1.线性回归算法简介

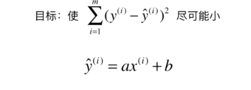
线性回归算法以一个坐标系里一个维度为结果,其他维度为特征(如二维平面坐标系中横轴为特征,纵轴为结果),无数的训练集放在坐标系中,发现他们是围绕着一条执行分布。线性回归算法的期望,就是寻找一条直线,最大程度的“拟合”样本特征和样本输出标记的关系

样本特征只有一个的线性回归问题,为简单线性回归,如房屋价格-房屋面积
将横坐标作为x轴,纵坐标作为y轴,每一个点为(X(i) ,y(i)),那么我们期望寻找的直线就是y=ax+b,当给出一个新的点x(j)的时候,我们希望预测的y^(j)=ax(j)+b

- 不使用直接相减的方式,由于差值有正有负,会抵消
- 不适用绝对值的方式,由于绝对值函数存在不可导的点


通过上面的推导,我们可以归纳出一类机器学习算法的基本思路,如下图;其中损失函数是计算期望值和预测值的差值,期望其差值(也就是损失)越来越小,而效用函数则是描述拟合度,期望契合度越来越好


2.简单线性回归的实现
2.1 for循环方式实现
-
实现
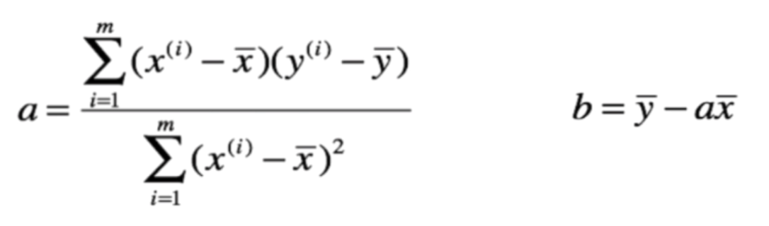
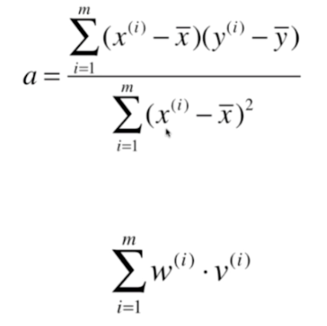
a,b公式

class SimpleLinearRegression1:
def __init__(self):
"""初始化Simple Linear Regression 模型"""
self.a_ = None
self.b_ = None
def fit(self, x_train, y_train):
"""根据训练集x_train,y_train 训练Simple Linear Regression 模型"""
assert x_train.ndim == 1,\
"Simple Linear Regression can only solve simple feature training data"
assert len(x_train) == len(y_train),\
"the size of x_train must be equal to the size of y_train"
# 求均值
x_mean = x_train.mean()
y_mean = y_train.mean()
# 分子
num = 0.0
# 分母
d = 0.0
# 计算分子分母
for x_i, y_i in zip(x_train, y_train):
num += (x_i-x_mean)*(y_i-y_mean)
d += (x_i-x_mean) ** 2
# 计算参数a和b
self.a_ = num/d
self.b_ = y_mean - self.a_ * x_mean
return self
def predict(self, x_predict):
"""给定待预测集x_predict,返回x_predict对应的预测结果值"""
assert x_predict.ndim == 1,\
"Simple Linear Regression can only solve simple feature training data"
assert self.a_ is not None and self.b_ is not None,\
"must fit before predict!"
return np.array([self._predict(x) for x in x_predict])
def _predict(self, x_single):
"""给定单个待预测数据x_single,返回x_single对应的预测结果值"""
return self.a_*x_single+self.b_
def __repr__(self):
return "SimpleLinearRegression1()"
-
测试
import numpy as np
import matplotlib.pyplot as plt
简单自定义一个训练集并描绘
x = np.array([1.,2.,3.,4.,5.])
y = np.array([1.,3.,2.,3.,5.])
plt.scatter(x,y)
plt.axis([0,6,0,6])
[0, 6, 0, 6]

