线性代数及其应用

1,691 阅读6分钟

181219

矩阵相加:只要形状一样,两个矩阵可以相加。

标量与矩阵相乘或相加:将标量与矩阵的每一个元素相乘或相加。

矩阵相乘:C = A B
矩阵A的列数与矩阵B的行数相等,A的形状为m*n,B的形状为n*p,则C的形状为m*p。

元素对应乘积/Hadamard乘积:为矩阵内对应元素的乘积,记为A\bigodotB

两个相同维数的向量x和y的点积可以看做矩阵乘积x转至后与y的矩阵乘积。

矩阵满足分配律、结合律,但不满足交换律。

182122

看了一周的《线性代数及其应用》David C.Lay,虽然豆瓣评分9.1,但是部分翻译跟排版让自己不爽。在知乎上研究了下,发现以前《数据分析实战》作者推荐的Gilbert Strang 著的学起来更容易上手,先试着读下,斟酌下哪本更适合自己。还有人推荐MIT的线代公开课,看视频总觉得会比较慢,还容易犯困,不过也是个备选项。

把微积分的书读了遍,现在觉得重要的是解决一个问题的思想,不是不停的算题,醒悟的晚了些吧。

《Linear Algebra And Its Application》Gilbert Strang

  • This subject begins with two vectors \vec{v} and \vec{w}, point in different directions. The key step is to take particular combination 3\vec{v} + 4\vec{w}, same plane. Their combinations c\vec{v} + d\vec{w} fill the page, but they don't go up from the page.
  • c\vec{v} + d\vec{w} = \vec{b} can be solved when \vec{b} lies in the same plane as \vec{v} and \vec{w}.
  • column space. Linear combinations c\vec{v} + d\vec{w} fill a vector space, we call it the column space of the matrix.
\left[
 \begin{matrix}
   1 & 1  \\
   2 & 3  \\
   3 & 4
  \end{matrix}
  \right] 
\left[
\begin{matrix}
  c\\
  d
\end{matrix}
\right]
  • key goal: row space & column space
  • further goal: how the matric acts. Diagonal matrix(对角线矩阵), orthogonal matrix(正交矩阵), triangular matrix(三角形矩阵), symmetric matrix(对称矩阵)。
  • Eigenvalues of matrix.

181224 -181227

Chapter 1

1.1 简介

本章将深入研究4方面

  • 线性等式对应的几何平面
  • 矩阵标记
  • 消除的异常情况:无解或无限解
  • 消除的步骤数

1.2 线性代数与几何

  • 二维方程组按行来看,在直角坐标系中表示两条直线;按列来看,左边系数表示两个向量,未知数相当于两个标量,左边向量相加后等于右边向量,即一个向量等式。
  • 当方程组由二维扩展到n维时,第一个等式表示n-1维的“面”,第二个等式与第一个等式相交后维度变成n-2, n个等式代表的"面"相交后维度变为0,结果为一个点。
  • 线性代数的中心思想:向量乘以标量后相加,如c\vec{v} + d\vec{w}被称为线性组合。
  • 特殊情况

  1. 三维空间中,两平面平行且与第三个平面相交,无交点。
  2. 三维空间中,三平面两两相交且互相平行,无交点。
  3. 三维空间中,三平面相交于同一直线,无数个交点。(两方程组相加 = 第三个方程组)
  4. 三维空间中,三个平面平行,无交点。

  1. 三个向量在一个平面,\vec{b}不在该平面,无解。
  2. 三个向量在一个平面,\vec{b}也在该平面,无数解。
  3. If the n planes have no point in common, or infinitely many points, then the n columns lie in the same plane.

