什么是虚拟dom?
这就要从react如何渲染出页面开始 通常情况下的步骤是这样
- 获取state数据
- JSX模板
- state+JSX模板结合,生成真实dom并显示
这个是在state不发生变化的情况下,(state或者prop发生变化都会调用render函数,重新渲染页面)
state数据变化时,通常理解下应该是下面的步骤
- 获取state数据
- JSX模板
- state数据+JSX模板结合,生成真实dom并显示
- state数据发生变化
- 新的state数据+JSX模板结合,生成真实dom并显示
这样可以实现,但是非常消耗性能,因为会渲染两次dom树,所以react就采用一种虚拟dom的方法来进行dom更新。
JSX转成dom流程
用JSX语法时,渲染dom的流程:JSX——JS dom描述对象——真实dom
具体步骤:
- 获取state数据
- JSX模板
- 生成虚拟dom(虚拟dom就是一个JS对象,里面包含了对真实dom的描述
['div',{id:'a'},['span',{},'hello']]
- 用虚拟dom解构,生成真实dom并显示
<div id='a'><span>hello</span></div>
- state数据发生变化(比如hello变成了hi)
- 生成新的虚拟dom
['div',{id:'a'},['span',{},'hi']]
- 比较原始虚拟dom和新的虚拟dom的区别,找出区别是span里的内容
- 直接操作dom,只改变span里的内容
虚拟dom的好处
- 性能提升,dom比对变成js对象比对
- 使得跨端应用得以实现(react native)
在浏览器中可以用虚拟dom生成真实dom显示,在原生应用中也可以用虚拟dom生成对应的方式来显示页面
虚拟dom中的diff算法
在上面我们介绍了react中state变化时,dom是如何发生变化的,在第七步中比较原始虚拟dom和新的虚拟dom的区别采用的方法,就是diff算法(diffrence)
虚拟dom在什么时候会发生比对?没错,数据发生变化时,也就是调用setState时
react的虚拟dom其实是同级比较的

- 红色原始虚拟dom和新的虚拟dom,没有变化,保持不变,往下继续比对
- 蓝色原始虚拟dom和新的虚拟dom,没有变化,保持不变,往下继续比对
- 绿色原始虚拟dom和新的虚拟dom,没有变化,保持不变,往下继续比对,浅蓝色原始虚拟dom和新的虚拟dom,没有变化,保持不变,往下继续比对
但凡在上面哪一步骤出现不同,就不再继续比对,而是删除下面的全部节点,采用新的虚拟dom(例如:如果红色框的原始虚拟dom和新的虚拟dom不一致,那么就不在进行比对,采用新的虚拟dom来生成dom)
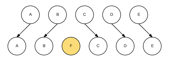
key的作用
react利用key来识别组件,它是一种身份标识标识,来提高虚拟dom的比对速度看下面

如果我们没有key值,那我们就需要A比对一遍,B对比一遍,以此类推很好性能,而有了key,就像下面的图一样,我们很快就知道只有f与之前不同,提高了列表渲染的性能
