wavePath.rQuadTo(waveLength / 2,-waveHeight,waveLength,0);
        }
        //连接p1 - p2
        wavePath.lineTo(waveDefaultSize,waveDefaultSize);
        //连接p2 - p3
        wavePath.lineTo(0,waveDefaultSize);
        //连接p3 - p0
        wavePath.lineTo(0,waveMaxHeight - waveDefaultSize);
        //封闭起来填充
        wavePath.close();
        return wavePath;
    }

测量自适应View的宽高

在上面中,发现一个问题,就是宽和高都在初始化方法init中定死了,一般来讲视图View的宽高都是在xml文件中定义或者类文件中定义的,那么就要重写View的onMeasure方法:

 @Override
    protected void onMeasure(int widthMeasureSpec,int heightMeasureSpec){
         super.onMeasure(widthMeasureSpec,heightMeasureSpec);
        int height = measureSize(waveDefaultSize, heightMeasureSpec);
        int width = measureSize(waveDefaultSize, widthMeasureSpec);
        //获取View的最短边的长度
        int minSize = Math.min(height,width);
        //把View改为正方形
        setMeasuredDimension(minSize,minSize);
        //waveActualSize是实际的宽高
        waveActualSize = minSize;
        //Math.ceil(a)返回求不小于a的最小整数
        // 举个例子:
        // Math.ceil(125.9)=126.0
        // Math.ceil(0.4873)=1.0
        // Math.ceil(-0.65)=-0.0
        //这里是调整波浪数量 就是View中能容下几个波浪 用到ceil就是一定让View完全能被波浪占满 为循环绘制做准备 分母越小就约精准
        waveNumber = (int) Math.ceil(Double.parseDouble(String.valueOf(waveActualSize / waveLength / 2)));


    }

    /**
     * 返回指定的值
     * @param defaultSize 默认的值
     * @param measureSpec 模式
     * @return
     */
    private int measureSize(int defaultSize,int measureSpec) {
        int result = defaultSize;
        int specMode = View.MeasureSpec.getMode(measureSpec);
        int specSize = View.MeasureSpec.getSize(measureSpec);

        //View.MeasureSpec.EXACTLY:如果是match_parent 或者设置定值就
        //View.MeasureSpec.AT_MOST:wrap_content
        if (specMode == View.MeasureSpec.EXACTLY) {
            result = specSize;
        } else if (specMode == View.MeasureSpec.AT_MOST) {
            result = Math.min(result, specSize);
        }
        return result;
    }

上面就很简单了,就是增加了一个View的实际宽高变量waveActualSize,让代码扩展性更强和精确到更高。

绘制波浪上升

下面实现波浪高度随着进度变化而变化,当进度增加时,波浪高度增高,当进度减少时,波浪高度减少,其实很简单,也就是p0-p3,p1-p2的高度根据进度变化而变化,并增加动画,代码增加如下:

    //当前进度值占总进度值的占比
    private float currentPercent;
    //当前进度值
    private float currentProgress;
    //进度的最大值
    private float maxProgress;
    //动画对象
    private WaveProgressAnimat waveProgressAnimat;
    
     /**
     * 初始化一些画笔路径配置
     * @param context
     */
    private void  init(Context context){
        //......
        //占比一开始设置为0
        currentPercent = 0;
        //进度条进度开始设置为0
        currentProgress = 0;
        //进度条的最大值设置为100
        maxProgress = 100;
        //动画实例化
        waveProgressAnimat = new WaveProgressAnimat();

