04 EM算法 - EM算法收敛证明
白尔摩斯 发布时间:2018-12-29 13:58:36 浏览156 评论0摘要: 03 EM算法 - EM算法流程和直观案例 八、EM算法收敛证明 EM算法的收敛性只要我们能够证明对数似然函数的值在迭代的过程中是增加的即可。 问题: 随机选择1000名用户,测量用户的身高;若样本中存在男性和女性,身高分别服从高斯分布N(μ1,σ1)和N(μ2,σ2)的分布,试估计参数:μ1,σ1,μ2,σ2; 解析:1、如果明确的知道样本的情况(即男性和女性数据是分开的),那么我们使用极大似然估计来估计这个参数值。
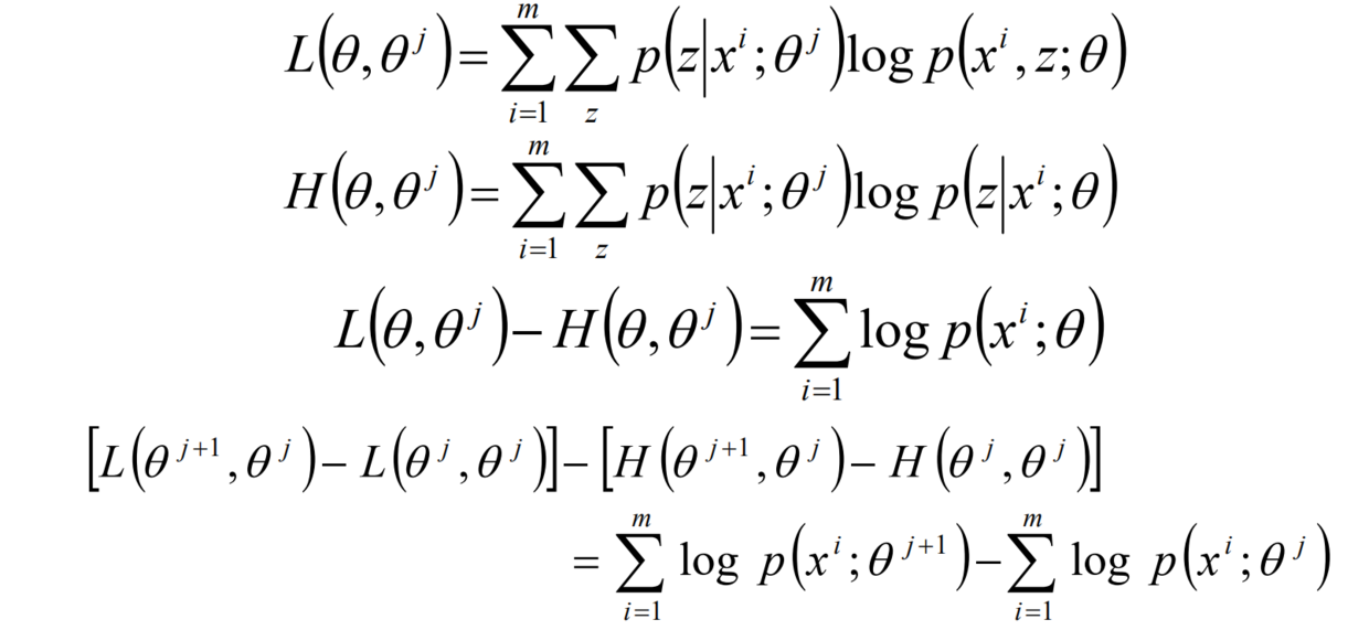
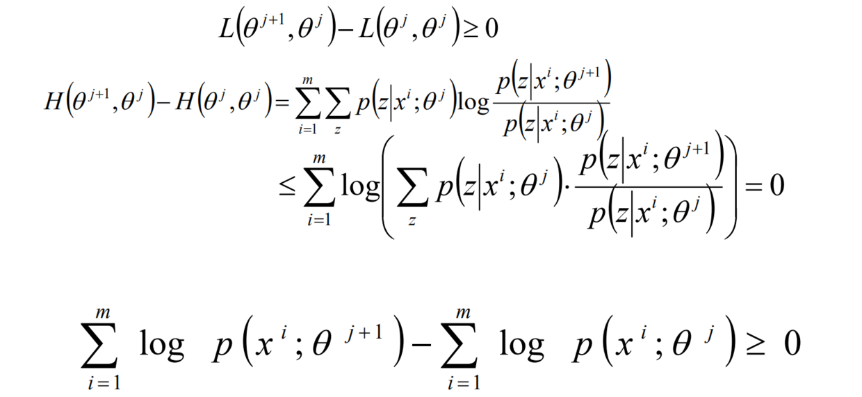
八、EM算法收敛证明
EM算法的收敛性只要我们能够证明对数似然函数的值在迭代的过程中是增加的即可。



问题:
随机选择1000名用户,测量用户的身高;若样本中存在男性和女性,身高分别服从高斯分布N(μ1,σ1)和N(μ2,σ2)的分布,试估计参数:μ1,σ1,μ2,σ2;
解析:
1、如果明确的知道样本的情况(即男性和女性数据是分开的),那么我们使用极大似然估计来估计这个参数值。
2、如果样本是混合而成的,不能明确的区分开,那么就没法直接使用极大似然估计来进行参数的估计。
可以使用EM算法来估计男女这两个参数值,即男女这两个性别就变成了隐含变量。
实际上,EM算法在某些层面上是在帮助我们做聚类的操作。即帮助我们找到隐含变量的取值。
【云栖快讯】云栖专辑 | 阿里开发者们的第9个感悟:脱离产品价值,是难以出创造性的代码的 详情请点击 评论 (0) 点赞 (0) 收藏 (0)相关文章
- EM算法是炼金术吗?
- 03 EM算法 - EM算法流程和直观案例
- EM算法原理总结
- EM 算法之二—————高斯混合模型与 EM
- Andrew Ng机器学习公开课笔记 -- Mixtur…
- EM算法之一 ———— EM算法描述与推论,应用
- EM算法的九层境界:Hinton和Jordan理解的E…
- EM(期望最大化)算法初步认识
- 02 EM算法 - K-means算法回顾、EM概述
- 文本主题模型之LDA(三) LDA求解之变分推断EM算法