使用我们自己的SimpleLinearRegression1
from machine_learning.SimpleLinearRegression1 import SimpleLinearRegression1
reg1 = SimpleLinearRegression1()
reg1.fit(x,y)
# 输出 SimpleLinearRegression1()
y_predict = reg1.predict(np.array([6.]))
y_predict
# 输出 array([5.2])
reg1.a_
# 0.8
reg1.b_
# 0.39999999999999947
y_hat = reg1.predict(x)
plt.scatter(x,y)
plt.plot(x,y_hat,color='r')
plt.axis([0,6,0,6])

2.2 向量化


向量化改进num,d的计算方法
# 使用向量化点乘计算分子和分母
num = (x_train-x_mean).dot(y_train-y_mean)
d = (x_train-x_mean).dot(x_train-x_mean)
向量化实现的性能测试
m = 1000000
big_x = np.random.random(size=m)
big_y = big_x * 2.0 + 3.0 + np.random.normal(size=m)
%timeit reg1.fit(big_x,big_y)
%timeit reg2.fit(big_x,big_y)
# 输出
826 ms ± 6.93 ms per loop (mean ± std. dev. of 7 runs, 1 loop each)
11.3 ms ± 84.6 µs per loop (mean ± std. dev. of 7 runs, 100 loops each)
可以看出,向量化的运行速度比循环的形式速度要快80倍
3.衡量线性回归算法的指标
3.1 衡量标准




3.2 MSE,RMSE,MAE的实现
def mean_squared_error(y_true, y_predict):
"""计算y_true和y_predict之间的MSE"""
assert len(y_true) == len(y_predict), \
"the size of y_true must be equal to the size of y_predict"
return np.sum((y_true - y_predict)**2) / len(y_true)
def root_mean_squared_error(y_true, y_predict):
"""计算y_true和y_predict之间的RMSE"""
return sqrt(mean_squared_error(y_true, y_predict))
def mean_absolute_error(y_true, y_predict):
"""计算y_true和y_predict之间的RMSE"""
assert len(y_true) == len(y_predict), \
"the size of y_true must be equal to the size of y_predict"
return np.sum(np.absolute(y_true - y_predict)) / len(y_true)
3.3 调用sikit learn 的实现
from sklearn.metrics import mean_squared_error
from sklearn.metrics import mean_absolute_error
mean_squared_error(y_test,y_predict)
4.最好的衡量线性回归法的指标 R Squared
RMSE 和 MAE的局限性

4.1 解决办法-R Squared简介

4.1.1 R Squared 意义



4.1.2 实现
def r2_score(y_true, y_predict):
"""计算y_true和y_predict之间的R Square"""
return 1 - mean_squared_error(y_true, y_predict)/np.var(y_true)
sikit learn
from sklearn.metrics import r2_score
r2_score(y_test,y_predict)
将计算分数方法封装到我们的SimpleLinearRegression中
from .metrics import r2_score
def score(self, x_test, y_test):
"""根据测试数据集 x_test 和 y_test 确定当前模型的准确度"""
y_predict = self.predict(x_test)
return r2_score(y_test, y_predict)
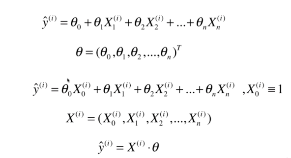
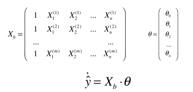
5.多元线性回归
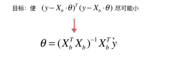
5.1 多元线性回归简介和正规方程解




补充(矩阵点乘:A(m行)·B(n列) = A的每一行与B的每一列相乘再相加,等到结果是m行n列的)



