数字图像处理:直方图均衡化

1,643 阅读2分钟

首先在直方图的修整,有两种方法,一种是直方图均衡化,另外一种是直方图规定化,用起来的话第一种方法用的比较多,这里着重说一下第一种:直方图均衡化.

我们引入直方图,很大程度上是可以根据直方图的形态来去判断图像的质量,比如根据下图所示,会很快发现一张图片是过亮还是过暗,这篇文章会说一下直方图均衡化的原理,至于实现,以后有机会再说吧.



1.直方图均衡化

直方图均衡化是将原图像通过某种变换,得到一幅灰度直方图为均匀分布的新图像的方法。

直方图均衡化方法的基本思想是对在图像中像素个数多的灰度级进行展宽,而对像素个数少的灰度级进行缩减。从而达到清晰图像的目的。





一些理论的东西我们不谈,直接用一个例子来说一下,会更容易理解:



假设有一幅图像,共有64×64个像素,8个灰度级,各灰度级概率分布见下表 ,试将其直方图均匀化。


解题步骤:

1:确定图像的灰度级

在实际情况下,如果我们的图像是彩色,需要将其转换为灰度图像,其中的灰度级一般是0-255,这个题的灰度级只有8级,需要注意下

2:计算原始直方图的概率

统计每一个灰度在原始图像上的像素所占总体的比例,记为Pi

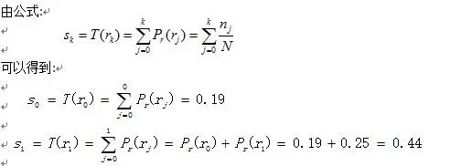
3:计算直方图概率的累加值S(i)


直到最后一个灰度级,总和为1

4: 根据公式求取像素映射关系.


这里的pix是指的灰度级,也就是(最大灰度级-最小灰度级)*累加概率+0.5后取整数

5: 灰度映射



找到了原图像和均衡化图像灰度的对应关系,对原图进行操作,将每个像素映射成新的像素

此时图像均衡化已经完成,当然你也可以再次统计灰度概率,观察一下结果。