程序的功能单位不宜过大,太大的函数容易掩盖错误,就像一个大城市隐藏着逃犯一样。这样的软件很难阅读,很难测试,也很难调试。(《自下而上的编程》,by Paul Graham)
向量
为什么线性代数这么重要?从研究一个数拓展到研究一组数
一组数的基本表示方法——向量(Vector)
向量(Vector)是线性代数研究的基本元素(一组有序的数)
一个数:666 一组数:(6,66,666)
最基本的出发点:表示方向

两个视角看似不同,但可以互相转换
一个方向,就是一个点(有向线段 ≈ 空间中的点)
空间中的一个点,可以看做从原点指向这个点的一个方向
在学习初始,使用方向的视角,更直观,更形象
定义
和向量相对应,一个数字,称为标量
代数,用符号代表数。和标量相区别,向量的符号画箭头
个别情况下,尤其是几何学中,我们会考虑向量的起始点

向量相加
先向x移动5个单位
再向y移动2个单位
再向x移动2个单位
再向y移动5个单位
先向x移动5个单位
再向y移动2个单位
再向x移动2个单位
再向y移动5个单位
总共向x移动7个单位
总共向y移动7个单位


数量相乘
k×(a,b)^T= (ka,kb)^T
向x移动k次a个单位
再向y移动k次b个单位
总共向x移动ka个单位
总共向y移动kb个单位

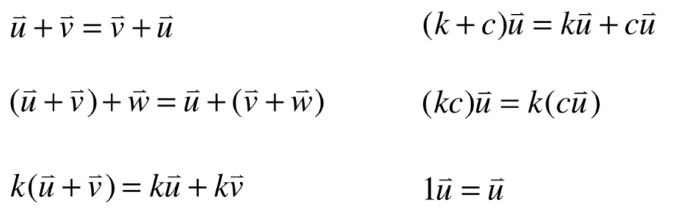
基本性质


零向量
零向量O没有箭头


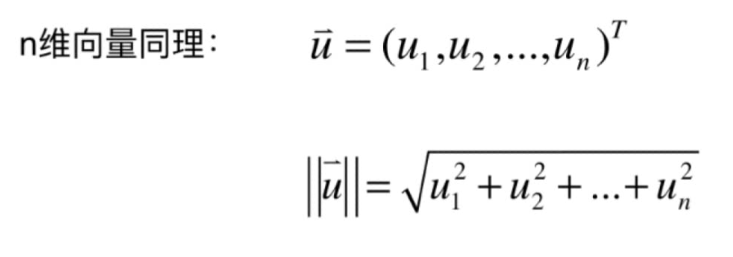
长度(向量的模)



单位向量 unit vector


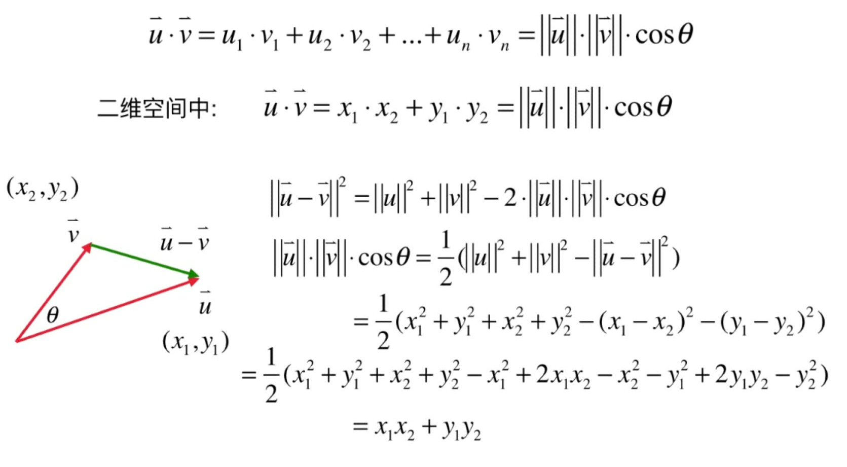
点乘


直观化理解

x1和y2没有关系,结果为零;x2和y1没有关系,结果为零