    }
    
       /**
     * 绘制波浪线
     *
     * @return
     */
    private Path paintWavePath(){
        //要先清掉路线
        wavePath.reset();
        //起始点移至(0,waveHeight) p0 -p1 的高度随着进度的变化而变化
        wavePath.moveTo(0,(1 - currentPercent) * waveActualSize);
        //最多能绘制多少个波浪
        //其实也可以用 i < getWidth() ;i+=waveLength来判断 这个没那么完美
        //绘制p0 - p1 绘制波浪线
        for(int i = 0;i < waveNumber ;i ++){
             wavePath.rQuadTo(waveLength / 2,waveHeight,waveLength,0);
             wavePath.rQuadTo(waveLength / 2,-waveHeight,waveLength,0);
        }
        //连接p1 - p2
        wavePath.lineTo(waveActualSize,waveActualSize);
        //连接p2 - p3
        wavePath.lineTo(0,waveActualSize);
        //连接p3 - p0 p3-p0d的高度随着进度变化而变化
        wavePath.lineTo(0,(1 - currentPercent) * waveActualSize);
        //封闭起来填充
        wavePath.close();
        return wavePath;
    }
    
      //新建一个动画类
    public class WaveProgressAnimat extends Animation{


        //在绘制动画的过程中会反复的调用applyTransformation函数,
        // 每次调用参数interpolatedTime值都会变化,该参数从0渐 变为1,当该参数为1时表明动画结束
        @Override
        protected void applyTransformation(float interpolatedTime, Transformation t){
            super.applyTransformation(interpolatedTime, t);
            //更新占比
            currentPercent = interpolatedTime * currentProgress / maxProgress;
            //重新绘制
            invalidate();

        }
    }

    /**
     * 设置进度条数值
     * @param currentProgress 当前进度
     * @param time 动画持续时间
     */
    public void setProgress(float currentProgress,int time){
         this.currentProgress = currentProgress;
         //从0开始变化
         currentPercent = 0;
         //设置动画时间
         waveProgressAnimat.setDuration(time);
         //当前视图开启动画
         this.startAnimation(waveProgressAnimat);
    }

最后在Activity调用一些代码:

        //进度为50 时间是2500毫秒
        circleWaveProgressView.setProgress(50,2500);

最终效果如下图:

波浪直线上升效果

绘制波浪左右平移

上面实现了波浪直线上升的动画,下面实现波浪平移的动画,添加左移的效果,这里想到前面也实现了平移的效果,但是下面实现方式和上面有点出入,简单来讲就是移动p0坐标,但是如果移动p0坐标会出现波浪不铺满整个View的情况,这里运用到一种很常见的循环处理办法。在飞机大战的背景滚动图,是两张背景图拼接起来,当飞机从第一个背景图片最底端出发,向上移动了第一个背景图片高度的距离时,将角色重新放回到第一个背景图片的最底端,这样就能实现背景图片循环的效果。也就是一开始绘制两端p0-p1,然后随着进度变化,p0会左移,一开始不在View中的波浪会从右边往左边移动出现,当滑动最大距离时,又重新绘制最开始状态,这样就达到循环了。还是先上分析图:

水平位移分析图
View的初始状态是蓝色区域,然后经过动画位移慢慢变成红色区域,代码实现如下:

    //波浪平移距离
    private float moveDistance = 0;
    
     /**
     * 绘制波浪线
     *
     * @return
     */
    private Path paintWavePath(){
        //要先清掉路线
        wavePath.reset();
        //起始点移至(0,waveHeight) p0 -p1 的高度随着进度的变化而变化
        wavePath.moveTo(-moveDistance,(1 - currentPercent) * waveActualSize);
        //最多能绘制多少个波浪
        //其实也可以用 i < getWidth() ;i+=waveLength来判断 这个没那么完美
        //绘制p0 - p1 绘制波浪线 这里有一段是超出View的,在View右边距的右边 所以是* 2,为了水平位移
        for(int i = 0; i < waveNumber * 2 ; i ++){
             wavePath.rQuadTo(waveLength / 2,waveHeight,waveLength,0);
             wavePath.rQuadTo(waveLength / 2,-waveHeight,waveLength,0);
        }
        //连接p1 - p2
        wavePath.lineTo(waveActualSize,waveActualSize);
        //连接p2 - p3
        wavePath.lineTo(0,waveActualSize);
        //连接p3 - p0 p3-p0d的高度随着进度变化而变化
        wavePath.lineTo(0,(1 - currentPercent) * waveActualSize);
        //封闭起来填充
        wavePath.close();
        return wavePath;
    }
    
