
从头开始写机器学习算法能够获得很多经验。当你最终完成时,你会惊喜万分,而且你明白这背后究竟发生了什么。
有些算法比较复杂,我们不从简单的算法开始,而是要从非常简单的算法开始,比如单层感知器。
本文以感知器为例,通过以下 6 个步骤引导你从头开始写算法:
● 对算法有基本的了解● 找到不同的学习资源
● 将算法分解成块
● 从简单的例子开始
● 用可信的实现进行验证
● 写下你的过程
基本了解
不了解基础知识,就无法从头开始处理算法。至少,你要能回答下列问题:
● 它是什么?● 它一般用在什么地方?
● 什么时候不能用它?
就感知器而言,这些问题的答案如下:
● 单层感知器是最基础的神经网络,一般用于二分类问题(1 或 0,「是」或「否」)。● 它可以应用在一些简单的地方,比如情感分析(积极反应或消极反应)、贷款违约预测(「会违约」,「不会违约」)。在这两种情况中,决策边界都是线性的。
● 当决策边界是非线性的时候不能使用感知器,要用不同的方法。

借助不同的学习资源
在对模型有了基本了解之后,就可以开始研究了。有人用教科书学得更好,而有人用视频学得更好。就我而言,我喜欢到处转转,用各种各样的资源学习。
如果是学数学细节的话,书的效果很好(参见:https://www.dataoptimal.com/data-science-books-2018/),但对于更实际的例子,我更推荐博客和 YouTube 视频。
以下列举了一些关于感知器不错的资源:
书
● 《统计学习基础》(The Elements of Statistical Learning),第 4.5.1 节(https://web.stanford.edu/~hastie/Papers/ESLII.pdf)● 《深入理解机器学习:从原理到算法》,第 21.4 节(https://www.cs.huji.ac.il/~shais/UnderstandingMachineLearning/understanding-machine-learning-theory-algorithms.pdf)
博客
● Jason Brownlee 写的《如何用 Python 从零开始实现感知器算法》(https://machinelearningmastery.com/implement-perceptron-algorithm-scratch-python/)● Sebastian Raschka 写的《单层神经网络和梯度下降》(https://sebastianraschka.com/Articles/2015_singlelayer_neurons.html)
视频
● 感知器训练(https://www.youtube.com/watch?v=5g0TPrxKK6o)● 感知器算法的工作原理(https://www.youtube.com/watch?v=1XkjVl-j8MM)
将算法分解成块
现在我们已经收集好了资料,是时候开始学习了。与其从头读一个章节或者一篇博客,不如先浏览章节标题和其他重要信息。写下要点,并试着概述算法。
在看过这些资料之后,我将感知器分成下列 5 个模块:
● 初始化权重● 将输入和权重相乘之后再求和
● 比较上述结果和阈值,计算输出(1 或 0)
● 更新权重
● 重复
接下来我们详细叙述每一个模块的内容。
1. 初始化权重
首先,我们要初始化权重向量。
权重数量要和特征数量相同。假设我们有三个特征,权重向量如下图所示。权重向量一般会初始化为 0,此例中将一直采用该初始化值。

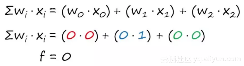
2. 输入和权重相乘再求和
接下来,我们就要将输入和权重相乘,再对其求和。为了更易于理解,我给第一行中的权重及其对应特征涂上了颜色。

在我们将特征和权重相乘之后,对乘积求和。一般将其称为点积。

最终结果是 0,此时用「f」表示这个暂时的结果。
3. 和阈值比较
计算出点积后,我们要将它和阈值进行比较。我将阈值定为 0,你可以用这个阈值,也可以试一下其他值。

由于之前计算出的点积「f」为 0,不比阈值 0 大,因此估计值也等于 0。
将估计值标记为「y hat」,y hat 的下标 0 对应的是第一行。当然你也可以用 1 表示第一行,这无关紧要,我选择从 0 开始。
如果将这个结果和真值比较的话,可以看出我们当前的权重没有正确地预测出真实的输出。

由于我们的预测错了,因此要更新权重,这就要进行下一步了。
4. 更新权重
我们要用到下面的等式:

基本思想是在迭代「n」时调整当前权重,这样我们将在下一次迭代「n+1」时得到新权重。
为了调整权重,我们需要设定「学习率」,用希腊字母「eta(η)」标记。我将学习率设为 0.1,当然就像阈值一样,你也可以用不同的数值。
目前本教程主要介绍了:

现在我们要继续计算迭代 n=2 时的新权重了。

我们成功完成了感知器算法的第一次迭代。
5. 重复
由于我们的算法没能计算出正确的输出,因此还要继续。
一般需要进行大量的迭代。遍历数据集中的每一行,每一次迭代都要更新权重。一般将完整遍历一次数据集称为一个「epoch」。
我们的数据集有 3 行,因此如果要完成 1 个 epoch 需要经历 3 次迭代。我们也可以设置迭代总数或 epoch 数来执行算法,比如指定 30 次迭代(或 10 个 epoch)。与阈值和学习率一样,epoch 也是可以随意使用的参数。
在下一次迭代中,我们将使用第二行特征。

此处不再重复计算过程,下图给出了下一个点积的计算:

接着就可以比较该点积和阈值来计算新的估计值、更新权重,然后再继续。如果我们的数据是线性可分的,那么感知器最终将会收敛。
从简单的例子开始
我们已经将算法分解成块了,接下来就可以开始用代码实现它了。
简单起见,我一般会以非常小的「玩具数据集」开始。对这类问题而言,有一个很好的小型线性可分数据集,它就是与非门(NAND gate)。这是数字电路中一种常见的逻辑门。

由于这个数据集很小,我们可以手动将其输入到 Python 中。我添加了一列值为 1 的虚拟特征(dummy feature)「x0」,这样模型就可以计算偏置项了。你可以将偏置项视为可以促使模型正确分类的截距项。
以下是输入数据的代码:
# Importing libraries
# NAND Gate
# Note: x0 is a dummy variable for the bias term
# x0 x1 x2
x = [[1., 0., 0.],
[1., 0., 1.],
[1., 1., 0.],
[1., 1., 1.]]
y =[1.,
1.,
1.,
0.]
与前面的章节一样,我将逐步完成算法、编写代码并对其进行测试。
1. 初始化权重
第一步是初始化权重。
# Initialize the weights
import numpy as np
w = np.zeros(len(x[0]))
Out:
[ 0. 0. 0.]
注意权重向量的长度要和特征长度相匹配。以 NAND 门为例,它的长度是 3。
2. 将权重和输入相乘并对其求和
我们可以用 Numpy 轻松执行该运算,要用的方法是 .dot()。
从权重向量和第一行特征的点积开始。
# Dot Product
f = np.dot(w, x[0])
print f
Out:
0.0
如我们所料,结果是 0。为了与前面的笔记保持连贯性,设点积为变量「f」。
3. 与阈值相比较
为了与前文保持连贯,将阈值「z」设为 0。若点积「f」大于 0,则预测值为 1,否则,预测值为 0。将预测值设为变量 yhat。
# Activation Function
z = 0.0
if f > z:
yhat = 1.
else:
yhat = 0.
print yhat
Out:
0.0
正如我们所料,预测值是 0。
你可能注意到了在上文代码的注释中,这一步被称为「激活函数」。这是对这部分内容的更正式的描述。
从 NAND 输出的第一行可以看到实际值是 1。由于预测值是错的,因此需要继续更新权重。
4. 更新权重
现在已经做出了预测,我们准备更新权重。
# Update the weights
eta = 0.1
w[0] = w[0] + eta*(y[0] - yhat)*x[0][0]
w[1] = w[1] + eta*(y[0] - yhat)*x[0][1]
w[2] = w[2] + eta*(y[0] - yhat)*x[0][2]
print w
Out:
[ 0.1 0. 0. ]
要像前文那样设置学习率。为与前文保持一致,将学习率 η 的值设为 0.1。为了便于阅读,我将对每次权重的更新进行硬编码。
权重更新完成。
5. 重复
现在我们完成了每一个步骤,接下来就可以把它们组合在一起了。
我们尚未讨论的最后一步是损失函数,我们需要将其最小化,它在本例中是误差项平方和。

