1. 梯度下降法简介

在直线方程中,导数代表斜率 在曲线方程中,导数代表切线斜率 导数代表theta单位变化时,J相应的变化




其他注意事项
- 并不是所有函数都有唯一的极值点
解决方案:
- 多次运行,随机化初始点
- 梯度下降法的初始点也是一个超参数

2 梯度下降法模拟
2.1 实现
import numpy as np
import matplotlib.pyplot as plt
# 简单模拟一个损失函数
plot_x = np.linspace(-1,6,141)
plot_y = (plot_x-2.5)**2-1
# 绘制我们模拟的损失函数
plt.plot(plot_x,plot_y)

def dJ(theta):
"""损失函数的导数"""
return 2*(theta-2.5)
def J(theta):
"""损失函数"""
try:
return (theta-2.5)**2-1
except:
return float('inf')
def gradient_descent(initial_theta,eta,n_iters = 1e4,epsilon=1e-8):
"""
梯度下降法封装
initial_theta:初始化的theta值
eta:学习率η
n_iters: 最大循环次数
epsilon: 精度
"""
theta = initial_theta
# theta_history 保存theta的变化值
theta_history.append(initial_theta)
i_iters = 0
while i_iters<n_iters:
"""
如果theta两次变化之间的损失函数值的变化小于我们定义的精度
则可以说明我们已经找到了最低的损失函数值和对应的theta
如果循环次数超过了我们设置的循环次数,
则说明可能由于η设置的过大导致无止境的循环
"""
gradient = dJ(theta)
last_theta = theta
theta = theta - eta * gradient
theta_history.append(theta)
if (abs(J(theta)-J(last_theta)) < epsilon):
break
i_iters += 1
def plot_theta_history():
plt.plot(plot_x,J(plot_x))
plt.plot(np.array(theta_history),J(np.array(theta_history)),color='r',marker='+')
print("the size of theta_history is %d"%len(theta_history))
2.2 使用不同η学习率测试并观察我们的梯度下降法的结果
eta = 0.1
theta_history = []
gradient_descent(0.,eta)
plot_theta_history()

eta = 0.01
theta_history = []
gradient_descent(0.,eta)
plot_theta_history()

eta = 0.001
theta_history = []
gradient_descent(0.,eta)
plot_theta_history()

eta = 0.8
theta_history = []
gradient_descent(0.,eta)
plot_theta_history()

eta = 1.1
theta_history = []
gradient_descent(0.,eta)
# 数据量太大会报错
# plot_theta_history()
print(len(theta_history))
# 输出10001
theta_history[-1]
# 输出 nan(not a number)
可以看出当我们的eta取1.1,函数会循环直至终止,这是由于,我们的η设置过大,导致每次循环过后,损失函数j的值都向大的方向变化
eta = 1.1
theta_history = []
gradient_descent(0.,eta,n_iters = 10)
plot_theta_history()

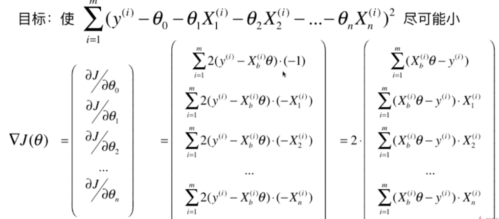
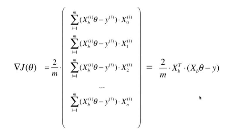
3 多元线性回归中的梯度下降法

一个三维空间中的梯度下降法(x,y为系数,z为损失函数)

