生成树的定义:对于一个图G,获取G的边使得所有的顶点都连接到。最小生成树(MST Minimun spanning tree):给定图G(V,E),以及对应的边的权重,获取一颗总权重最小的生成树。
树的定义:连接的无环图
直接策略
找到所有的生成树,然后计算权重最小的

贪心算法的性质
- 最优子结构:有多个子结构的最优解最终组成整个问题的最优解
- 贪心算法的选择特定,会使得局部最优解最终也是全局最优解
寻找MST的最优子结构
假如边e={u,v}是某个MST的一条边,通过对合并这两个顶点为一个新的顶点(这种操作称作contract e),将有多条边同时连接多个顶点的合并成一个权重最小的边保留,其它边的连接形式保持不变。可以证明假设T'是G/e(不包含e的G)的MST,那么T'U{e}也是G的MST
证明
假设T*()是G的MST,那么 T*/e(即T') 也是 G/e的MST,即
而w(T'Ue)=w(T')+w(e),所以
因而成立
MST的贪心选择
假设有任意的cut(S,V-S),选取e,使得e是所有crossing cut的最小权重的边,那么e肯定是属于某个MST。

红色的线即 crossing cut的边
证明
假设T是G的一个MST,那么它必定存在一条边e'={u',v'}横跨S和V/S,由于w(e)<=w(e'),可以构造T'=T/{e'}U{e}=w(T)-w(e')+w(e)<=w(T),也就是说T'也是MST,e属于某个MST。
Prim's算法
维护一个优先级队列Q,它的节点u.key=min{w(u,v)|u in s and v in (S-V)}
- 随便选取单个节点作为S,其它的都是 S-V
- 在Q中存储V所有的节点,对于节点s,有s.key=0,其它的是 无穷大
- 只要Q中还有元素,获取最小的元素,遍历它的邻接表,如果节点v不在S里面,并且w(u,v)<v.key,更新v.key=w(u,v),记录v.parent=u
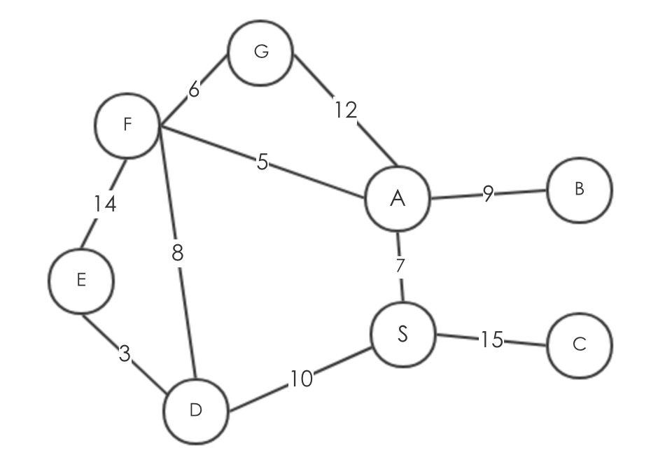
初始的图如下

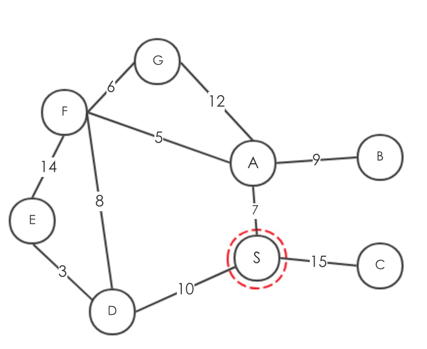
然后获取最小key的节点,显然他就是S

再找到Q中最小的为A,将两者记下来

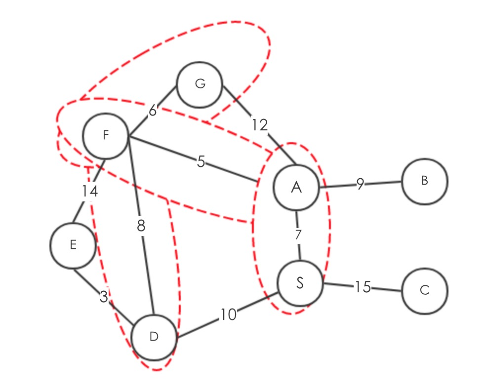
再查看所有S的邻接表,更新Q的权值,得到
获取最小值为5,将它放入S中

再次更新Q得到
获取最小是为6,得到

最小值为8

更新Q得到
最小值为3

更新Q得到
最小值为9

最小值为15


运行时间
在整个过程中,涉及V次的从优先级队列中获取最小值,以及边两倍次的减少key的值,所以总的时间为
使用斐波那契堆可以达到VlgV+E
Kruskal's算法
核心思想:全局最小的corssing cut边必定属于最小生成树,这个过程不能生成环,需要追踪两个节点是否已经互相连接了
追踪的数据结构是 Union-Find 结构,包含3个功能,Make-Set:创建一个集合;Find-Set:找到当前元素在那个集合;Union:合并集合
- 刚开始的时候T什么都没有
- 对每个节点v都执行一遍Make-Set
- 为了找到全局最小的crossing cut,对整个的边通过权值按照递增来排序
- 按照增序遍历所有的边,如果两个节点u和v属于不同的集合(crossing cut),那么可以合并边T=TU{e},然后将这两个集合合并Union(u,v)
时间分析
在使用Union-Find数据结构的基础上能够做到时间为O(ElgE+Eα(V)),假设权重为正整数而且最大值是个常量,那么排序可以达到常量的时间,这个时候,算法所需要的时间就是O(E),整体不Prims算法要好
最快的MST 算法运行期望时间是O(V+E),Karger, Klein, and Tarjan 1993发明