我们要用它来计算误差,然后看模型的性能。
把它们都放在一起,就是完整的函数:
import numpy as np
# Perceptron function
def perceptron(x, y, z, eta, t):
'''
Input Parameters:
x: data set of input features
y: actual outputs
z: activation function threshold
eta: learning rate
t: number of iterations
'''
# initializing the weights
w = np.zeros(len(x[0]))
n = 0
# initializing additional parameters to compute sum-of-squared errors
yhat_vec = np.ones(len(y)) # vector for predictions
errors = np.ones(len(y)) # vector for errors (actual - predictions)
J = [] # vector for the SSE cost function
while n < t: for i in xrange(0, len(x)): # dot product f = np.dot(x[i], w) # activation function if f >= z:
yhat = 1.
else:
yhat = 0.
yhat_vec[i] = yhat
# updating the weights
for j in xrange(0, len(w)):
w[j] = w[j] + eta*(y[i]-yhat)*x[i][j]
n += 1
# computing the sum-of-squared errors
for i in xrange(0,len(y)):
errors[i] = (y[i]-yhat_vec[i])**2
J.append(0.5*np.sum(errors))
return w, J
现在已经编写了完整的感知器代码,接着是运行代码:
# x0 x1 x2
x = [[1., 0., 0.],
[1., 0., 1.],
[1., 1., 0.],
[1., 1., 1.]]
y =[1.,
1.,
1.,
0.]
z = 0.0
eta = 0.1
t = 50
print "The weights are:"
print perceptron(x, y, z, eta, t)[0]
print "The errors are:"
print perceptron(x, y, z, eta, t)[0]
Out:
The weights are:
[ 0.2 -0.2 -0.1]
The errors are:
[0.5, 1.5, 1.5, 1.0, 0.5, 0.0, 0.0, 0.0, 0.0, 0.0, 0.0, 0.0, 0.0, 0.0, 0.0, 0.0, 0.0, 0.0, 0.0, 0.0, 0.0, 0.0, 0.0, 0.0, 0.0, 0.0, 0.0, 0.0, 0.0, 0.0, 0.0, 0.0, 0.0, 0.0, 0.0, 0.0, 0.0, 0.0, 0.0, 0.0, 0.0, 0.0, 0.0, 0.0, 0.0, 0.0, 0.0, 0.0, 0.0, 0.0]
我们可以看到,第 6 次迭代时误差趋近于 0,且在剩余迭代中误差一直是 0。当误差趋近于 0 并保持为 0 时,模型就收敛了。这告诉我们模型已经正确「学习」了适当的权重。
下一部分,我们将用计算好的权重在更大的数据集上进行预测。
用可信的实现进行验证
到目前为止,我们已经找到了不同的学习资源、手动完成了算法,并用简单的例子测试了算法。
现在要用可信的实现和我们的模型进行比较了。
我们使用的是 scikit-learn 中的感知器:http://scikit-learn.org/stable/modules/generated/sklearn.linear_model.Perceptron.html。
我们将按照以下几步进行比较:
● 导入数据● 将数据分割为训练集和测试集
● 训练感知器
● 测试感知器
● 和 scikit-learn 感知器进行比较
1. 导入数据
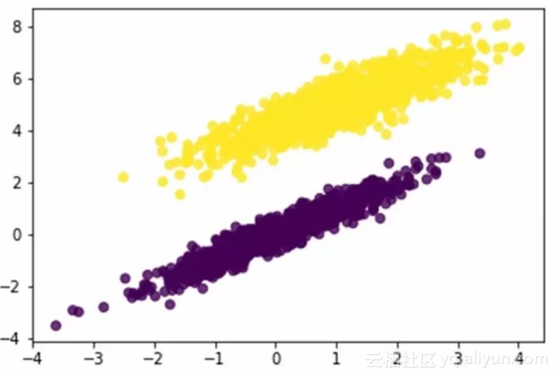
首先导入数据。你可以在这里(https://github.com/dataoptimal/posts/blob/master/algorithms from scratch/dataset.csv)得到数据集的副本。这是我创建的线性可分数据集,确保感知器可以起作用。为了确认,我们还将数据绘制成图。
从图中很容易看出来,我们可以用一条直线将数据分开。
import pandas as pd
import numpy as np
import matplotlib.pyplot as plt
df = pd.read_csv("dataset.csv")
plt.scatter(df.values[:,1], df.values[:,2], c = df['3'], alpha=0.8)
text

