三、线性可分SVM算法流程
输入线性可分的m个样本数据{(x1,y1),(x2,y2),...,(xm,ym)},其中x为n维的特征向量,y为二元输出,取值为+1或者-1;SVM模型输出为参数w、b以及分类决策函数。
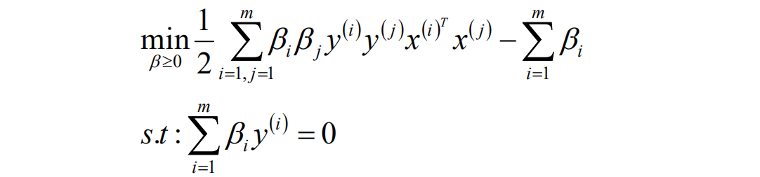
1、构造约束优化问题;

2、使用SMO算法求出上式优化中对应的最优解β*;
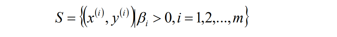
3、找出所有的支持向量集合S;


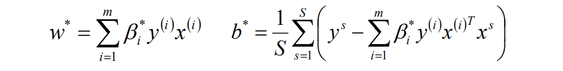
4、更新参数w、b的值;

5、构建最终的分类器

四、线性可分案例
回顾 :构造约束优化问题的公式

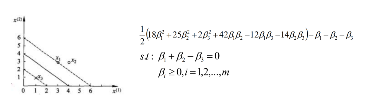
案例:
给定三个数据点:正例点x1=(3,3),x2=(4,3), 负例点x3=(1,1),构造此时的约束优化条件。


五、线性可分SVM总结
1、要求数据必须是线性可分的。
2、纯线性可分的SVM模型对于异常数据的预测可能会不太准。
3、对于线性可分的数据,SVM分类器的效果非常不错。