推导过程


上面推导出的式子的大小是和样本数有关的,m越大,结果越大,这是不合理的,我们希望和m无关






4 线性回归中的梯度下降法的实现
4.1 比较笨的方法实现
def fit_gd(self, X_train, y_train, eta=0.01, n_iters = 1e4):
"""根据训练数据集X_train,y_train, 使用梯度下降法训练Linear Regression 模型"""
assert X_train.shape[0] == y_train.shape[0], \
"the size of X_train must be equal to the size of y_train"
def J(theta, X_b, y):
try:
return np.sum((y - X_b.dot(theta))**2) / len(X_b)
except:
return float('inf')
def dJ(theta, X_b, y):
res = np.empty(len(theta))
res[0] = np.sum(X_b.dot(theta) - y)
for i in range(1, len(theta)):
res[i] = np.sum((X_b.dot(theta) - y).dot(X_b[:, i]))
return res * 2 / len(X_b)
def gradient_descent(X_b, y, initial_theta, eta, n_iters=n_iters, epsilon=1e-8):
"""
梯度下降法封装
X_b: X特征矩阵
y: 结果向量
initial_theta:初始化的theta值
eta:学习率η
n_iters: 最大循环次数
epsilon: 精度
"""
theta = initial_theta
i_iters = 0
while i_iters < n_iters:
"""
如果theta两次变化之间的损失函数值的变化小于我们定义的精度
则可以说明我们已经找到了最低的损失函数值和对应的theta
如果循环次数超过了我们设置的循环次数,
则说明可能由于η设置的过大导致无止境的循环
"""
gradient = dJ(theta, X_b, y)
last_theta = theta
theta = theta - eta * gradient
if abs(J(theta, X_b, y) - J(last_theta, X_b, y)) < epsilon:
break
i_iters += 1
return theta
X_b = np.hstack([np.ones((len(X_train), 1)), X_train])
initial_theta = np.zeros(X_b.shape[1])
self._theta = gradient_descent(X_b, y_train, initial_theta, eta)
self.interception_ = self._theta[0]
self.coef_ = self._theta[1:]
return self
4.2 测试我们的算法
import numpy as np
import matplotlib.pyplot as plt
np.random.seed(666)
x = 2*np.random.random(size = 100)
# 定义截距为4 斜率为3
y = x * 3. + 4. + np.random.normal(size=100)
X = x.reshape(-1,1)
plt.scatter(x,y)

from machine_learning.LinearRegression import LinearRegression
lin_reg = LinearRegression()
lin_reg.fit_gd(X,y)
lin_reg.interception_
# 4.021457858204859
lin_reg.coef_
# array([3.00706277])
4.3 向量化



修改之前的求导函数
def dJ(theta, X_b, y):
# res = np.empty(len(theta))
# res[0] = np.sum(X_b.dot(theta) - y)
#
# for i in range(1, len(theta)):
# res[i] = np.sum((X_b.dot(theta) - y).dot(X_b[:, i]))
#
# return res * 2 / len(X_b)
return X_b.T.dot(X_b.dot(theta) - y) * 2. / len(X_b)
使用真实的数据测试

4.4 数据归一化



如果样本数非常多,那么即使使用梯度下降法也会导致速度比较慢,因为在梯度下降法中,每一个样本都要参与运算。这时候需要采用随机梯度下降法,我们将在下一小节进行介绍
5 随机梯度下降法
5.1 随机梯度下降法介绍





