本文是对 Swift Algorithm Club 翻译的一篇文章。
Swift Algorithm Club是 raywenderlich.com网站出品的用Swift实现算法和数据结构的开源项目,目前在GitHub上有18000+⭐️,我初略统计了一下,大概有一百左右个的算法和数据结构,基本上常见的都包含了,是iOSer学习算法和数据结构不错的资源。
🐙andyRon/swift-algorithm-club-cn是我对Swift Algorithm Club,边学习边翻译的项目。由于能力有限,如发现错误或翻译不妥,请指正,欢迎pull request。也欢迎有兴趣、有时间的小伙伴一起参与翻译和学习🤓。当然也欢迎加⭐️,🤩🤩🤩🤨🤪。
本文的翻译原文和代码可以查看🐙swift-algorithm-club-cn/Heap Sort
堆排序(Heap Sort)
使用堆将数组从低到高排序。( 译注: 也可以从高到低排序)
堆是一个部分排序的二叉树,存储在数组中。 堆排序算法利用堆的结构来执行快速排序。
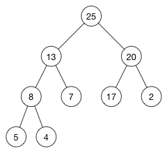
要从最低到最高排序,堆排序首先将未排序的数组转换为max-heap,让数组中的第一个元素是最大的。
假设,需要排序的数组为:
[ 5, 13, 2, 25, 7, 17, 20, 8, 4 ]
首先变成了一个如下所示的max-heap:

这个堆的数组是:
[ 25, 13, 20, 8, 7, 17, 2, 5, 4 ]
这几乎不是想要的从低到高排序!
现在开始排序:我们将第一个元素(索引0)与索引n-1的最后一个元素交换,得到:
[ 4, 13, 20, 8, 7, 17, 2, 5, 25 ]
* *
现在新的根节点4小于其子节点,因此我们使用shift down或“堆化(heapify)”将0到n-2元素修复成max-heap。 修复堆后,新的根节点现在是数组中的第二大项:
[20, 13, 17, 8, 7, 4, 2, 5 | 25]
重要提示:当我们修复堆时,我们忽略索引为n-1的最后一项。 最后一项是数组中的最大值,因此它已经在最终排序的位置了。 |栏表示数组的已排序部分的开始位置。 从现在开始,我们将单独除了数组余下的部分(|前面的部分)。
同样,我们将第一个元素与最后一个元素交换(这次是在索引n-2):
[5, 13, 17, 8, 7, 4, 2, 20 | 25]
* *
并修复堆以使其再次成为有效的max-heap:
[17, 13, 5, 8, 7, 4, 2 | 20, 25]
正如您所看到的,最大项正在向后移动。 我们重复这个过程,直到到达根节点,也就对整个数组进行了排序。
注意: 此过程与选择排序 非常相似,它重复查找数组其余部分中的最小项。 提取最小值或最大值是堆擅长做的。
堆排序的性能最佳,最差和平均情况下都是O(n lg n)。 因为我们直接修改数组,所以可以就地执行堆排序。 但它不是一个稳定的类型:不保留相同元素的相对顺序。
以下是在Swift中实现堆排序的方法:
extension Heap {
public mutating func sort() -> [T] {
for i in stride(from: (elements.count - 1), through: 1, by: -1) {
swap(&elements[0], &elements[i])
shiftDown(0, heapSize: i)
}
return elements
}
}
为堆实现添加了一个sort()函数。 这个函数的使用方式:
var h1 = Heap(array: [5, 13, 2, 25, 7, 17, 20, 8, 4], sort: >)
let a1 = h1.sort()
因为我们需要一个max-heap来从低到高排序,你需要给Heap提供sort函数的反向排序。 要对<进行排序,必须使用>作为sort函数创建Heap对象。 换句话说,从低到高的排序会创建一个max-heap并将其转换为min-heap( 译注: 这边的意思就是排完序以后就变成了一个从小到大的特殊的min-heap)。
我们可以为此编写一个方便的辅助函数:
public func heapsort<T>(_ a: [T], _ sort: @escaping (T, T) -> Bool) -> [T] {
let reverseOrder = { i1, i2 in sort(i2, i1) }
var h = Heap(array: a, sort: reverseOrder)
return h.sort()
}
使用方式:
let a2 = heapsort([5, 13, 2, 25, 7, 17, 20, 8, 4], <)
print(a2)