在继续之前,我先解释一下绘图的代码。我用 Pandas 导入 csv,它可以自动将数据放入 DataFrame 中。为了绘制数据,我要将值从 DataFrame 中取出来,因此我用了 .values 方法。特征在第一列和第二列,因此我在散点图函数中用了这些特征。第 0 列是值为 1 的虚拟特征,这样就能计算截距。这与上一节中的 NAND 门操作相似。最后,在散点图函数中令 c = df['3'], alpha = 0.8 为两个类着色。输出是第三列数据(0 或 1),所以我告诉函数用列「3」给这两个类着色。
你可以在此处(https://matplotlib.org/api/_as_gen/matplotlib.pyplot.scatter.html)找到更多关于 Matplotlib 散点图函数的信息。
2. 将数据分割成训练集/测试集
现在我们已经确定数据可线性分割,那么是时候分割数据了。
在与测试集不同的数据集上训练模型是很好的做法,这有助于避免过拟合。还有不同的方法,但是简单起见,我要用一个训练集和一个测试集。首先打乱数据。
df = df.values
np.random.seed(5)
np.random.shuffle(df)
先将数据从 DataFrame 变为 numpy 数组。这样就可以更容易地使用 numpy 函数了,比如 .shuffle。为了结果的可重复性,我设置了随机种子 (5)。完成后,我试着改变随机种子,并观察结果会产生怎样的变化。接下来,我将 70% 的数据分为训练集,将 30% 的数据作为测试集。
train = df[0:int(0.7*len(df))]
test = df[int(0.7*len(df)):int(len(df))]
最后一步是分离训练集和测试集的特征和输出。
x_train = train[:, 0:3]
y_train = train[:, 3]
x_test = test[:, 0:3]
y_test = test[:, 3]
我在这个例子中将 70% 的数据作为训练集,将 30% 的数据作为测试集,你们可以研究 k 折交叉验证等其他方法。
3. 训练感知器
我们可以重复使用之前的章节中构建的代码。
def perceptron_train(x, y, z, eta, t):
'''
Input Parameters:
x: data set of input features
y: actual outputs
z: activation function threshold
eta: learning rate
t: number of iterations
'''
# initializing the weights
w = np.zeros(len(x[0]))
n = 0
# initializing additional parameters to compute sum-of-squared errors
yhat_vec = np.ones(len(y)) # vector for predictions
errors = np.ones(len(y)) # vector for errors (actual - predictions)
J = [] # vector for the SSE cost function
while n < t: for i in xrange(0, len(x)): # dot product f = np.dot(x[i], w) # activation function if f >= z:
yhat = 1.
else:
yhat = 0.
yhat_vec[i] = yhat
# updating the weights
for j in xrange(0, len(w)):
w[j] = w[j] + eta*(y[i]-yhat)*x[i][j]
n += 1
# computing the sum-of-squared errors
for i in xrange(0,len(y)):
errors[i] = (y[i]-yhat_vec[i])**2
J.append(0.5*np.sum(errors))
return w, J
z = 0.0
eta = 0.1
t = 50
perceptron_train(x_train, y_train, z, eta, t)
接下来看权重和误差项平方和。
w = perceptron_train(x_train, y_train, z, eta, t)[0]
J = perceptron_train(x_train, y_train, z, eta, t)[1]
print w
print J
Out:
[-0.5 -0.29850122 0.35054929]