5.2 随机梯度下降法实现
def dJ_sgd(theta,X_b_i,y_i):
return X_b_i.T.dot(X_b_i.dot(theta) - y_i) * 2
def sgd(X_b,y,initial_theta,n_iters):
t0 = 5
t1 = 50
def learning_rate(t):
return t0 / (t + t1)
theta = initial_theta
for cur_iter in range(n_iters):
rand_i = np.random.randint(len(X_b))
gradient = dJ_sgd(theta,X_b[rand_i],y[rand_i])
theta = theta - learning_rate(cur_iter) * gradient
return theta
%%time
eta = 0.01
X_b = np.hstack([np.ones((len(X), 1)), X])
initial_theta = np.zeros(X_b.shape[1])
# 随机的检查了3分之一个样本总量的样本
_theta = sgd(X_b, y, initial_theta, n_iters=len(X_b)//3)
# 输出 CPU times: user 318 ms, sys: 5.22 ms, total: 323 ms
# Wall time: 337 ms
# _theta: array([3.03182269, 3.93118623])
5.3 随机梯度下降法的封装和测试
def fit_sgd(self, X_train, y_train, n_iters=5, t0=5, t1=50):
"""
根据训练数据集X_train, y_train, 使用随机梯度下降法训练Linear Regression模型
:param X_train:
:param y_train:
:param n_iters: 在随机梯度下降法中,n_iters代表所有的样本会被看几圈
:param t0:
:param t1:
:return:
"""
assert X_train.shape[0] == y_train.shape[0], \
"the size of X_train must be equal to the size of y_train"
assert n_iters >= 1
def dJ_sgd(theta, X_b_i, y_i):
"""
去X_b,y 中的随机一个元素进行导数公式的计算
:param theta:
:param X_b_i:
:param y_i:
:return:
"""
return X_b_i * (X_b_i.dot(theta) - y_i) * 2.
def sgd(X_b, y, initial_theta, n_iters, t0=5, t1=50):
def learning_rate(t):
"""
计算学习率,t1 为了减慢变化速度,t0为了增加随机性
:param t: 第t次循环
:return:
"""
return t0 / (t + t1)
theta = initial_theta
m = len(X_b)
for cur_iter in range(n_iters):
# 对X_b进行一个乱序的排序
indexes = np.random.permutation(m)
X_b_new = X_b[indexes]
y_new = y[indexes]
# 对整个数据集看一遍
for i in range(m):
gradient = dJ_sgd(theta, X_b_new[i], y_new[i])
theta = theta - learning_rate(cur_iter * m + i) * gradient
return theta
X_b = np.hstack([np.ones((len(X_train), 1)), X_train])
initial_theta = np.random.randn(X_b.shape[1])
self._theta = sgd(X_b, y_train, initial_theta, n_iters, t0, t1)
self.interception_ = self._theta[0]
self.coef_ = self._theta[1:]
return self
模拟数据进行测试

真实数据波士顿房价进行测试

5.4 使用Sklearn中的 随机梯度下降法

需要注意的是sklearn中的梯度下降法比我们自己的算法要复杂的多,性能和计算准确度上都比我们的要好,我们的算法只是用来演示过程,具体生产上的使用还是应该使用Sklearn提供的

6 梯度下降法 的调试
6.1 梯度下降法调试的原理
可能我们计算出梯度下降法的公式,并使用python编程实现,预测的过程中程序并没有报错,但是可能我们需要求的梯度的结果是错误的,这个时候需要怎么样去调试发现错误呢。
首先以二维坐标平面为例,一个点(O)的导数就是曲线在这个点的切线的斜率,在这个点两侧各取一个点(AB),那么AB两点对应的直线的斜率应该大体等于O的切线的斜率,并且这A和B的距离越近,那么两条直线的斜率就越接近 事实上,这也正是导数的定义,当函数y=f(x)的自变量x在一点x0上产生一个增量Δx时,函数输出值的增量Δy与自变量增量Δx的比值在Δx趋于0时的极限a如果存在,a即为在x0处的导数,记作f'(x0)或df(x0)/dx

