本文是对 Swift Algorithm Club 翻译的一篇文章。
Swift Algorithm Club是 raywenderlich.com网站出品的用Swift实现算法和数据结构的开源项目,目前在GitHub上有18000+⭐️,我初略统计了一下,大概有一百左右个的算法和数据结构,基本上常见的都包含了,是iOSer学习算法和数据结构不错的资源。
🐙andyRon/swift-algorithm-club-cn是我对Swift Algorithm Club,边学习边翻译的项目。由于能力有限,如发现错误或翻译不妥,请指正,欢迎pull request。也欢迎有兴趣、有时间的小伙伴一起参与翻译和学习🤓。当然也欢迎加⭐️,🤩🤩🤩🤨🤪。
本文的翻译原文和代码可以查看🐙swift-algorithm-club-cn/Binary Search Tree
二叉搜索树(Binary Search Tree, BST)
这个话题已经有个辅助文章
二叉搜索树(或者叫做二分搜索树)是一种特殊的二叉树(每个节点最多有两个子节点),它执行插入和删除,以便始终对树进行排序。
译注: sort,平常都可以理解为从大到小或从小到大的排序,但本文有点不同,可以理解为是按一定规则的整理。因为“排序”在汉语中也不是简单理解为从大到小或从小到大,所以我还是把sort翻译成排序,但注意和平常理解的排序有点不同。
有关树的更多信息,请先阅读。
“始终排序”属性
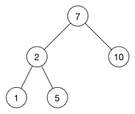
下面是一个有效二叉搜索树的示例:

注意每个左子节点小于其父节点,并且每个右子节点大于其父节点。 这是二叉搜索树的关键特性。
例如,2小于7,因此它在左边; 5大于2,因此它在右边。
插入新节点
执行插入时,我们首先将新值与根节点进行比较。 如果新值较小,我们采取 左 分支; 如果更大,我们采取 右 分支。我们沿着这条路向下走,直到找到一个我们可以插入新值的空位。
假设我们要插入新值9:
- 我们从树的根(值为
7的节点)开始,并将其与新值9进行比较。 9 > 7,因此我们走右边的分支,并重复相同的过程,但这次节点是10。- 因为
9 < 10,所以我们走左边的分支。 - 我们现在到了一个没有更多值可供比较的地方。 在该位置插入
9的新节点。
插入新值9后树结构:

只有一个可能的位置可以在树中插入新元素。 找到这个地方通常很快。 它需要 O(h) 时间,其中 h 是树的高度。
** 注意:** 节点的 高度 是从该节点到最低叶节点所需的步骤数。 整棵树的高度是从根到最低叶节点的距离。 二叉搜索树上的许多操作都以树的高度表示。
通过遵循这个简单的规则 —— 左侧较小的值,右侧较大的值 —— 我们保持树的排序,因此无论何时都可以查询某值是否在树种。
搜索树
要在树中查找值,我们执行与插入相同的步骤:
- 如果该值小于当前节点,则选择左分支。
- 如果该值大于当前节点,则选择右分支。
- 如果该值等于当前节点,我们就找到了它!
像大多数树操作一样,这是递归执行的,直到找到我们正在查找的内容或查完要查看的所有节点。
以下是搜索值5的示例:

使用树的结构搜索很快。 它在 O(h) 时间内运行。 如果你有一个具有一百万个节点的均衡树,那么在这棵树中只需要大约20步就可以找到任何东西。(这个想法与数组中的二分搜索非常相似)
注:
2^0 + 2^1 + 2^2 + ... + 2^19大约是百万级别。
遍历树
有时您需要查看所有节点而不是仅查看一个节点。
遍历二叉树有三种方法:
- 中序(或 深度优先,In-order/depth-first):首先查看节点的左子节点,然后查看节点本身,最后查看其右子节点。
- 前序(Pre-order):首先查看节点本身,然后查看其左右子节点。
- 后序(Post-order):首先查看左右子节点并最后处理节点本身。
遍历树的过程也是递归的。
如果按中序遍历二叉搜索树,它会查看所有节点,就好像它们从低到高排序一样。 对于示例树,将打印1, 2, 5, 7, 9, 10:

删除节点
删除节点很容易。不过删除节点后,需要将节点替换为左侧最大的子节点或右侧的最小子节点。这样,树在删除节点后仍然排序。在以下示例中,将删除10并替换为9(Figure 2)或11(Figure 3)。

请注意,当节点至少有一个子节点时,需要进行替换。 如果它没有子节点,您只需将其与其父节点断开连接:

代码(解决方案1)
说了太多理论了。让我们看看如何在Swift中实现二叉搜索树。您可以采取不同的实现方法。首先,我将向您展示如何制作基于类的版本,但我们还将介绍如何使用枚举制作版本。
以下是BinarySearchTree类的示例:
public class BinarySearchTree<T: Comparable> {
private(set) public var value: T
private(set) public var parent: BinarySearchTree?
