实现逻辑回归-神经网络

879 阅读4分钟

一、基本概念

1、逻辑回归与线性回归的区别?

线性回归预测得到的是一个数值,而逻辑回归预测到的数值只有0、1两个值。逻辑回归是在线性回归的基础上,加上一个sigmoid函数,让其值位于0-1之间,最后获得的值大于0.5判断为1,小于等于0.5判断为0

二、逻辑回归的推导

\hat y表示预测值y表示训练标签值

1、一般公式

\hat y = wx + b

2、向量化

\hat y = w^Tx+b

3、激活函数 引入sigmoid函数(用\sigma表示),使\hat y值位于0-1

\hat y = \sigma (w^Tx+b)

4、损失函数 损失函数用L表示

L(\hat y ,y) = \frac 1 2 (\hat y - y) ^ 2

梯度下降效果不好,换用交叉熵损失函数

L(\hat y,y) = - [y\log \hat y + (1-y)\log(1-\hat y)]

5、代价函数 代价函数用J表示

J(w,b) = \frac 1 m \sum_{i=1}^m L(\hat y^{(i)},y^{(i)})

展开

J(w,b) = - \frac 1 m \sum_{i=1}^m [y^{(i)}\log \hat y^{(i)} + (1-y^{(i)})\log(1-\hat y ^ {(i)})]

6、正向传播

a = 5,b=3,c=2
u = bc  \to 6
v = a + u \to 11
J = 3v \to 33

7、反向传播

求出da = 3,表示Ja偏导数

J = 3v \to \frac {dJ} {da} = \frac {dJ} {dv} \frac {dv} {da} = 3

求出db = 6

J = 3v \to \frac {dJ} {dc} = \frac {dJ} {dv} \frac {dv} {du} \frac {du} {dc} = 3c = 6

求出dc = 6

J = 3v \to \frac {dJ} {db} = \frac {dJ} {dv} \frac {dv} {du} \frac {du} {db} = 3b = 9

Sigmod函数求导

\sigma (z) = \frac 1 {1 + e ^ {-z}} = s
dz = \frac {e^{-z}}{(1 + e^{-z}) ^ 2}
dz = \frac 1 {1 + e^{-z} }  (1  - \frac 1 {1+e^{-z}})
=\sigma(z)(1-\sigma(z))
=s(1-s)

8、反向传播的意义

修正参数,使代价函数值减少,预测值接近实际值

举个例子:

(1) 玩一个猜数游戏,目标数字为150。

(2) 输入训练样本值: 你第一次猜出一个数字为x = 10

(3) 设置初始权重: 设置一个权重值,比如权重w设为0.5

(4) 正向计算: 进行计算,获得值wx

(5) 求出代价函数: 出题人说差了多少(说的不是具体数字,而是用0-10表示,10表示差的离谱,1表示非常接近,0表示正确)

(6) 反向传播或求导: 你通过出题人的结论,去一点点修正权重(增加w或减少w)。

(7) 重复(4)操作,直到无限接近或等于目标数字。

机器学习,就是在训练中改进、优化,找到最有泛化能力的规则。

三、神经网络实现

1、实现激活函数Sigmoid


def sigmoid(z):
    s = 1.0 / (1.0 + np.exp(-z))
    return s

2、参数初始化


def initialize_with_zeros(dim):
    w = np.zeros([dim,1])
    b = 0
    return w, b

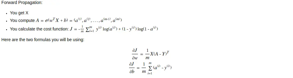
3、前后向传播

前后向传播


def propagate(w, b, X, Y):
    m = X.shape[1]
    A = sigmoid(np.dot(w.T,X) + b)                                
    cost = (- 1.0 / m ) * np.sum(Y*np.log(A) + (1-Y)*np.log(1-A))       
    dw = (1.0 / m) * np.dot(X,(A - Y).T)
    db = (1.0 / m) * np.sum(A - Y)

    cost = np.squeeze(cost)
    grads = {"dw": dw,"db": db}
    
    return grads, cost

4、优化器实现


def optimize(w, b, X, Y, num_iterations, learning_rate, print_cost = False):
    
    costs = []
    
    for i in range(num_iterations):
        
