人工智能导论 (七) - 搜索求解策略

1,565 阅读1分钟

1 搜索的概念

概念
基本问题
过程
方向

盲目搜索与启发式搜索

2 状态空间知识表示法

2.1 状态空间的表示法

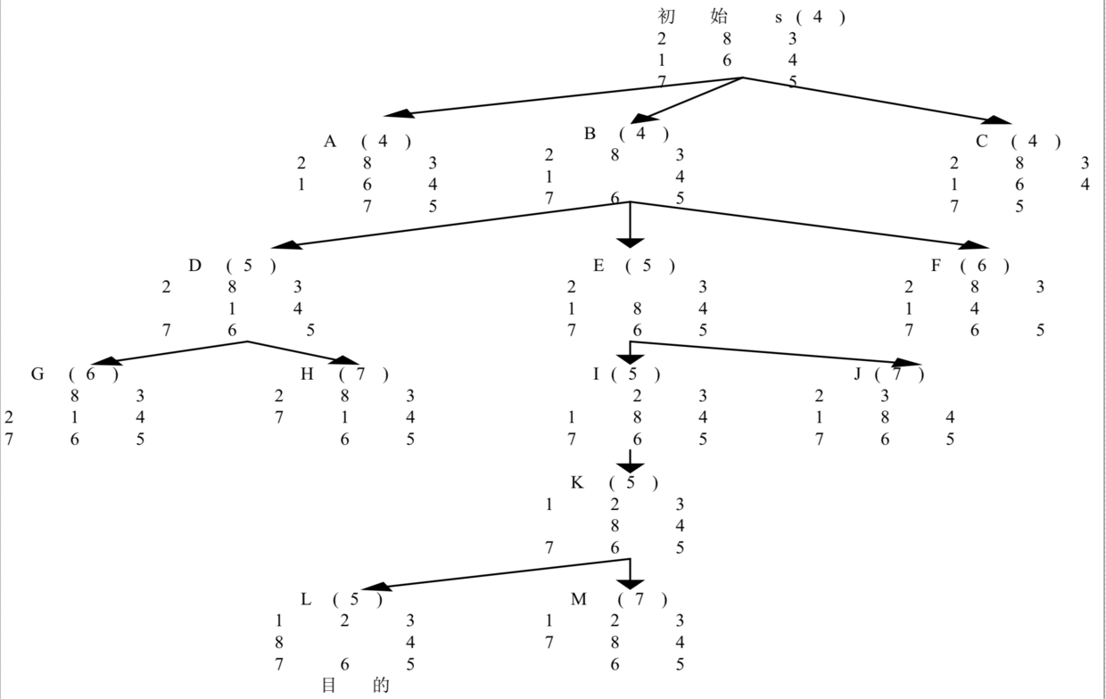
八数码问题的状态空间

2.2 状态空间的图描述

状态空间的有向图描述

3 启发式图搜索

3.1 启发式策略

运用启发式策略的两种基本情况

3.2 启发信息和估价函数

3.2.1 启发信息

分类

3.2.2 估价函数

evaluation function

  • 注意

八数码问题的启发函数

3.3 A搜索算法

3.4 A*搜索算法及其特性分析

3.4.1 可采纳性

3.4.2 单调性

3.4.3 信息性