private(set) public var left: BinarySearchTree?
private(set) public var right: BinarySearchTree?
public init(value: T) {
self.value = value
}
/// 是否是根节点
public var isRoot: Bool {
return parent == nil
}
/// 是否是叶节点
public var isLeaf: Bool {
return left == nil && right == nil
}
/// 是否是左子节点
public var isLeftChild: Bool {
return parent?.left === self
}
/// 是否是右子节点
public var isRightChild: Bool {
return parent?.right === self
}
/// 是否有左子节点
public var hasLeftChild: Bool {
return left != nil
}
/// 是否有右子节点
public var hasRightChild: Bool {
return right != nil
}
/// 是否有子节点
public var hasAnyChild: Bool {
return hasLeftChild || hasRightChild
}
/// 是否左右两个子节点都有
public var hasBothChildren: Bool {
return hasLeftChild && hasRightChild
}
/// 当前节点包括子树中的所有节点总数
public var count: Int {
return (left?.count ?? 0) + 1 + (right?.count ?? 0)
}
}
此类仅描述单个节点而不是整个树。 它是泛型类型,因此节点可以存储任何类型的数据。 它还包含了left和right子节点以及一个parent节点的引用。
以下是如何使用它:
let tree = BinarySearchTree<Int>(value: 7)
count属性是此节点描述的子树中有多少个节点(**译注:**本身+此节点的所有子节点)。这不仅仅计算节点的直接子节点,还计算它们的子节点和子节点的子节点,等等。如果此节点是根节点,则count表示计算整个树中有多少个节点。
注意: 因为
left,right和parent是可选的,我们可以很好地利用Swift的可选值链(?)和 空合运算符(??)。 你也可以用if let,但那不简洁。**译注:**关于空合运算符,可查看我之前写的一篇文章Swift中的问号三种用法
插入节点
只有树节点本身是没有什么用的,所以需要如何向树添加新节点的方法:
public func insert(value: T) {
if value < self.value {
if let left = left {
left.insert(value: value)
} else {
left = BinarySearchTree(value: value)
left?.parent = self
}
} else {
if let right = right {
right.insert(value: value)
} else {
right = BinarySearchTree(value: value)
right?.parent = self
}
}
}
像许多其他树操作一样,插入最容易用递归实现。 我们将新值与现有节点的值进行比较,并决定是将其添加到左侧分支还是右侧分支。
如果没有更多的左或右子节点,我们创建一个新节点BinarySearchTree对象,并通过设置其parent属性将其连接到树。
注意: 因为二叉搜索树的都是左边有较小的节点而右边有较大的节点,所以你应该总是在根节点开始(比较)插入元素,以确保它仍然是一个有效的二叉树!
构建上面示例中完整的树:
let tree = BinarySearchTree<Int>(value: 7)
tree.insert(2)
tree.insert(5)
tree.insert(10)
tree.insert(9)
tree.insert(1)
Note: For reasons that will become clear later, you should insert the numbers in a random order. If you insert them in a sorted order, the tree will not have the right shape. 注意: 由于后来会变得明确的原因,您应该以随机顺序插入数字。 如果按排序顺序插入它们,则树的形状将不正确。 (??由于理解不够深,翻译的不准确,保留原文)
为方便起见,让我们添加一个以数组的方式初始化的方法,这个方法为数组中所有元素调用insert():
public convenience init(array: [T]) {
precondition(array.count > 0)
self.init(value: array.first!)
for v in array.dropFirst() {
insert(value: v)
}
}
现在可以简单的使用:
let tree = BinarySearchTree<Int>(array: [7, 2, 5, 10, 9, 1])
数组中的第一个值成为树的根节点。
调试输出
使用复杂的数据结构时,拥有人类可读的调试输出很有用。
extension BinarySearchTree: CustomStringConvertible {
public var description: String {
var s = ""
if let left = left {
s += "(\(left.description)) <- "
}
s += "\(value)"
if let right = right {
s += " -> (\(right.description))"
}
return s
}
}
当你执行print(tree)时,你应该得到:
((1) <- 2 -> (5)) <- 7 -> ((9) <- 10)
根节点位于中间。 发挥一些想象力,您应该看到这确实对应于下面的树:

您可能想知道插入重复项时会发生什么?我们总是将它们插入正确的分支中。 试试看!