扩展到多维维度则如下

梯度下降法调试的实现
np.random.seed(666)
X = np.random.normal(size=(1000,10))
X_b = np.hstack([np.ones((len(X),1)),X])
# 真实的θ值
true_theta = np.arange(1,12,dtype=float)
# np.random.normal(size=1000) 添加噪音
y = X_b.dot(true_theta) + np.random.normal(size=1000)
# 实现J(θ)函数
def J(theta,X_b,y):
try:
return np.sum((y-X_b.dot(theta))**2)/len(X_b)
except:
return float('inf')
# 实现数学推导出的dJ(θ)
def d_J_main(theta,X_b,y):
return X_b.T.dot(X_b.dot(theta) - y) * 2. /len(X_b)
# 实现debug模式的dJ(θ)
def d_J_debug(theta,X_b,y,epsilon=0.01):
res = np.empty(len(theta))
for i in range(len(theta)):
theta_1 = theta.copy()
theta_1[i] += epsilon
theta_2 = theta.copy()
theta_2[i] -= epsilon
res[i] = (J(theta_1,X_b,y)-J(theta_2,X_b,y))/(2*epsilon)
return res
# 批量梯度下降法,d_J为求导函数,作为一个参数传入,用于切换求导策略
def gradient_descent(d_J,X_b, y, initial_theta, eta, n_iters=1e4, epsilon=1e-8):
theta = initial_theta
i_iters = 0
while i_iters < n_iters:
gradient = d_J(theta, X_b, y)
last_theta = theta
theta = theta - eta * gradient
if abs(J(theta, X_b, y) - J(last_theta, X_b, y)) < epsilon:
break
i_iters += 1
return theta
X_b = np.hstack([np.ones((len(X), 1)), X])
initial_theta = np.zeros(X_b.shape[1])
eta = 0.01
# 使用d_J_debug调试模式求出theta
%time theta = gradient_descent(d_J_debug,X_b, y, initial_theta, eta)
print(theta)
# 使用数学解求出theta
%time theta = gradient_descent(d_J_main,X_b, y, initial_theta, eta)
print(theta)
# 输出结果
CPU times: user 531 ms, sys: 214 ms, total: 745 ms
Wall time: 613 ms
[ 0.94575233 1.98082712 3.06882065 3.94835863 4.97139932 5.9859077
7.01077392 7.99250414 8.99151383 9.97525811 10.99758484]
CPU times: user 67 ms, sys: 27.6 ms, total: 94.6 ms
Wall time: 76.7 ms
[ 0.94575233 1.98082712 3.06882065 3.94835863 4.97139932 5.9859077
7.01077392 7.99250414 8.99151383 9.97525811 10.99758484]
由此可以看出,我们的d_J_debug和d_J_main的结果是相近的,所以我们的d_J_main的数学推导是没问题的。 我们可以在真正的机器学习之前,先使用d_J_debug这种调试方式来验证一下我们的d_J_main的结果是否正确,然后再进行机器学习。
d_J_debug是通用的,可以放在任何求导的debug过程中,所以可以作为我们机器学习的工具箱来使用
7.梯度下降法的总结
7.1 小批量
- 批量梯度下降法
- 随机梯度下降法 下面来看下二者的对比
| 维度 | 批量梯度下降法 | 随机梯度下降法 |
|---|---|---|
| 计算方式 | 每次对所有的样本看一遍才可以计算出梯度 | 每一次只需观察一个样本 |
| 速度 | 慢 | 快 |
| 稳定性 | 高,一定可以先向损失函数下降的方式前进 | 低,每一次的方式不确定,甚至向反方向前进 |
综合二者的优缺点,有一种新的梯度下降法

def fit_lit_sgd(self, X_train, y_train, n_iters=5, t0=5, t1=50,k=10):
"""
根据训练数据集X_train, y_train, 使用随机梯度下降法训练Linear Regression模型
:param X_train:
:param y_train:
:param n_iters: 在随机梯度下降法中,n_iters代表所有的样本会被看几圈
:param t0:
:param t1:
:param k: 小批量随机下降法的超参数k
:return:
"""
assert X_train.shape[0] == y_train.shape[0], \
"the size of X_train must be equal to the size of y_train"
assert n_iters >= 1
def dJ_sgd(theta, X_b_k, y_k):
"""
去X_b,y 中的随机选择k个元素进行导数公式的计算
:param theta:
:param X_b_i:
:param y_i:
:return:
"""
return np.sum((X_b_k * (X_b_k.dot(theta) - y_k) ))* 2/len(X_b_k).
def sgd(X_b, y, initial_theta, n_iters, t0=5, t1=50):
def learning_rate(t):
"""
计算学习率,t1 为了减慢变化速度,t0为了增加随机性
:param t: 第t次循环
:return:
"""
return t0 / (t + t1)
theta = initial_theta
m = len(X_b)
for cur_iter in range(n_iters):
# 每次看k个元素
i =0
while i < m:
X_b_new = X_b[i:i+k]
y_new = y[i:i+k]
gradient = dJ_sgd(theta, X_b_new, y_new)
theta = theta - learning_rate(cur_iter * m + i+k) * gradient
i = i+k
return theta
X_b = np.hstack([np.ones((len(X_train), 1)), X_train])
initial_theta = np.random.randn(X_b.shape[1])
self._theta = sgd(X_b, y_train, initial_theta, n_iters, t0, t1)
self.interception_ = self._theta[0]
self.coef_ = self._theta[1:]
return self
7.2 随机
随机梯度下降法的优点

7.3 梯度上升法


