Spark 基于物品的协同过滤算法实现

806 阅读4分钟


  J由于 Spark MLlib 中协同过滤算法只提供了基于模型的协同过滤算法,在网上也没有找到有很好的实现,所以尝试自己实现基于物品的协同过滤算法(使用余弦相似度距离)

  算法介绍

  基于物品的协同过滤算法是目前业界应用最多的算法,亚马逊网、Netflix、Hulu、YouTube 都使用该算法作为推荐系统的基础算法。算法核心思想是根据用户对物品的历史行为记录,先计算物品之间的相似度,得到与物品最相似的 TopN 个物品,再利用用户对物品的历史行为,将用户访问过的物品的相似物品推荐给用户。也就是说,算法分为 2 步:

  计算物品之间的相似度

  为用户生成推荐列表

  计算物品之间的相似度

  计算物品的相似度有很多种算法,如余弦相似度、皮尔森相关度、欧式距离相似度、Tanimoto系数等,这里我们使用的是余弦相似度。

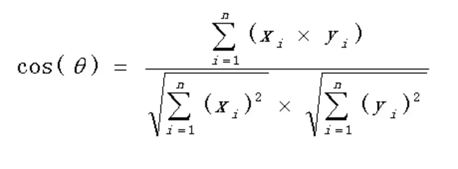
  假设有向量A(x1,x2,...xn)和向量B(y1,y2,...yn),A、B 之间的余弦相似度为:

  


  余弦相似度公式

  如果物品少这样计算没关系,但设想如有 100W 的物品,需要计算物品间的两两相似度,计算量大概是 100W x 100W,基本无法计算。

  虽然物品很多,但并不是每两个物品都有被相同的用户访问过, 也就是说,很多物品直接余弦相似度等于0,为了避免这些计算,我们引入倒排表来解决这一问题。

  假设有物品 Item1、Item2、Item3、Item4,用户 U1、U2、U3、U4:

  Item1 被 U1、U2 访问,偏好分分别是2、3,转化为向量是(2,3,0,0)

  Item2 被 U3、U4 访问,偏好分分别是1、4,转化为向量是(0,0,1,4)

  Item3 被 U2,U3 访问,偏好分分别是2、2,转化为向量是(0,2,2,0)

  Item4 只被 U3 访问,用户对其的偏好分是5,转化为向量是(0,0,5,0)

  先计算每个 Item 的模,即上图余弦相似度公式中的分母部分,缓存

  | Item1 | = √(22 + 32) = √13

  | Item2 | = √17

  | Item3 | = √8

  | Item4 | = 5

  转化为用户访问物品关系,将相同用户访问过的 Item 列出,即:

  U1:Item1(2)

  U2:Item1(3),Item3(2)

  U3:Item2(1),Item3(2),Item4(5)

  U4:Item2(5)

  针对同一用户,计算两两物品之间的相似度,输出物品对,分数,即:

  U1:输出空

  U2:输出 (Item1, Item3), 3x2=6

  U3:输出 (Item2, Item3), 2,(Item2, Item4), 5,(Item3, Item4), 10

  U4:输出空

  注意:可以将所有物品对 id 小的放前面,以减少后面一半的计算量

  将物品对作为 key 聚合,将分数相加,得到每个物品对的分数和,即上图余弦相似度公式中的分子部分。再从缓存中取出分母部分相除,即两两物品的相似度。如 Item2 和 Item4 的余弦相似度=5/(√17 x 5) = 1/√17

  如果要取物品的 TopK 相似的物品,可将得到的两两相似度结果(其实是半个相似度矩阵)扩展,然后按 key 聚合取 TopK 个。另外,实践表明针对同一物品,如果将相似度进行归一化 similaryi/similarymax 有助于提高最终推荐结果的精度。

  为用户生成推荐列表

  现在已经有每个物品的 TopK 个相似的物品信息,结合用户对物品的访问情况,将用户访问过的每个物品的相似物品取出,按相似度加权,排除已经访问过的物品,就可以得到用户的推荐列表,具体计算步骤如下:

  将物品,相似物品列表 与 物品,访问过该物品的用户列表 join,得到物品,(相似物品列表,访问过该物品的用户列表)

  交叉遍历相似物品列表和访问过该物品的用户列表,得到很多 用户,(物品,分数)

  按用户聚合,将相同物品的分数相加,按分数排序,取 TopK,即该用户的推荐列表