搜索
我们现在做什么,让树有一些价值? 当然,搜索它们吧! 快速查找项是二叉搜索树的主要目的。:-)
这是search()的实现:
public func search(value: T) -> BinarySearchTree? {
if value < self.value {
return left?.search(value)
} else if value > self.value {
return right?.search(value)
} else {
return self // found it!
}
}
我希望逻辑清楚:这从当前节点(通常是根节点)开始并比较这些值。 如果搜索值小于节点的值,我们继续在左侧分支中搜索;如果搜索值更大,我们会跳到右侧分支中搜索。
如果没有更多的节点要看 —— 当left或right为nil时 —— 那么我们返回nil表示搜索值不在树中。
注意: 在Swift中,可以通过可选链方便地完成; 当你写
left?.search(value)时,如果left为nil,它会自动返回nil。 没有必要使用if语句显式检查。
搜索是一个递归过程,但您也可以使用简单的迭代来实现它:
public func search(_ value: T) -> BinarySearchTree? {
var node: BinarySearchTree? = self
while let n = node {
if value < n.value {
node = n.left
} else if value > n.value {
node = n.right
} else {
return node
}
}
return nil
}
验证您是否理解这两个实现是等效的。 就个人而言,我更喜欢使用迭代代码而不是递归代码,但您的意见可能会有所不同。;-)
测试搜索:
tree.search(value: 5)
tree.search(value: 2)
tree.search(value: 7)
tree.search(value: 6) // nil
前三行返回相应的BinaryTreeNode对象。 最后一行返回nil,因为没有值为6的节点。
注意: 如果树中有重复项,
search()返回“最高”节点。 这是有道理的,因为我们开始从根节点向下搜索。
遍历
还记得有三种不同的方法可以查看树中的所有节点吗? 如下:
public func traverseInOrder(process: (T) -> Void) {
left?.traverseInOrder(process: process)
process(value)
right?.traverseInOrder(process: process)
}
public func traversePreOrder(process: (T) -> Void) {
process(value)
left?.traversePreOrder(process: process)
right?.traversePreOrder(process: process)
}
public func traversePostOrder(process: (T) -> Void) {
left?.traversePostOrder(process: process)
right?.traversePostOrder(process: process)
process(value)
}
它们都以不同的顺序工作。 请注意,所有工作都是递归完成的。 Swift的可选链清楚地表明,当没有左或右子节点时,忽略对traverseInOrder()等的调用。
要打印出从低到高排序的树的所有值,您可以编写:
tree.traverseInOrder { value in print(value) }
打印结果:
1
2
5
7
9
10
你还可以在树中添加map()和filter()方法。 例如,这是map的实现:
public func map(formula: (T) -> T) -> [T] {
var a = [T]()
if let left = left { a += left.map(formula: formula) }
a.append(formula(value))
if let right = right { a += right.map(formula: formula) }
return a
}
这将在树中的每个节点上调用formula闭包,并在结果以数组返回。 map()通过按中序遍历树来工作。
一个非常简单的如何使用map()的例子:
public func toArray() -> [T] {
return map { $0 }
}
这会将树的内容重新转换为已排序的数组。 在playground上试一试:
tree.toArray() // [1, 2, 5, 7, 9, 10]
作为练习,看看是否可以实现filter和reduce。
译注:
map,filter和reduce都是高阶函数,关于高阶函数可查看我总结的文章 Swift中的高阶函数:sorted, map, reduce, forEach, flatMap, filter 。
删除节点
我们可以通过定义一些辅助函数来使代码更具可读性。
private func reconnectParentTo(node: BinarySearchTree?) {
if let parent = parent {
if isLeftChild {
parent.left = node
} else {
parent.right = node
}
}
node?.parent = parent
}
对树进行更改涉及更改parent和left和right指针。 此功能有助于实现此功能。 它接受当前节点的父节点 - 即self - 并将其连接到另一个节点,该节点将是self的子节点之一。
我们还需要一个返回节点最小值和最大值的函数:
public func minimum() -> BinarySearchTree {
var node = self
while let next = node.left {
node = next
}
return node
}
public func maximum() -> BinarySearchTree {
var node = self
while let next = node.right {
node = next
}
return node
}
其余代码是不言自明的:
@discardableResult public func remove() -> BinarySearchTree? {
let replacement: BinarySearchTree?
