深度学习之Numpy整理

867 阅读4分钟

一、Numpy介绍、为什么要用Numpy

1、Numpy介绍

Numpy是Python的一个扩展包,语法和Matlab有很多相似之处。它支持高维数组和矩阵运算,也提供了许多数组和矩阵运算的函数。另外,它在数组和矩阵运算方面速度很快,效率很高。

2、为什么要用Numpy

Numpy向量化计算非向量化计算性能比较

# coding: utf-8
import time
import numpy as np


# Numpy向量化测试
a = np.random.rand(1000000)
b = np.random.rand(1000000)

tic = time.time()
c = np.dot(a,b)
toc = time.time()
print("计算结果"+str(c))
print("向量化使用时间:"+str(1000*(toc-tic)) + "ms")


# 使用for循环测试
c = 0
tic = time.time()

for i in range(1000000):
    c += a[i] * b[i]

toc = time.time()
print("计算结果"+str(c))
print("循环使用时间:"+str(1000*(toc-tic)) + "ms")

#计算结果250011.92519533934
#向量化使用时间:0.9119510650634766ms
#计算结果250011.92519534056
#循环使用时间:466.2208557128906ms

为什么向量化比循环快?

因为Numpy对向量计算做了优化,用到了CPU或GPU的并行计算,所以速度要比单纯的for循环要快。具体细节感兴趣可以自行研究。

二、数组创建

1、生成数组

(1)一维数组

import numpy as np
x = np.array([1.0,2.0,3.0])
print(x)
# [1. 2. 3.]

x = np.np.arange(0,5)
print(x)
# [0 1 2 3 4]

各个元素与标量之间进行运算,称为广播。

(2)二维数组


A = np.array([[1,2],[3,4]])
A.shape 
# 返回n*m的数组

A.dtype 
# 返回数据类型

A.size 
# 返回数组元素个数4

np.ndim(A) 
#返回数组维数

3、访问元素


for row in A:
  print(row)

A[0]
A[0][1]

A.flatten() #将X转换为一维数组
# [1 2 3 4]

A[np.array([0,1])]#获取索引为1、2的元素
#[[1 2]
#[3 4]]

A > 15 #获得布尔型数组
#[[False False]
# [False False]]

三、矩阵

1、创建矩阵


A = np.matrix('1,2;3,4')
print(A)
print(type((A)))
#[[1 2]
# [3 4]]
#<class 'numpy.matrixlib.defmatrix.matrix'>

2、数组转矩阵


A = np.array([[1,2],[3,4]])
#[[1 2]
# [3 4]]
B = np.mat(A)
print(B)
print(type(B))
#<class 'numpy.matrixlib.defmatrix.matrix'>

3、创建单位矩阵


E = np.eye(3)
#[[1. 0. 0.]
# [0. 1. 0.]
# [0. 0. 1.]]

4、改变数组形状


# 将2*2的数组变形为4*1的数组
A = np.array([[1,2],[3,4]])
A = A.reshape((A.size,1))
print(A)

#[[1]
 #[2]
 #[3]
 #[4]]

四、计算

1、广播

为何叫广播,因为单个标量被广播、复制成n维数组。

如二维数组[[1,2],[3,4]]与标量10相乘,等同于[[1,2],[3,4]]乘以[[10,10],[10,10]]

2、矩阵转置

因为np.random.randn(5)写法不直观,建议使用写法np.random.randn(5,1)

a = np.random.randn(5,1)

#转置
b = a.T
print(a)

#[[-0.30232915]
# [-0.13689176]
# [ 0.74737671]
# [ 0.58641912]
# [ 0.14419141]]

print(a.T)

#[[-0.30232915 -0.13689176  0.74737671  0.58641912  0.14419141]]


3、矩阵乘法(点积)

(1)

import numpy as np
A = np.array([[1,2],[3,4]])
B = np.array([[5,6],[7,8]])
#点积
print(np.dot(A,B))
#array([[19, 22],[43, 50]])

(2)

a = np.random.randn(5,1)
b = a.T
# (5,1)(1,5)的点积得到的是5*5的矩阵
print(np.dot(a,b))
# (1,5)(5,1)的点积得到的是1*1的矩阵
print(np.dot(b,a))

