TensorFlow手把手教你概率编程:TF Probability内置了开源教材,新手友好

876 阅读6分钟
原文链接: zhuanlan.zhihu.com
晓查 栗子 发自 凹非寺
量子位 出品 | 公众号 QbitAI

大家可能知道,要做概率编程 (Probabilistic Programming) 的话,TensorFlow Probability (TFP) 这个库是个不错的选择。

大家可能不知道,现在TFP里面内置了一本开源教材注重实践,可以手把手教你学概率编程。就算是新手,就算没有用过TFP,也不要紧:

就是这本书,Bayesian Methods for Hackers。入门教材,拥有各种示例。

(TFP版本的教材,也是先前PyMC3版本的一个补充。)

这本教材,除了适合新人上手概率编程,也展示了概率编程在现实问题中的应用。

概率编程,人人可学

贝叶斯方法,提供了一个相对直观的框架,把信念表征 (Representing Beliefs) 出来,再根据新的数据来更新这些信念。

教材以TFP库为根基,向大家传授这样的技术,还有许多动手实践活动帮助大家练习。

这本书是在Google Colab里面写的,里面的Python示例可以运行也可以修改

现在有友好的教材了,来学概率编程吧。毕竟,从金融到石油天然气,各行各业可能都用得到:不确定性 (Uncertainty) 无处不在,许多事件都可能受到外部因素的影响。如果抛开这些因素,模型就可能不准了,所以才有了概率编程,才有了TFP库。

那么,来看一下TFP是怎样解决现实问题的:

解决现实世界的问题

Bayesian Methods for Hackers一书从简单问题开始,比如用于硬币正反和骰子点数问题,然后转向更为现实的问题,包括从理解宇宙到检测在线用户行为的变化。

下面我们将概述一个著名的现实世界问题:1986年挑战者航天飞机灾难性事故。书中对此问题有更详细的处理。

1986年1月28日,美国挑战者号航天飞机的第25次飞行中,由于O形圈故障,挑战者号的两个固体火箭助推器中的一个爆炸了。 虽然工程师与O形圈制造商就先前飞行中的损坏进行了多次沟通,但制造商认为风险是可以接受的。

下图描述了对先前航天飞机任务中的七次O形圈损坏事件的观测,这是损坏事件对环境温度的函数。 (在70度时,有两个损坏事件。注:温度均为华氏度,下同。)



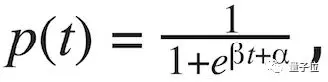
你会注意到,随着温度的降低,O形圈损坏的比例会显著增加,但是没有明显的温度阈值,低于该阈值时O形圈就一定会失效。 与现实世界大多数现象一样,这个问题存在不确定性。 我们希望在给定温度t下,确定O形圈失效的概率是多少?

我们可以使用逻辑函数模拟温度t下O形环损坏的概率p :



其中β确定概率函数的形状,α是偏移项,控制函数的左右移动。 由于这两个参数都可以是正的或负的,没有特定的边界或大小的偏差,我们可以将它们建模为高斯分布随机变量:



在TFP中,我们可以用tfp.distributions.Normal直观地表示α和β,代码如下:



请注意,我们在第8行得到p(t)的实际值0或1,其中我们使用先前在第6行和第7行中采样的α和β值对概率函数进行采样。另外,请注意evaluate()辅助函数允许我们无缝地在图形和eager模式之间转换,同时将张量值转换为numpy。

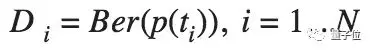
为了将温度t、失效概率p(t)与我们的观测数据联系起来,我们可以使用带参数p(t)的伯努利随机变量。 注意,通常,Ber(p)是随机变量,其值为1的概率为p,其余情况下为0。 因此,生成模型的最后一部分是某温度下观测到有缺陷事件的数量D𝑖 ,它可以建模为:



鉴于这种生成模型,我们希望找到模型参数,可以解释观察到的数据,这正是是概率推理的目标。

TFP通过使用非标准化联合对数概率函数评估模型来执行概率推断。此joint_log_prob的参数是数据和模型状态。 该函数返回参数化模型生成观测数据的联合概率的对数。



接下来,我们使用joint_log_prob函数,并将其发送到tfp.mcmc模块。 马尔可夫链蒙特卡洛(MCMC)算法对未知输入值进行有根据的猜测,计算joint_log_prob函数中参数集的可能性。 通过多次重复此过程,MCMC构建了可能参数的分布。 构建此分布是概率推理的目标。

因此,我们将通过challenge_joint_log_prob函数设置一种特定类型的MCMC,称为“哈密顿蒙特卡洛”:


最后,我们将通过evaluate()辅助函数进行推理:



通过绘制α和β的分布图,我们注意到这两个参数分布相当宽:



正如我们上面提到的,我们真正想知道的是: 在给定温度下O形环损坏的预期概率是多少? 为了计算这个概率,我们可以对来自后验的所有样本求平均值,得到概率的可能值。



然后我们可以在整个温度范围内计算95%的可信区间。 请注意,这是一个可靠的区间,而不是通常在统计分析方法中的置信区间。 95%可信区间告诉我们,我们可以95%的概率确定真实值将位于此区间内。 例如,正如下图中的紫色区域,在50度时,我们可以95%确定O形圈损坏的概率介于1.0和0.80之间。



挑战者号事故发生当天的温度为31华氏度。事实证明,O形圈失效的后验分布将使我们高度确信会出现损坏的问题。

这种相当简单的概率分析证明了TFP和贝叶斯方法的强大功能:它们可以提供有价值的分析,对可能产生重大后果的实际问题进行预测。

关于TensorFlow Probability

TensorFlow Probability是一个Python库,可以把概率模型和深度学习轻松结合起来。

机器学习研究人员或者工程师,都可以用它编码领域知识 (Domain Knowledge),就是某个特定领域的专业知识,从而理解数据并写出自己的应用。这里有:

· 许多种类的概率分布,以及Bijectors;
· 搭建概率模型的各种工具,比如概率层 (Probabilistic Layers) 以及Edward2语言;
· 变分推理 (Variational Inference) 和马尔科夫链蒙特卡洛 (MCMC) ;
· 以及各种优化器,比如Nelder-Mead,BFGS和SGLD。

现在,连教材也在里面了,大家可以开始愉快地学习了。

TensorFlow Probability传送门:

https://www.tensorflow.org/probability/www.tensorflow.org

《Bayesian Methods for Hackers》电子书:

CamDavidsonPilon/Probabilistic-Programming-and-Bayesian-Methods-for-Hackersgithub.com图标

博客传送门:

https://medium.com/tensorflow/an-introduction-to-probabilistic-programming-now-available-in-tensorflow-probability-6dcc003ca29e?linkId=60908456medium.com


量子位 · QbitAI
վ'ᴗ' ի 追踪AI技术和产品新动态

量子位www.zhihu.com图标

欢迎大家关注我们,以及订阅我们的知乎专栏
诚挚招聘
量子位正在招募编辑/记者,工作地点在北京中关村。期待有才气、有热情的同学加入我们!
相关细节,请在量子位公众号(QbitAI)对话界面,回复“招聘”两个字。