4.2 多元线性回归实现

import numpy as np
from .metrics import r2_score
class LinearRegression:
def __init__(self):
"""初始化Linear Regression模型"""
# 系数向量(θ1,θ2,.....θn)
self.coef_ = None
# 截距 (θ0)
self.interception_ = None
# θ向量
self._theta = None
def fit_normal(self, X_train, y_train):
"""根据训练数据集X_train,y_train 训练Linear Regression模型"""
assert X_train.shape[0] == y_train.shape[0], \
"the size of X_train must be equal to the size of y_train"
# np.ones((len(X_train), 1)) 构造一个和X_train 同样行数的,只有一列的全是1的矩阵
# np.hstack 拼接矩阵
X_b = np.hstack([np.ones((len(X_train), 1)), X_train])
# X_b.T 获取矩阵的转置
# np.linalg.inv() 获取矩阵的逆
# dot() 矩阵点乘
self._theta = np.linalg.inv(X_b.T.dot(X_b)).dot(X_b.T).dot(y_train)
self.interception_ = self._theta[0]
self.coef_ = self._theta[1:]
return self
def predict(self, X_predict):
"""给定待预测数据集X_predict,返回表示X_predict的结果向量"""
assert self.coef_ is not None and self.interception_ is not None,\
"must fit before predict"
assert X_predict.shape[1] == len(self.coef_),\
"the feature number of X_predict must be equal to X_train"
X_b = np.hstack([np.ones((len(X_predict), 1)), X_predict])
return X_b.dot(self._theta)
def score(self, X_test, y_test):
"""根据测试数据集 X_test 和 y_test 确定当前模型的准确度"""
y_predict = self.predict(X_test)
return r2_score(y_test, y_predict)
def __repr__(self):
return "LinearRegression()"
预测波士顿房价的测试
import numpy as np
import matplotlib.pyplot as plot
from sklearn import datasets
# 加载波士顿房价数据
boston = datasets.load_boston()
X = boston.data
y = boston.target
X = X[y<50.0]
y = y[y<50.0]
# 分割训练集和测试集
from machine_learning.module_selection import train_test_split
X_train,X_test,y_train,y_test = train_test_split(X,y,seed=666)
# 训练模型
from machine_learning.LinearRegression import LinearRegression
reg = LinearRegression()
reg.fit_normal(X_train,y_train)
# 输出 LinearRegression()
# 结果
reg.coef_
# 输出 array([-1.18919477e-01, 3.63991462e-02, -3.56494193e-02, 5.66737830e-02,
-1.16195486e+01, 3.42022185e+00, -2.31470282e-02, -1.19509560e+00,
2.59339091e-01, -1.40112724e-02, -8.36521175e-01, 7.92283639e-03,
-3.81966137e-01])
reg.interception_
# 输出 34.16143549621706
reg.score(X_test,y_test)
# 输出 0.812980260265849
4.3 scikit-learn中的回归问题
scikit-learn 中的线性回归
from sklearn.model_selection import train_test_split
X_train,X_test,y_train,y_test = train_test_split(X,y,random_state=666)
from sklearn.linear_model import LinearRegression
lin_reg = LinearRegression()
lin_reg.fit(X_train,y_train)
LinearRegression(copy_X=True, fit_intercept=True, n_jobs=1, normalize=False)
lin_reg.coef_
