昼夜节律如何控制我们身体的生物钟?

1,037 阅读6分钟
原文链接: zhuanlan.zhihu.com
本文首发于微信公众号“脑人言”(ibrain-talk),授权转载请联系后台管理员。

文:

睡眠是夜晚对大自然生物的馈赠。


当清晨的第一缕阳光洒落在窗台上,我们的身体和大脑便从睡眠中缓缓苏醒过来,一夜的睡眠过后身体和大脑会重新恢复精力,而疲劳则会一扫而光。神经科学将睡眠定义为:生物体在夜晚自然出现的可逆转休息状态,睡眠发生时机体会进入不活跃的休息状态,对外界的信息传入敏感性降低,同时大脑进入无意识状态【1】。

丘脑视交叉上核SCN是睡眠/觉醒的控制中枢,它能通过神经投射和内分泌递质扩散的方式调节身体的生物钟节律。哺乳动物的睡眠由慢波睡眠和快速眼动睡眠两种状态构成,睡眠前期以慢波睡眠为主,进入深度休息状态的身体会在免疫调节物质的作用下恢复能量、修补机体损伤,睡眠后期以快速眼动睡眠为主,身体能量会逐渐恢复至清醒水平,此时轻微的响动或光线便能唤醒睡眠【2】。

昼夜节律普遍存在于动植物体内。
昼夜节律是地球生物普遍存在的生物节律,它与地球自转过程中的明暗交替紧密相关。丘脑视交叉上核SCN是生物体昼夜节律的起搏器,它精确控制着动物饮食/禁食、觉醒/睡眠的生物钟,而植物的光合作用也受到昼夜节律的调节【3】。

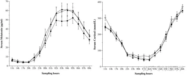
褪黑素(melatonin)和皮质醇(cortisol)在睡眠和觉醒中发挥重要作用【4】。

1723年,法国天体物理学家De Mairan最早在含羞草上发现了昼夜节律,他观察到含羞草的叶片会随着太阳运动的轨迹改变方位,而夜晚降临后叶片又会自然下垂,叶片的运动引起了De Mairan极大的研究兴趣。当他将含羞草放进密闭的空间后,含羞草叶片依然表现出同样的运动规律【2】,于是他断定含羞草存在着与天体运动同步的内在节律。人体内昼夜节律的发现大约在200多年后,1938年芝加哥大学的研究者Kleitman和Richardson在肯塔基州的地下实验室进行了为期6周的实验,在完全隔绝太阳光照的环境下,他们发现人体睡眠与觉醒、身体核心温度的变化依然存在稳定的24小时节律【2】。

2017年诺贝尔生理学或医学奖授予了3位揭示昼夜节律分子调控机制的科学家【4】,他们在实验中发现果蝇丘脑内存在一种表达Per蛋白的周期基因(period gene)和表达TIM蛋白的无时间基因(timeless gene),在夜晚Per蛋白会与TIM蛋白结合从细胞质进入细胞核,并在细胞核中存储堆积,而白天堆积在细胞核内的Per蛋白则会逐渐降解,Per蛋白堆积和降解的过程正好对应地球的黑夜和白天,而这个周期十分接近24小时。

昼夜节律,中枢与外周神经系统的对话。

生物体的神经系统由脑与植物性神经系统组成,下丘脑SCN作为昼夜节律的调节中枢,能通过直接的神经投射和间接的神经递质扩散,以中枢带动外周同步改变的方式来调节植物性神经系统发挥作用,使机体适应外部环境的变化。

身体核心温度在一天中的动态变化

身体核心温度(即直肠温度)是昼夜节律的重要组成部分,它在一天中不同时刻呈现动态变化趋势,下午最高,后半夜最低。核心温度一般在我们入睡后两小时将至最低点,但即便我们整夜不睡,核心温度依旧会在夜里降至最低点,并在早晨恢复到正常水平。

褪黑素分泌随时间变化呈现动态变化

褪黑素在睡眠与觉醒发生过程中发挥重要作用,它由松果体(pineal gland)合成分泌,通过血液运输扩散至大脑其他区域,促进睡眠的发生。褪黑素的分泌与环境中的光亮度变化紧密相关,它在日落后开始大量分泌,在午夜升至最大值,在日出后逐渐停止分泌。夜晚光照特别是蓝光照射会抑制褪黑素的合成分泌,推迟睡眠的发生,并在一定程度上缩短睡眠时间,降低睡眠质量。

虽然日夜交替控制着昼夜节律的沉睡与苏醒,但饮食/禁食的节律似乎更能准确地调节身体的代谢功能【6】。糖皮质激素与饮食/禁食、食物消化、能量代谢节律密切相关,下丘脑-垂体控制的促肾上腺皮质素释放激素和促肾上腺皮质激素会提升体内的糖皮质激素水平,进而提升机体代谢水平。虽然光照可以通过激活SCN来调控身体的昼夜节律,但饮食能更好地促进身体从沉睡中苏醒过来。睡眠后糖皮质激素分泌增多能提高肝脏糖异生水平,进而刺激肝糖原转换成葡萄糖,进入血液为大脑和肌肉供能,更好地唤醒身体并维持觉醒。

此外,外周昼夜节律基因的表达还受到中枢生物钟和阶段性进食信号的调节。在夜晚对大鼠施以光照并限制饮食,大鼠身体核心温度和糖皮质激素水平都会变紊乱,而肝脏、肾脏、心脏和胰腺的生物钟基因表达也都会被逆转。

总结一下

昼夜节律普遍存在于动物、植物体内,它与地球自转导致的昼夜交替紧密相关。下丘脑视交叉上核SCN作为脑内昼夜节律的控制器,能通过神经投射和内分泌递质的方式来与身体对话,使身体与脑的生物钟彼此协调。此外,饮食也对身体生物钟的运行有一定调节作用。

参考文献

【1】Björn Rasch and Jan Born, About sleep’s role in memory, Physiological Review 93: 681–766, 2013 doi:10.1152/physrev.00032.2012

【2】Matthew Walke, Why We Sleep, 2017

【3】百度百科-昼夜节律

【4】Yvan Touitou, Alain Reinberg, David Touitou, Association between light at night, melatonin secretion, sleep deprivation, and the internal clock: Health impacts and mechanisms of circadian disruption, Life Sciences 173 (2017) 94–106

【5】Nobel Prize. 2017. The Nobel Prize in medicine 2017: popular information

【6】Santiago A. Plano, Leandro P. Casiraghi, Paula García Moro, Natalia Paladino, Diego A. Golombek and Juan J. Chiesa, Circadian and Metabolic effects of Light: implications in weight Homeostasis and Health, Frontiers in Neurology. 2017; 8: 558


欢迎大家关注我们的其他平台:
微信公众号:脑人言(ibrain-talk)
新浪微博:脑人言