        # Cost and gradient calculation
        grads, cost = propagate(w,b,X,Y)
        
        # Retrieve derivatives from grads
        dw = grads["dw"]
        db = grads["db"]
        
        # update rule
        w = w - learning_rate * dw
        b = b - learning_rate * db
        
        # Record the costs
        if i % 100 == 0:
            costs.append(cost)
        
        # Print the cost every 100 training iterations
        if print_cost and i % 100 == 0:
            print ("Cost after iteration %i: %f" %(i, cost))
   
    params = {"w": w,
              "b": b}
    
    grads = {"dw": dw,
             "db": db}
    
    return params, grads, costs

5、预测函数

def predict(w, b, X):
    m = X.shape[1]
    Y_prediction = np.zeros((1,m))
    w = w.reshape(X.shape[0], 1)
    # Compute vector "A" predicting the probabilities of a cat being present in the picture
    A = sigmoid(np.dot(w.T,X)+b)

    for i in range(A.shape[1]):
        # Convert probabilities A[0,i] to actual predictions p[0,i]
        if A[0][i] <= 0.5:
            Y_prediction[0][i] = 0
        else:
            Y_prediction[0][i] = 1

    return Y_prediction

6、代码模块整合


def model(X_train, Y_train, X_test, Y_test, num_iterations = 2000, learning_rate = 0.5, print_cost = False):

    # initialize parameters with zeros (≈ 1 line of code)
    w, b = initialize_with_zeros(train_set_x.shape[0])

    # Gradient descent (≈ 1 line of code)
    parameters, grads, costs = optimize(w, b, X_train, Y_train, num_iterations, learning_rate, print_cost)
    
    # Retrieve parameters w and b from dictionary "parameters"
    w = parameters["w"]
    b = parameters["b"]
    
    Y_prediction_test = predict(w, b, X_test)
    Y_prediction_train = predict(w, b, X_train)

    # Print train/test Errors
    print("train accuracy: {} %".format(100 - np.mean(np.abs(Y_prediction_train - Y_train)) * 100))
    print("test accuracy: {} %".format(100 - np.mean(np.abs(Y_prediction_test - Y_test)) * 100))

    
    d = {"costs": costs,
         "Y_prediction_test": Y_prediction_test, 
         "Y_prediction_train" : Y_prediction_train, 
         "w" : w, 
         "b" : b,
         "learning_rate" : learning_rate,
         "num_iterations": num_iterations}
    
    return d

7、运行程序


d = model(train_set_x, train_set_y, test_set_x, test_set_y, num_iterations = 2000, learning_rate = 0.005, print_cost = True)

结果

Cost after iteration 0: 0.693147
Cost after iteration 100: 0.584508
Cost after iteration 200: 0.466949
Cost after iteration 300: 0.376007
Cost after iteration 400: 0.331463
Cost after iteration 500: 0.303273
Cost after iteration 600: 0.279880
Cost after iteration 700: 0.260042
Cost after iteration 800: 0.242941
Cost after iteration 900: 0.228004
Cost after iteration 1000: 0.214820
Cost after iteration 1100: 0.203078
Cost after iteration 1200: 0.192544
Cost after iteration 1300: 0.183033
Cost after iteration 1400: 0.174399
Cost after iteration 1500: 0.166521
Cost after iteration 1600: 0.159305
Cost after iteration 1700: 0.152667
Cost after iteration 1800: 0.146542
Cost after iteration 1900: 0.140872
train accuracy: 99.04306220095694 %
test accuracy: 70.0 %

8、更多的分析


learning_rates = [0.01, 0.001, 0.0001]
models = {}
for i in learning_rates:
    print ("learning rate is: " + str(i))
    models[str(i)] = model(train_set_x, train_set_y, test_set_x, test_set_y, num_iterations = 1500, learning_rate = i, print_cost = False)
    print ('\n' + "-------------------------------------------------------" + '\n')

for i in learning_rates:
    plt.plot(np.squeeze(models[str(i)]["costs"]), label= str(models[str(i)]["learning_rate"]))

plt.ylabel('cost')
plt.xlabel('iterations (hundreds)')

legend = plt.legend(loc='upper center', shadow=True)
frame = legend.get_frame()
frame.set_facecolor('0.90')
plt.show()

学习曲线

9、测试图片

## START CODE HERE ## (PUT YOUR IMAGE NAME) 
my_image = "my_image.jpg"   # change this to the name of your image file 
## END CODE HERE ##

# We preprocess the image to fit your algorithm.
fname = "images/" + my_image
image = np.array(ndimage.imread(fname, flatten=False))
my_image = scipy.misc.imresize(image, size=(num_px,num_px)).reshape((1, num_px*num_px*3)).T
my_predicted_image = predict(d["w"], d["b"], my_image)

plt.imshow(image)
print("y = " + str(np.squeeze(my_predicted_image)) + ", your algorithm predicts a \"" + classes[int(np.squeeze(my_predicted_image)),].decode("utf-8") +  "\" picture.")

结果

y = 0.0, your algorithm predicts a "non-cat" picture.

image.png

参考文档

神经网络和深度学习-吴恩达——Course1 Week2