array([-1.14235739e-01, 3.12783163e-02, -4.30926281e-02, -9.16425531e-02,
-1.09940036e+01, 3.49155727e+00, -1.40778005e-02, -1.06270960e+00,
2.45307516e-01, -1.23179738e-02, -8.80618320e-01, 8.43243544e-03,
-3.99667727e-01])
# 由于训练数据集和测试数据集的分割和我们的稍有不同,所以结果会略有不同
lin_reg.intercept_
32.64566083965224
lin_reg.score(X_test,y_test)
0.8008916199519077
kNN Regressor 实现线性回归
from sklearn.neighbors import KNeighborsRegressor
knn_reg = KNeighborsRegressor()
knn_reg.fit(X_train,y_train)
knn_reg.score(X_test,y_test)
0.602674505080953
# 网格搜索超参数
from sklearn.model_selection import GridSearchCV
param_grid = [
{
"weights" : ["uniform"],
"n_neighbors":[i for i in range(1,11)]
},
{
"weights" : ["distance"],
"n_neighbors":[i for i in range(1,11)],
"p":[i for i in range(1,6)]
}
]
knn_reg = KNeighborsRegressor()
grid_search = GridSearchCV(knn_reg,param_grid,n_jobs=-1,verbose=1)
grid_search.fit(X_train,y_train)
Fitting 3 folds for each of 60 candidates, totalling 180 fits
[Parallel(n_jobs=-1)]: Done 180 out of 180 | elapsed: 0.5s finished
GridSearchCV(cv=None, error_score='raise',
estimator=KNeighborsRegressor(algorithm='auto', leaf_size=30, metric='minkowski',
metric_params=None, n_jobs=1, n_neighbors=5, p=2,
weights='uniform'),
fit_params=None, iid=True, n_jobs=-1,
param_grid=[{'weights': ['uniform'], 'n_neighbors': [1, 2, 3, 4, 5, 6, 7, 8, 9, 10]}, {'weights': ['distance'], 'n_neighbors': [1, 2, 3, 4, 5, 6, 7, 8, 9, 10], 'p': [1, 2, 3, 4, 5]}],
pre_dispatch='2*n_jobs', refit=True, return_train_score='warn',
scoring=None, verbose=1)
grid_search.best_params_
{'n_neighbors': 6, 'p': 1, 'weights': 'distance'}
# 运用了CV交叉验证的方式
grid_search.best_score_
0.6060327991735741
grid_search.best_estimator_.score(X_test,y_test)
0.7354244906092771
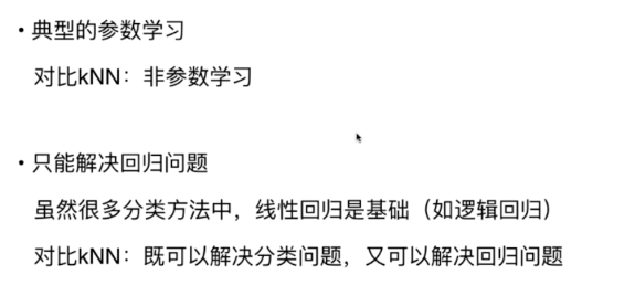
6 线性回归的可解性和更多思考
可解释下
lin_reg = LinearRegression()
lin_reg.fit(X,y)
lin_reg.coef_
# 输出:array([-1.05574295e-01, 3.52748549e-02, -4.35179251e-02, 4.55405227e-01,
-1.24268073e+01, 3.75411229e+00, -2.36116881e-02, -1.21088069e+00,
2.50740082e-01, -1.37702943e-02, -8.38888137e-01, 7.93577159e-03,
-3.50952134e-01])
# 将特征结果坐标排序
np.argsort(lin_reg.coef_)
# 输出:array([ 4, 7, 10, 12, 0, 2, 6, 9, 11, 1, 8, 3, 5])
# 将排序过后的坐标对应的名称展示出来,方便观察理解
boston.feature_names[np.argsort(lin_reg.coef_)]
# 输出:array(['NOX', 'DIS', 'PTRATIO', 'LSTAT', 'CRIM', 'INDUS', 'AGE', 'TAX',
'B', 'ZN', 'RAD', 'CHAS', 'RM'], dtype='<U7')
RM对应的是房间数,是正相关最大的特征,也就是说房间数越多,房价越高,这是很合理的 NOX对应的是一氧化氮浓度,也就是说一氧化氮浓度越低,房价越低,这也是非常合理的 由此说明,我们的线性回归具有可解释性,我们可以在对研究一个模型的时候,可以先用线性回归模型看一下,然后根据感性的认识去直观的判断一下是否符合我们的语气
6.2 总结