    
     /**
     * 设置进度条数值
     * @param currentProgress 当前进度
     * @param time 动画持续时间
     */
    public void setProgress(final float currentProgress, int time){
         this.currentProgress = currentProgress;
         //从0开始变化
         currentPercent = 0;
         //设置动画时间
         waveProgressAnimat.setDuration(time);
         //设置循环播放
         waveProgressAnimat.setRepeatCount(Animation.INFINITE);
         //让动画匀速播放,避免出现波浪平移停顿的现象
         waveProgressAnimat.setInterpolator(new LinearInterpolator());
         waveProgressAnimat.setAnimationListener(new Animation.AnimationListener() {
             @Override
             public void onAnimationStart(Animation animation) {

             }

             @Override
             public void onAnimationEnd(Animation animation) {

             }

             @Override
             public void onAnimationRepeat(Animation animation) {
                 //波浪到达最高处后平移的速度改变,给动画设置监听即可,当动画结束后以7000毫秒的时间运行,变慢了
                 if(currentPercent == currentProgress /maxProgress){
                     waveProgressAnimat.setDuration(7000);
                 }
             }
         });
         //当前视图开启动画
         this.startAnimation(waveProgressAnimat);
    }
     //新建一个动画类
    public class WaveProgressAnimat extends Animation{


        //在绘制动画的过程中会反复的调用applyTransformation函数,
        // 每次调用参数interpolatedTime值都会变化,该参数从0渐 变为1,当该参数为1时表明动画结束
        @Override
        protected void applyTransformation(float interpolatedTime, Transformation t){
            super.applyTransformation(interpolatedTime, t);
            //波浪高度达到最高就不用循环,只需要平移
            if(currentPercent < currentProgress / maxProgress){
                currentPercent = interpolatedTime * currentProgress / maxProgress;
            }
            //左移的距离根据动画进度而改变
            moveDistance = interpolatedTime * waveNumber * waveLength * 2;
            //重新绘制
            invalidate();

        }
    }
    

最后的效果如下图:

波浪上下左右移动效果图

绘制圆形外框背景

这里要用到PorterDuffXfermode的知识,其实也不难,先上PorterDuff.Mode各种模式的效果图:

图像合成示意图
这张图看起来很正常,但这张图其实给开发者造成很大的误区,看下面这篇博文并且自己动手实践一下android PorterDuffXferMode真正的效果测试集合(对比官方demo)。 下面用到了PorterDuff.Mode.SRC_IN,因为先绘制圆形背景,再绘制波浪线,而PorterDuff.Mode.SRC_IN模式在两者相交的地方绘制源图像,并且绘制的效果会受到目标图像对应地方透明度的影响,看上图就知道了,代码如下:

    //圆形背景画笔
    private Paint circlePaint;
    //bitmap
    private Bitmap circleBitmap;
    //bitmap画布
    private Canvas bitmapCanvas;
    
      /**
     * 初始化一些画笔路径配置
     * @param context
     */
    private void  init(Context context){
        //.......
        //绘制圆形背景开始
        wavePaint = new Paint();
        //设置画笔为取交集模式
        wavePaint.setXfermode(new PorterDuffXfermode(PorterDuff.Mode.SRC_IN));
        //圆形背景初始化
        circlePaint = new Paint();
        //颜色
        circlePaint.setColor(Color.GRAY);
        //设置抗锯齿
        circlePaint.setAntiAlias(true);
        
    }
    
     @Override
    protected void onDraw(Canvas canvas){
        super.onDraw(canvas);