// Replacement for current node can be either biggest one on the left or
// smallest one on the right, whichever is not nil
if let right = right {
replacement = right.minimum()
} else if let left = left {
replacement = left.maximum()
} else {
replacement = nil
}
replacement?.remove()
// Place the replacement on current node's position
replacement?.right = right
replacement?.left = left
right?.parent = replacement
left?.parent = replacement
reconnectParentTo(node:replacement)
// The current node is no longer part of the tree, so clean it up.
parent = nil
left = nil
right = nil
return replacement
}
译注: swift正常的方法如果有返回值的话,调用的时候必须有一个接收方,否则的话编译器会报一个警告,如果在方法前加上
@discardableResult不处理的时候就不会有警告了。
深度和高度
回想一下节点的高度是到最低叶节点的距离。 我们可以用以下函数来计算:
public func height() -> Int {
if isLeaf {
return 0
} else {
return 1 + max(left?.height() ?? 0, right?.height() ?? 0)
}
}
我们看一下左右分支的高度并取最大值。 同样,这是一个递归过程。 由于这会查看此节点的所有子节点,因此性能为 O(n)。
注意: Swift的空合运算符方便处理
left或right指针为nil的情况。 你也可以用if let,但这更简洁。
试试看:
tree.height() // 2
您还可以计算节点的 深度,即到根节点的距离。 这是代码:
public func depth() -> Int {
var node = self
var edges = 0
while let parent = node.parent {
node = parent
edges += 1
}
return edges
}
它沿着 parent 指针向上逐步穿过树,直到我们到达根节点(即parent为nil)。 这需要 O(h) 时间。 这是一个例子:
if let node9 = tree.search(9) {
node9.depth() // returns 2
}
前驱节点和后继节点
二叉搜索树总是“排序”,但这并不意味着连续的数字实际上在树中是彼此相邻的。

请注意,通过查看其左子节点,您无法找到7之前的数字。 左子节点是2,而不是5。 同样地,也无法找到7之后的数字。
predecessor()函数以排序顺序返回其值在当前值之前的节点:
public func predecessor() -> BinarySearchTree<T>? {
if let left = left {
return left.maximum()
} else {
var node = self
while let parent = node.parent {
if parent.value < value { return parent }
node = parent
}
return nil
}
}
如果该节点有左子树很容易。 在这种情况下,该节点的前驱节点是左子树中的最大值。 您可以在上面的图片中验证5确实是7左分支中的最大值。
如果没有左子树,那么我们必须查看父节点,直到找到一个较小的值。如果我们想知道节点9的前驱节点是什么,我们一直向上,直到找到第一个具有较小值的父节点,即7。
successor()的代码以相同的方式工作:
public func successor() -> BinarySearchTree<T>? {
if let right = right {
return right.minimum()
} else {
var node = self
while let parent = node.parent {
if parent.value > value { return parent }
node = parent
}
return nil
}
}
这两种方法都在 O(h) 时间内运行。
注意: 有一种称为“线索”二叉树的二叉搜索树变体,其中“未使用的”左右指针被重新用于在前驱节点和后继节点之间建立直接链接。 非常聪明!
搜索树有效吗?
如果您打算进行破坏,可以通过在非根节点上调用insert()将二分搜索树变为无效树。 这是一个例子:
if let node1 = tree.search(1) {
node1.insert(100)
}
根节点的值为7,因此值为100的节点必须位于树的右侧分支中。 但是,您不是插入根,而是插入树左侧分支中的叶节点。 所以新的100节点在树中的错误位置!
