写于 2016.07.17
项目地址:链接描述 项目简介:juejin.cn/post/684490…
关于项目的用法和介绍可以查看上面的两个链接,这篇文章主要内容是对filemap.js的代码进行一步一步的分析,详细介绍其运行原理和优化策略。
知识点准备:
NodeJS的基本使用方法(主要是fs文件系统);ES6特性及语法(let,const,for...of,arrow function...)n叉树先序遍历算法。
知识点1和2请自行查阅资料,现在对知识点3进行分析。
N叉树先序遍历算法
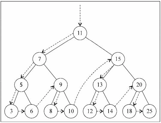
首先明白什么是树。引用数据结构与算法JavaScript描述:
一个树结构包含一系列存在父子关系的节点。每个节点都有一个父节点(除了顶部的第一个节点)以及零个或多个子节点:
位于树顶部的节点叫作根节点(11)。它没有父节点。树中的每个元素都叫作节点,节点分为内部节点和外部节点。至少有一个子节点的节点称为内部节点(7、5、9、15、13和20是内部节点)。没有子元素的节点称为外部节点或叶节点(3、6、8、10、12、14、18和25是叶节点)。 一个节点可以有祖先和后代。一个节点(除了根节点)的祖先包括父节点、祖父节点、曾祖父节点等。一个节点的后代包括子节点、孙子节点、曾孙节点等。例如,节点5的祖先有节点7和节点11,后代有节点3和节点6。 有关树的另一个术语是子树。子树由节点和它的后代构成。例如,节点13、12和14构成了上图中树的一棵子树。 节点的一个属性是深度,节点的深度取决于它的祖先节点的数量。比如,节点3有3个祖先节点(5、7和11),它的深度为3。 树的高度取决于所有节点深度的最大值。一棵树也可以被分解成层级。根节点在第0层,它的子节点在第1层,以此类推。上图中的树的高度为3(最大高度已在图中表示——第3层)。
对于一棵树的遍历,有先序,中序和后序三种遍历方式,在本例中使用的是先序遍历的方式。至于三种遍历方式的异同,请阅读数据结构与算法JavaScript描述,里面有详细的介绍。
首先我们创建一棵树:
let treeObj = {
'1': [
{ '2': [{ '5': [{ '11': '11' }, { '12': '12' }, { '13': '13' }, { '14': '14' }] }] },
{ '3': [{ '6': '6' }, { '7': '7' }] },
{ '4': [{ '8': '8' }, { '9': '9' }, { '10': '10' }] }
]
}
为了简单方便,我把它的key和value都设置成了相同的值。在例子中我们使用的都是key值。
然后分析先序遍历的原理:

先序遍历可以得到整棵树的结构,这正是我们所需要的。接下来看代码如何实现。先看完整代码:
let traverseNode = (node, deep) => {
if (typeof node !== 'string') {
let key = Object.keys(node)
console.log(key, deep)
for (let i = 0; i < node[key].length; i++) {
traverseNode(node[key][i], deep + 1)
}
}
}
traverseNode(treeObj, 1)
我们创建了一个traverseNode()函数,它接收两个对象作为参数。node参数为传入的节点,deep参数为节点的起始深度。
首先使用Object.keys(obj)方法取得节点的key值,同时输出深度值:
let key = Object.keys(node)
console.log(key, deep)
运行,在控制台将会输出[ '1' ] 1。接下来我们使用递归来重复这个过程,进行完整的遍历运算:
for (let i = 0; i < node[key].length; i++) {
traverseNode(node[key][i], deep + 1)
}
这个递归就是我们前文一直在说的先序遍历。对于二叉树:
先序遍历是以优先于后代节点的顺序访问每个节点的。先序遍历的一种应用是打印一个结构化的文档。 先序遍历会先访问节点本身,然后再访问它的左侧子节点,最后是右侧子节点。
在理解完上面这段话以后,不难把先序遍历的思路扩展到n叉树:先访问节点本身,然后从左到右访问它的n个子节点。
每一次完整的for循环都意味着“往下走一层”,所以只需要deep + 1即可知道每一个节点对应的深度。
在本例子的遍历过程中,node都是一个个的对象而非字符串。如果检测到node为字符串,证明其已经到了最后一层,需要停止,否则会无限循环导致溢出,所以我们需要添加一个判断:
if (typeof node !== 'string')
大功告成,现在我们尝试运行一下:
[ '1' ] 1
[ '2' ] 2
[ '5' ] 3
[ '11' ] 4
[ '12' ] 4
[ '13' ] 4
[ '14' ] 4
[ '3' ] 2
[ '6' ] 3
[ '7' ] 3
[ '4' ] 2
[ '8' ] 3
[ '9' ] 3
[ '10' ] 3
完美。
filemap.js原理
filemap.js通过遍历一个文件夹内部的所有子文件和子文件夹,输出其目录结构。我们使用fs文件系统来进行。
const fs = require('fs')
然后来构造核心部分代码:
// 判断类型。若该路径对应的是文件夹则返回true,否则返回false
let isDic = (url) => fs.statSync(url).isDirectory()
const traverseFiles = (path, deep) => {
let files = fs.readdirSync(path)
for (let i = 0, len = files.length; i < len; i++) {
if (files[i] !== 'filemap.js') console.log(deep, files[i], '\n') // 忽略filemap.js本身
let dirPath = path + '\\' + files[i]
// 当且仅当是文件夹时才进行下一轮遍历
if (isDic(dirPath)) traverseFiles(dirPath, deep + 1)
}
}
文件目录结构其实就是一棵典型的n叉树,通过前文的例子,不难明白这段代码的原理。首先通过fs.readdirSync(path)同步地获取某路径对应的所有文件(夹),然后进行递归。可以把它理解为从第二层开始遍历,所以在写法上和前文例子稍有不同。
现在我们已经可以获取文件及其所在的深度了,接下来就是对这些信息进行格式化,使其输出更加直观。为了输出类似
|__folder
|__file1
|__file2
这样的树状结构,我们需要判断不同的深度对应的缩进,所以我们来定义一个placeHolder()函数:
const placeHolder = (num) => {
if (placeHolder.cache[num]) return placeHolder.cache[num] + '|__'
placeHolder.cache[num] = ''
for (let i = 0; i < num; i++) {
placeHolder.cache[num] += ' '
}
return placeHolder.cache[num] + '|__'
}
placeHolder.cache = {}
这里涉及到一个缓存函数执行结果的优化策略。由于该函数多次被使用,如果每一次都是从头开始进行for循环,在性能上有着巨大的浪费。所以我们可以把它的执行结果缓存起来,当以后遇到相同情况时只需要取出缓存的结果即可,无需重新运算,大大提升了性能。
现在我们把核心代码改写一下:
let isDic = (url) => fs.statSync(url).isDirectory()
const traverseFiles = (path, deep) => {
let files = fs.readdirSync(path)
for (let i = 0, len = files.length; i < len; i++) {
if (files[i] !== 'filemap.js') console.log(placeHolder(deep), files[i], '\n') // 忽略filemap.js本身
let dirPath = path + '\\' + files[i]
if (isDic(dirPath)) traverseFiles(dirPath, deep + 1)
}
}
traverseFiles('./', 1)
在根目录中运行node filemap.js,我们就能够得到完美的文件目录树状结构图了。
功能进一步扩展
现在是“无差别”地对所有文件夹进行展开。如果想要忽略某些文件夹,比如.git或者node_modules之类的文件夹,应该如何做呢?参考命令行输入参数的方法,这个需求不难实现。
首先获取需要忽略的文件夹名:
let ignoreCase = {}
if(process.argv[2] === '-i'){
for (let i of process.argv.slice(3)) {
ignoreCase[i] = true
}
}
ignoreCase保存着需要忽略的文件夹名。这里使用对象而不是数组的原因是,当判断一个item是否被已经被保存的时候,item.indexOf(Array)的效率并没有Object[item]来得高。使用for...of循环能够直接取得对象。
接下来我们可以在核心代码中多加一个判断:
let isDic = (url) => fs.statSync(url).isDirectory()
const traverseFiles = (path, deep) => {
let files = fs.readdirSync(path)
let con = false
for (let i = 0, len = files.length; i < len; i++) {
if (files[i] !== 'filemap.js') console.log(placeHolder(deep), files[i], '\n')
con = ignoreCase[files[i]] === undefined? true: false
let dirPath = path + '\\' + files[i]
if (isDic(dirPath) && con) traverseFiles(dirPath, deep + 1)
}
}
被忽略的文件夹将不会进行递归运算。 最后别忘了在退出进程:
process.exit()
至此,完整的filemap.js已经完成,其所有代码如下:
/**
* @author Jrain Lau
* @email jrainlau@163.com
* @date 2016-07-14
*/
'use strict'
const fs = require('fs')
let ignoreCase = {}
if(process.argv[2] === '-i'){
for (let i of process.argv.slice(3)) {
ignoreCase[i] = true
}
}
console.log('\n\nThe files tree is:\n=================\n\n')
const placeHolder = (num) => {
if (placeHolder.cache[num]) return placeHolder.cache[num] + '|__'
placeHolder.cache[num] = ''
for (let i = 0; i < num; i++) {
placeHolder.cache[num] += ' '
}
return placeHolder.cache[num] + '|__'
}
placeHolder.cache = {}
let isDic = (url) => fs.statSync(url).isDirectory()
const traverseFiles = (path, deep) => {
let files = fs.readdirSync(path)
let con = false
for (let i = 0, len = files.length; i < len; i++) {
if (files[i] !== 'filemap.js') console.log(placeHolder(deep), files[i], '\n')
con = ignoreCase[files[i]] === undefined? true: false
let dirPath = path + '\\' + files[i]
if (isDic(dirPath) && con) traverseFiles(dirPath, deep + 1)
}
}
traverseFiles('./', 1)
process.exit()
使用时只需要带上参数-i 文件夹1 文件夹2 ...即可控制文件夹的展开与否。
后记
在学习数据结构与算法JavaScript描述的过程中,有时候真的觉得特别困,后来发挥自己喜欢折腾的个性,想办法把枯燥的东西进行实践,不知不觉就会变得有趣了。在filemap.js的早期版本中有着许多bug和性能问题,比如不合理使用三元表达式,没有缓存函数执行结果,判断文件类型考虑不周等等情况。文中所涉及到的优化策略,有很多是来自他人的指点和一次次的修改才最终得出来的,在此非常感谢给予我帮助的人。
最后感谢你的阅读。我是Jrain,欢迎关注我的专栏,将不定期分享自己的学习体验,开发心得,搬运墙外的干货。下次见啦!