        Log.d("ssd",getWidth()+"");
        //这里用到了缓存 根据参数创建新位图
        circleBitmap = Bitmap.createBitmap(waveActualSize, waveActualSize, Bitmap.Config.ARGB_8888);
        //以该bitmap为低创建一块画布
        bitmapCanvas = new Canvas(circleBitmap);
        //绘制圆形 圆心 直径都是很简单得出
        bitmapCanvas.drawCircle(waveActualSize/2, waveActualSize/2, waveActualSize/2, circlePaint);
        //绘制波浪形
        bitmapCanvas.drawPath(paintWavePath(),wavePaint);
        //裁剪图片
        canvas.drawBitmap(circleBitmap, 0, 0, null);
        //绘制波浪线
      //  canvas.drawPath(paintWavePath(),wavePaint);

    }

实际效果如下图:

最初版一
简单的进度条终于出来了~下面继续完善,到这里你可能发现,颜色,大小什么的都在类中定死了,但实际中有很多属性都要在布局文件中设置的,同一个View在不同场景下状态可能是不一样的,所以为了提高扩展性,在res\vaules文件下添加attrs.xml文件,给CircleWaveProgressView添加自定义属性,如下:


    <!--这里的名字要和自定义的View名称一样,不然在xml布局中无法引用-->
    <declare-styleable name="CircleWaveProgressView">
        <!--波浪的颜色-->
        <attr name="wave_color" format="color"></attr>
        <!--圆形背景颜色-->
        <attr name="circlebg_color" format="color"></attr>
        <!--波浪长度-->
        <attr name="wave_length" format="dimension"></attr>
        <!--波浪高度-->
        <attr name="wave_height" format="dimension"></attr>
        <!--当前进度-->
        <attr name="currentProgress" format="float"></attr>
        <!--最大进度-->
        <attr name="maxProgress" format="float"></attr>
    </declare-styleable>

在自定义View为属性值赋值:

    //波浪颜色
    private int wave_color;
    //圆形背景进度框颜色
    private int circle_bgcolor;
    
    
    public CircleWaveProgressView(Context context, @Nullable AttributeSet attrs, int defStyleAttr) {
        super(context, attrs, defStyleAttr);
        //获取attrs文件下配置属性
        TypedArray typedArray = context.obtainStyledAttributes(attrs, R.styleable.CircleWaveProgressView);
        //获取波浪宽度 第二个参数,如果xml设置这个属性,则会取设置的默认值 也就是说xml没有指定wave_length这个属性,就会取Density.dip2px(context,25)
        waveLength = typedArray.getDimension(R.styleable.CircleWaveProgressView_wave_length,Density.dip2px(context,25));
        //获取波浪高度
        waveHeight = typedArray.getDimension(R.styleable.CircleWaveProgressView_wave_height,Density.dip2px(context,15));
        //获取波浪颜色
        wave_color = typedArray.getColor(R.styleable.CircleWaveProgressView_wave_color,Color.parseColor("#ff7c9e"));
        //圆形背景颜色
        circle_bgcolor = typedArray.getColor(R.styleable.CircleWaveProgressView_circlebg_color,Color.GRAY);
        //当前进度
        currentProgress = typedArray.getFloat(R.styleable.CircleWaveProgressView_currentProgress,50);
        //最大进度
        maxProgress = typedArray.getFloat(R.styleable.CircleWaveProgressView_maxProgress,100);
        //记得把TypedArray回收
        //程序在运行时维护了一个 TypedArray的池,程序调用时,会向该池中请求一个实例,用完之后,调用 recycle() 方法来释放该实例,从而使其可被其他模块复用。
        //那为什么要使用这种模式呢?答案也很简单,TypedArray的使用场景之一,就是上述的自定义View,会随着 Activity的每一次Create而Create,
        //因此,需要系统频繁的创建array,对内存和性能是一个不小的开销,如果不使用池模式,每次都让GC来回收,很可能就会造成OutOfMemory。
        //这就是使用池+单例模式的原因,这也就是为什么官方文档一再的强调:使用完之后一定 recycle,recycle,recycle
        typedArray.recycle();
        init(context);
    }
    