如何求三维空间两平面相交直线?
方程系数为平面法向量,两方程系数的外积即为直线方向向量。

如何验证三维空间内直线与平面的位置关系?
验证直线的方向向量与平面法向量的关系。

如何判断三个向量在一个平面?
乘以系数后两个向量相加等于第三个向量。

1.3 高斯消元法

  • 高斯消元法
    后面的方程乘以系数后与第一个方程相减,消去第一个未知数,如此操作直至最后一个方程剩下一个未知数,然后反过来求每个未知数的值。
  • 无法消元
    Triangular system某方程组某未知数系数为0,调换方程组顺序后仍不能获得正常Triangular system。
  • 高斯消元法的计算量
O(\frac{n^3}{3})

第二个方程组的第二项 (为了消去第一项) 百度文库有PPT可以参考

a_{22}\frac{a_{11}}{a_{21}}-a_{11}

若把对同一项的加减乘除看做一次运算,则first stage的计算量为n*(n-1)。每一方程的要对n项进行计算,共计n-1个方程组。

(1^2 + ... + n^2)-(1+ ... +n) = \frac{n(n+1)(2n+1)}{6} - \frac{n(n+1)}{2} = \frac{n^3-n}{3}

当n足够大时预算量约等于

\frac{n^3}{3}

190109

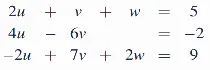
1.4 矩阵符号及矩阵乘法

这节主要讲矩阵符号及矩阵乘法,因为如果要写出方程组的所有消除步骤工作量相当大。矩阵符号描述了最初的方程,矩阵乘法将描述消除步骤变得更简单。
m by n matrix means m rows and n columns.
矩阵相加与相乘同向量类似,向量相当于紧有一列的矩阵。形状相同的矩阵可以相加,矩阵与数值相乘相当于矩阵的每一个元素与数值相乘。

  • 矩阵和向量乘法

方程组可以用矩阵的形式表达


行与列相乘是矩阵乘法里最基础的,类似于向量的内积。
The product Ax可以看做以x中元素为系数,矩阵A中各列构成的新矩阵。

矩阵A中的元素用a_{ij}表示,i表示第i行,j表示第j列。向量x中元素用x_j表示。The product Ax中的元素通过如下方式表示。

  • 方程组消除步骤中的矩阵形式
    方程组在消除的过程中右侧的向量发生了什么变化?
    可以通过乘以Elementary matrix的方式表示,将第一行的元素*(-2)加上第二行的元素可以表示为
    identity matrix I , I b = b
    elementary matrix E
  • 矩阵乘法
    怎么理解下面这句话呢?E这个消除矩阵乘以一个方程组的系数矩阵乘以未知数向量x, 仔细想想这三个数好像怎么相乘结果都是一致的呢。
    (AB)_{ij} = A中第i行与B中第j列对应的元素相乘再相加
    矩阵乘法的性质:
  • (AB)C = A(BC)
  • A(B+C) = AB+AC and (B+C)D = BD+CD

1901016

1.5 三角因子及行交换

A = LU
由原矩阵转化为上三角矩阵:
U = GFEA
E、F、G分别为每个步骤消除元素时包含所成倍数的消除矩阵
下三角矩阵为:
L = E^{-1}F^{-1}G^{-1}
两个矩阵相乘之后结果为对称轴为1其他位置为0的矩阵,那么两个矩阵互为逆矩阵。

将原矩阵化为两个三角矩阵,即
Ax = b -> Lc = b and Ux = c
先求出c,然后求x
U的对称轴上元素不都为1,那么将每一行除以该行对称轴上的元素,方程转化为 A = LDU

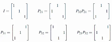
行交换:
通过将原矩阵前乘以P(转换矩阵)得到预期位置的矩阵。

行交换后,由于U进行了行交换,计算L时要按照交换后的矩阵计算。

不太理解的地方:

  • 转化为两个三角矩阵后的计算量变为\frac{n^2}2
  • 计算微积分时的顺序不一定一样

190109

1.7 Special Matrices and 应用

现实中遇到的矩阵很多情况下是对称的,大部分系数为0。这节主要讲了tridiagonal matrix.如second derivativea

运算量为P = 1/3w(w-1)(3n-2w+1)