4、矩阵求逆

AB=E,矩阵A与B互为逆矩阵,其中E为单位矩阵,E的行列式计算为1


A = np.matrix('1,2;3,4')
print(A.I)#求逆
#[[-2.   1. ]
# [ 1.5 -0.5]]

E = np.dot(A,A.I)
print(E)
#[[1.0000000e+00 0.0000000e+00]
#[8.8817842e-16 1.0000000e+00]]

value = np.linalg.det(E)#行列式计算
#0.9999999999999996

4、算术运算


x = np.array([1.0,2.0,3.0])
y = np.array([2.0,3.0,4.0])

#减法
print(x - y) 
# [-1. -1. -1.]

#加法
print(x + y)
#[3. 5. 7.]

#乘法
print(x * y)
#[ 2.  6. 12.]

#除法
print(x / y)
#[0.5        0.66666667 0.75      ]

#开方根
print(np.sqrt(x))
#[1.         1.41421356 1.73205081]

#对数
print(np.log(x))
#[0.         0.69314718 1.09861229]

# 指数
print(np.exp(a))
# [ 2.71828183  7.3890561  20.08553692]

5、平均值、方差、标准差


x = np.array([1,2,3,4,5,6])

# 平均值
np.mean([1,2,3,4])
# 3.5

# 方差
print(np.var(x))
#2.9166666666666665

# 标准差
print(np.std(x))
#1.707825127659933

五、应用

1、sigmoid函数

def sigmoid(x):

    s = 1.0 / (1.0 + np.exp(-x))
    return s

2、sigmoid求导

sigmoid求导.png


def sigmoid_derivative(x):
    s = sigmoid(x)
    ds = s*(1-s)
    return ds

3、softmax函数计算

softmax.png

def softmax(x):

    x_exp = np.exp(x)
    x_sum = np.sum(np.exp(x),axis=1,keepdims = True)
    s = x_exp / x_sum
    return s

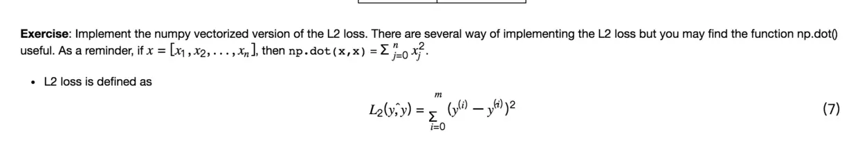
4、计算损失函数

loss functions.png


def L1(yhat, y):
    loss = np.sum(np.abs(yhat - y))
    return loss

loss functions.png


def L1(yhat, y):
    loss = np.sum((y - yhat)**2)
    return loss

5、向量化练习


x1 = [9, 2, 5, 0, 0, 7, 5, 0, 0, 0, 9, 2, 5, 0, 0]
x2 = [9, 2, 2, 9, 0, 9, 2, 5, 0, 0, 9, 2, 5, 0, 0]

### VECTORIZED DOT PRODUCT OF VECTORS ###
tic = time.process_time()
dot = np.dot(x1,x2)
toc = time.process_time()
print ("dot = " + str(dot) + "\n ----- Computation time = " + str(1000*(toc - tic)) + "ms")

### VECTORIZED OUTER PRODUCT ###
tic = time.process_time()
outer = np.outer(x1,x2)
toc = time.process_time()
print ("outer = " + str(outer) + "\n ----- Computation time = " + str(1000*(toc - tic)) + "ms")

### VECTORIZED ELEMENTWISE MULTIPLICATION ###
tic = time.process_time()
mul = np.multiply(x1,x2)
toc = time.process_time()
print ("elementwise multiplication = " + str(mul) + "\n ----- Computation time = " + str(1000*(toc - tic)) + "ms")

### VECTORIZED GENERAL DOT PRODUCT ###
tic = time.process_time()
dot = np.dot(W,x1)
toc = time.process_time()
print ("gdot = " + str(dot) + "\n ----- Computation time = " + str(1000*(toc - tic)) + "ms")

参考文档

Numpy 1.15.4官方文档

神经网络和深度学习-吴恩达——Vectorization

numpy基本方法总结