    /**
     * 初始化一些画笔路径配置
     * @param context
     */
    private void  init(Context context){
        //设置自定义View的宽高
        waveDefaultSize = Density.dip2px(context,250);
        //设置自定义View的最大宽高
        waveMaxHeight = Density.dip2px(context,300);

        wavePath = new Path();
        wavePaint = new Paint();
        //设置画笔为取交集模式
        wavePaint.setXfermode(new PorterDuffXfermode(PorterDuff.Mode.SRC_IN));
        //圆形背景初始化
        circlePaint = new Paint();
        //设置圆形背景颜色
        circlePaint.setColor(circle_bgcolor);
        //设置抗锯齿
        circlePaint.setAntiAlias(true);
        //设置波浪颜色
        wavePaint.setColor(wave_color);
        //设置抗锯齿
        wavePaint.setAntiAlias(true);
        //占比一开始设置为0
        currentPercent = 0;
        //进度条进度开始设置为0
        currentProgress = 0;
        //进度条的最大值设置为100
        maxProgress = 100;
        //动画实例化
        waveProgressAnimat = new WaveProgressAnimat();


下面就可以在布局文件自定义设置波浪颜色,高度,宽度以及圆形背景颜色:

<?xml version="1.0" encoding="utf-8"?>
<android.support.constraint.ConstraintLayout xmlns:android="http://schemas.android.com/apk/res/android"
    xmlns:app="http://schemas.android.com/apk/res-auto"
    xmlns:tools="http://schemas.android.com/tools"
    android:layout_width="match_parent"
    android:layout_height="match_parent"
    tools:context=".MainActivity">

    <com.android.quard.CircleWaveProgressView
        android:id="@+id/circle_progress"
        android:layout_width="wrap_content"
        android:layout_height="wrap_content"
        app:layout_constraintRight_toRightOf="parent"
        app:layout_constraintLeft_toLeftOf="parent"
        app:layout_constraintTop_toTopOf="parent"
        app:layout_constraintBottom_toBottomOf="parent"
        app:wave_color="@color/colorPrimaryDark"
        app:circlebg_color="@android:color/black"
        />

</android.support.constraint.ConstraintLayout>

效果图就不贴出来了。

绘制文字进度效果

下面要实现文字显示进度,进度条肯定缺不了具体数值的显示,最简单就是直接在View中实现绘制文字的操作,这种是很简单的,我之前实现自定义View都是将逻辑放在里面,这样就显得View很臃肿和扩展性不高,因为你想,假如我现在要改变字体位置和样式,那就需要在这个View去改去大动干戈。假如这个View能开放出处理文字接口的话,也就是后面修改文字样式只通过这个接口就可以了,这样就实现了文字和进度条这个View的解耦。

    //进度显示 TextView
    private TextView tv_progress;
    //进度条显示值监听接口
    private UpdateTextListener updateTextListener;
    
        //新建一个动画类
    public class WaveProgressAnimat extends Animation{


        //在绘制动画的过程中会反复的调用applyTransformation函数,
        // 每次调用参数interpolatedTime值都会变化,该参数从0渐 变为1,当该参数为1时表明动画结束
        @Override
        protected void applyTransformation(float interpolatedTime, Transformation t){
            super.applyTransformation(interpolatedTime, t);
            //波浪高度达到最高就不用循环,只需要平移
            if(currentPercent < currentProgress / maxProgress){
                currentPercent = interpolatedTime * currentProgress / maxProgress;
                //这里直接根据进度值显示
                tv_progress.setText(updateTextListener.updateText(interpolatedTime,currentProgress,maxProgress));
            }
            //左边的距离
            moveDistance = interpolatedTime * waveNumber * waveLength * 2;
            //重新绘制
            invalidate();

        }
    }
    
    //定义数值监听
    public interface UpdateTextListener{
        /**
         * 提供接口 给外部修改数值样式 等
         * @param interpolatedTime 这个值是动画的 从0变成1
         * @param currentProgress 进度条的数值
         * @param maxProgress 进度条的最大数值
         * @return
         */
        String updateText(float interpolatedTime,float currentProgress,float maxProgress);
    }
    //设置监听 
    public void setUpdateTextListener(UpdateTextListener updateTextListener){
        this.updateTextListener = updateTextListener;