结果,tree.search(100)给出nil。
您可以使用以下方法检查树是否是有效的二叉搜索树:
public func isBST(minValue minValue: T, maxValue: T) -> Bool {
if value < minValue || value > maxValue { return false }
let leftBST = left?.isBST(minValue: minValue, maxValue: value) ?? true
let rightBST = right?.isBST(minValue: value, maxValue: maxValue) ?? true
return leftBST && rightBST
}
这将验证左侧分支包含的值是否小于当前节点的值,右侧分支仅包含更大的值。
使用如下:
if let node1 = tree.search(1) {
tree.isBST(minValue: Int.min, maxValue: Int.max) // true
node1.insert(100) // EVIL!!!
tree.search(100) // nil
tree.isBST(minValue: Int.min, maxValue: Int.max) // false
}
代码(解决方案2)
我们已经使用类实现二叉树节点,但您也可以使用枚举。
鉴于引用类型与值类型的不同。 对基于类的树进行更改将更新内存中的相同实例,但基于枚举的树是不可变的 - 任何插入或删除都将为您提供树的全新副本。哪一个好,完全取决于你想用它做什么。
以下是使用枚举创建二叉搜索树的方法:
public enum BinarySearchTree<T: Comparable> {
case Empty
case Leaf(T)
indirect case Node(BinarySearchTree, T, BinarySearchTree)
}
枚举有三种情况:
Empty标记分支的结尾(基于类的版本使用nil引用)。- 没有子节点的叶节点的
Leaf。 - 具有一个或两个子节点的节点的
Node。 这标记为indirect,因此它可以保存BinarySearchTree值。 如果没有indirect,你就无法生成递归枚举。
**注意:**此二叉树中的节点没有对其父节点的引用。 这不是一个主要障碍,但它会使某些操作实施起来更加麻烦。
这个实现是递归的,枚举的每个情况都将被区别对待。 例如,这是您可以计算树中节点数和树高的方法:
public var count: Int {
switch self {
case .Empty: return 0
case .Leaf: return 1
case let .Node(left, _, right): return left.count + 1 + right.count
}
}
public var height: Int {
switch self {
case .Empty: return 0
case .Leaf: return 1
case let .Node(left, _, right): return 1 + max(left.height, right.height)
}
}
插入新节点如下所示:
public func insert(newValue: T) -> BinarySearchTree {
switch self {
case .Empty:
return .Leaf(newValue)
case .Leaf(let value):
if newValue < value {
return .Node(.Leaf(newValue), value, .Empty)
} else {
return .Node(.Empty, value, .Leaf(newValue))
}
case .Node(let left, let value, let right):
if newValue < value {
return .Node(left.insert(newValue), value, right)
} else {
return .Node(left, value, right.insert(newValue))
}
}
}
在playground尝试:
var tree = BinarySearchTree.Leaf(7)
tree = tree.insert(2)
tree = tree.insert(5)
tree = tree.insert(10)
tree = tree.insert(9)
tree = tree.insert(1)
请注意,对于每次插入,都会返回一个新的树对象,因此需要将结果分配回tree变量。
这是最重要的搜索功能:
public func search(x: T) -> BinarySearchTree? {
switch self {
case .Empty:
return nil
case .Leaf(let y):
return (x == y) ? self : nil
case let .Node(left, y, right):
if x < y {
return left.search(x)
} else if y < x {
return right.search(x)
} else {
return self
}
}
}
大多数这些功能具有相同的结构。
在playground尝试:
tree.search(10)
tree.search(1)
tree.search(11) // nil
要打印树以进行调试,可以使用以下方法:
extension BinarySearchTree: CustomDebugStringConvertible {
public var debugDescription: String {
switch self {
case .Empty: return "."
case .Leaf(let value): return "\(value)"
case .Node(let left, let value, let right):
return "(\(left.debugDescription) <- \(value) -> \(right.debugDescription))"
}
}
}
当你执行print(tree)时,它看起来像这样:
((1 <- 2 -> 5) <- 7 -> (9 <- 10 -> .))
根节点位于中间,点表示该位置没有子节点。
当树变得不平衡时......
当二叉制搜索树的左右子树包含相同数量的节点时,它是平衡的。 在这种情况下,树的高度为 log(n),其中 n 是节点数。 这是理想的情况。
如果一个分支明显长于另一个分支,则搜索变得非常慢。 我们最终检查的花费超出了我们的需要。 在最坏的情况下,树的高度可以变为 n。 这样的树就像 链表 而不是二叉搜索树,性能降低到 O(n)。 不好!
使二叉制搜索树平衡的一种方法是以完全随机的顺序插入节点。 平均而言,应该很好地平衡树,但不保证,也不总是实用。
另一种解决方案是使用 自平衡 二叉树。 插入或删除节点后,此类型的数据结构会调整树以使其保持平衡。 要查看示例,请查看AVL树和红黑树。
扩展阅读
作者:Nicolas Ameghino 和 Matthijs Hollemans
译者:Andy Ron
校对:Andy Ron