首页
沸点
课程
数据标注
HOT
AI Coding
更多
直播
活动
APP
插件
直播
活动
APP
插件
搜索历史
清空
创作者中心
写文章
发沸点
写笔记
写代码
草稿箱
创作灵感
查看更多
登录
注册
【课程】渐进函数笔记
VV不想说话64061
2019-01-18
125
阅读1分钟
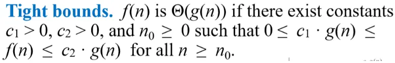
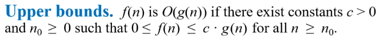
1.复杂度
定义:
VV不想说话64061
研二在读 @ECNU
44
文章
94k
阅读
36
粉丝
目录
收起