    }

    /**
     *
     * 设置显示内容
     * @param tv_progress 内容 数值什么都可以
     *
     */
    public void setTextViewVaule(TextView tv_progress){
        this.tv_progress = tv_progress;

    }

然后在Activity文件实现CircleWaveProgressView.UpdateTextListener接口,进行逻辑处理:

public class MainActivity extends AppCompatActivity {

    private CircleWaveProgressView circleWaveProgressView;
    private TextView tv_value;

    @Override
    protected void onCreate(Bundle savedInstanceState) {
        super.onCreate(savedInstanceState);
        setContentView(R.layout.activity_main);

        //TextView控件
        tv_value = findViewById(R.id.tv_value);
        //进度条控件
        circleWaveProgressView = findViewById(R.id.circle_progress);
        //将TextView设置进度条里
        circleWaveProgressView.setTextViewVaule(tv_value);
        //设置字体数值显示监听
        circleWaveProgressView.setUpdateTextListener(new CircleWaveProgressView.UpdateTextListener() {
            @Override
            public String updateText(float interpolatedTime, float currentProgress, float maxProgress) {
                //取一位整数和并且保留两位小数
                DecimalFormat decimalFormat=new DecimalFormat("0.00");
                String text_value = decimalFormat.format(interpolatedTime * currentProgress / maxProgress * 100)+"%";
                //最终把格式好的内容(数值带进进度条)
                return text_value ;
            }
        });
        //设置进度和动画时间
        circleWaveProgressView.setProgress(50,2500);
    }
}

布局文件增加一个TextView:

<android.support.constraint.ConstraintLayout xmlns:android="http://schemas.android.com/apk/res/android"
    xmlns:app="http://schemas.android.com/apk/res-auto"
    xmlns:tools="http://schemas.android.com/tools"
    android:layout_width="match_parent"
    android:layout_height="match_parent"
    tools:context=".MainActivity">

    <com.android.quard.CircleWaveProgressView
        android:id="@+id/circle_progress"
        android:layout_width="wrap_content"
        android:layout_height="wrap_content"
        app:layout_constraintRight_toRightOf="parent"
        app:layout_constraintLeft_toLeftOf="parent"
        app:layout_constraintTop_toTopOf="parent"
        app:layout_constraintBottom_toBottomOf="parent"
        />

    <TextView
        android:id="@+id/tv_value"
        android:layout_width="wrap_content"
        android:layout_height="wrap_content"
        app:layout_constraintRight_toRightOf="parent"
        app:layout_constraintLeft_toLeftOf="parent"
        app:layout_constraintTop_toTopOf="parent"
        app:layout_constraintBottom_toBottomOf="parent"
        android:textColor="#ffffff"
        android:textSize="24dp"
        />


</android.support.constraint.ConstraintLayout>

最终效果如下图:

带进度显示的效果

绘制双波浪效果

要实现第二层波浪平移方向和第一层波浪平移方向相反,要改一下绘制顺序,。下图:

第二层波浪分析图
要从p1开始绘制,因为第二层是要右移,所以右边要绘制多一次波浪,像绘制第一层波浪一样,只不过这次是左边,代码如下:

    //是否绘制双波浪线
    private boolean isCanvasSecond_Wave;
    //第二层波浪的颜色
    private int second_WaveColor;
    //第二层波浪的画笔
    private Paint secondWavePaint;

attrs文件增加第二层波浪的颜色:

  <!--这里的名字要和自定义的View名称一样,不然在xml布局中无法引用-->
    <declare-styleable name="CircleWaveProgressView">
        <!--波浪的颜色-->
        <attr name="wave_color" format="color"></attr>
        <!--圆形背景颜色-->
        <attr name="circlebg_color" format="color"></attr>
        <!--波浪长度-->
        <attr name="wave_length" format="dimension"></attr>
        <!--波浪高度-->
        <attr name="wave_height" format="dimension"></attr>
        <!--当前进度-->
        <attr name="currentProgress" format="float"></attr>
        <!--最大进度-->
        <attr name="maxProgress" format="float"></attr>
        <!--第二层波浪的颜色-->
        <attr name="second_color" format="color"></attr>
    </declare-styleable>