[4.5, 0.0, 0.0, 0.0, 0.0, 0.0, 0.0, 0.0, 0.0, 0.0, 0.0, 0.0, 0.0, 0.0, 0.0, 0.0, 0.0, 0.0, 0.0, 0.0, 0.0, 0.0, 0.0, 0.0, 0.0, 0.0, 0.0, 0.0, 0.0, 0.0, 0.0, 0.0, 0.0, 0.0, 0.0, 0.0, 0.0, 0.0, 0.0, 0.0, 0.0, 0.0, 0.0, 0.0, 0.0, 0.0, 0.0, 0.0, 0.0, 0.0]
现在权重对我们来说意义不大了,但是我们在测试感知器时还要再使用这些数值,以及用这些权重比较我们的模型和 scikit-learn 的模型。
根据误差项平方和可以看出,感知器已经收敛了,这是我们预料中的结果,因为数据是线性可分的。
4. 测试感知器
现在是时候测试感知器了。我们要建立一个小的 perceptron_test 函数来测试模型。与前文类似,这个函数取我们之前用 perceptron_train 函数和特征计算出的权重的点积以及激活函数进行预测。之前唯一没见过的只有 accuracy_score,这是 scikit-learn 中的评估指标函数。
将所有的这些放在一起,代码如下:
from sklearn.metrics import accuracy_score
w = perceptron_train(x_train, y_train, z, eta, t)[0]
def perceptron_test(x, w, z, eta, t):
y_pred = []
for i in xrange(0, len(x-1)):
f = np.dot(x[i], w)
# activation function
if f > z:
yhat = 1
else:
yhat = 0
y_pred.append(yhat)
return y_pred
y_pred = perceptron_test(x_test, w, z, eta, t)
print "The accuracy score is:"
print accuracy_score(y_test, y_pred)
得分为 1.0 表示我们的模型在所有的测试数据上都做出了正确的预测。因为数据集明显是可分的,所以结果正如我们所料。
5. 和 scikit-learn 感知器进行比较
最后一步是将我们的感知器和 scikit-learn 的感知器进行比较。下面的代码是 scikit-learn 感知器的代码:
from sklearn.linear_model import Perceptron
# training the sklearn Perceptron
clf = Perceptron(random_state=None, eta0=0.1, shuffle=False, fit_intercept=False)
clf.fit(x_train, y_train)
y_predict = clf.predict(x_test)
现在我们已经训练了模型,接下来要比较这个模型的权重和我们的模型计算出来的权重。
Out:
sklearn weights:
[-0.5 -0.29850122 0.35054929]
my perceptron weights:
[-0.5 -0.29850122 0.35054929]
scikit-learn 模型中的权重和我们模型的权重完全相同。这意味着我们的模型可以正确地工作,这是个好消息。
在结束之前还有一些小问题。在 scikit-learn 模型中,我们将随机状态设置为「None」而且没有打乱数据。这是因为我们已经设置了随机种子,而且已经打乱过数据,不用再做一次。还需要将学习率 eta0 设置为 0.1,和我们的模型相同。最后一点是截距。因为我们已经设置了值为 1 的虚拟特征列,因此模型可以自动拟合截距,所以不必在 scikit-learn 感知器中打开它。
这些看似都是小细节,但是如果不设置它们的话,我们的模型就无法重复得到相同的结果。这是重点。在使用模型之前,阅读文档并了解不同的设置有什么作用非常重要。
写下你的过程
这是该过程的最后一步,可能也是最重要的一步。
你刚刚经历了学习、做笔记、从头开始写算法以及用可信实现进行比较的流程。不要浪费这些努力!
写下过程原因有二:
● 你要更深刻地理解这个过程,因为你还要将你学到的东西教给别人。● 你要向潜在雇主展示这个过程。
从机器学习库中实现算法是一回事,从头开始实现算法是另一回事,它会给人留下深刻印象。
GitHub 个人资料是展示你所做工作的一种很好的方法。
总结
本文介绍了如何从零开始实现感知器。这是一种在更深层次上学习算法的好方法,而你还可以自己实现它。你在大多数情况下用的都是可信的实现,但是如果你真的想要更深入地了解背后发生了什么,从头实现算法是很好的练习。
原文发布时间为:2018-11-29 本文来自云栖社区合作伙伴“CDA数据分析师”,了解相关信息可以关注“ CDA数据分析师”。