类文件:

        //第二层波浪的颜色
        second_WaveColor = typedArray.getColor(R.styleable.CircleWaveProgressView_second_color,Color.RED);

init方法增加:

 //初始化第二层波浪画笔
        secondWavePaint = new Paint();
        secondWavePaint.setColor(second_WaveColor);
        secondWavePaint.setAntiAlias(true);
        //要覆盖在第一层波浪上,所以选SRC_ATOP模式,第二层波浪完全显示,并且第一层非交集部分显示。这个模式看上面的图像合成图文章就可以了解
        secondWavePaint.setXfermode(new PorterDuffXfermode(PorterDuff.Mode.SRC_ATOP));
        //初始状态不绘制第二层波浪
        isCanvasSecond_Wave = false;

onDraw方法增加:

@Override
    protected void onDraw(Canvas canvas){
        super.onDraw(canvas);

        Log.d("ssd",getWidth()+"");
        //这里用到了缓存 根据参数创建新位图
        circleBitmap = Bitmap.createBitmap(waveActualSize, waveActualSize, Bitmap.Config.ARGB_8888);
        //以该bitmap为低创建一块画布
        bitmapCanvas = new Canvas(circleBitmap);
        //绘制圆形 半径设小了一点,就是为了能让波浪填充完整个圆形背景
        bitmapCanvas.drawCircle(waveActualSize/2, waveActualSize/2, waveActualSize/2 - Density.dip2px(getContext(),8), circlePaint);
        //绘制波浪形
        bitmapCanvas.drawPath(paintWavePath(),wavePaint);
        //是否绘制第二层波浪
        if(isCanvasSecond_Wave){
            bitmapCanvas.drawPath(cavasSecondPath(),secondWavePaint);

        }
        //裁剪图片
        canvas.drawBitmap(circleBitmap, 0, 0, null);
        //绘制波浪线
      //  canvas.drawPath(paintWavePath(),wavePaint);

    }
    
        //是否绘制第二层波浪
    public void isSetCanvasSecondWave(boolean isCanvasSecond_Wave){
        this.isCanvasSecond_Wave = isCanvasSecond_Wave;
    }

    /**
     * 绘制第二层波浪方法
     * @return
     */
    private Path cavasSecondPath(){
        float secondWaveHeight = waveHeight;
        wavePath.reset();
        //移动到右上方,也就是p1点
        wavePath.moveTo(waveActualSize + moveDistance, (1 - currentPercent) * waveActualSize);
        //p1 - p0
        for(int i = 0; i < waveNumber * 2 ; i ++){
            wavePath.rQuadTo(-waveLength / 2,secondWaveHeight,-waveLength,0);
            wavePath.rQuadTo(-waveLength / 2,-secondWaveHeight,-waveLength,0);
        }
        //p0-p3 p3-p0d的高度随着进度变化而变化
        wavePath.lineTo(0, waveActualSize);
        //连接p3 - p2
        wavePath.lineTo(waveActualSize,waveActualSize);
        //连接p2 - p1
        wavePath.lineTo(waveActualSize,(1 - currentPercent) * waveActualSize);
        //封闭起来填充
        wavePath.close();
        return wavePath;

    }

最后在Activty文件设置:

        //是否绘制第二层波浪
        circleWaveProgressView.isSetCanvasSecondWave(true);

最终效果如下图:

最终效果图

总结

经过贝塞尔公式的推导和小例子实现,有了更深刻的印象。有很多东西看起来并不是那么触达,就好像当自己拿到一个开发需求时,技术评估发现会用到自己没有之前没有用到的技术,这时候就要多去参照别人实现的思路和方法,或者厚着脸皮问技术牛的人,学到了就是自己的,多付出就努力变得容易。

例子源码