一些数论的定理
完全剩余系(n个不同的剩余类)
- 剩余系引理2: 若a , b, c为任意3个整数,m为正整数,且(m, c ) = 1, 则当ac ≡ bc (mod m) 时,有a ≡ b (mod m)
- 简单的证明:ac ≡ bc (mod m) 可得 ac – bc ≡ 0 (mod m) 可得 (a - b)c ≡ 0 (mod m) 因为m, c互质,c可以约去,a – b ≡ 0 (mod m) 可得 a ≡ b(mod m)
- 剩余系引理7: m是一个整数,且m > 1,b是一个整数且(m, b) = 1。如果a1, a2, a3, a4, … am是模m的一个完全剩余系,则ba1, ba2, ba3, ba4, … bam也构成模m的一个完全剩余系
- 简单的证明:如果不是完全剩余系,则存在bai ≡ baj (mod m),由于b和m互质 可以得出ai ≡ aj (mod m) 矛盾
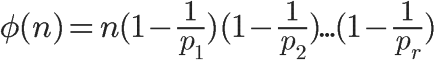
欧拉公式(小于等于n的正整数之中,与n构成互质关系的数量(包括1))
- p为质数
- p为质数
- p, q互质
![]()
- 证明:
- 因为GCD(km+r,m)=GCD(r, m) (gcd(a,b) = gcd(b,a mod b)),所以有
列是和m互质的
- 根据剩余系定理7得出每列有
和n是互质的
- 得证
欧拉定律
消去律的证明 同 剩余系引理2
模反元素
- 如果两个正整数a和n互质,那么一定可以找到整数b,使得 ab-1 被n整除,或者说ab被n除的余数是1
- a的 φ(n)-1 次方,就是a的模反元素
RSA
RSA公钥加密体制
- KeyGen(密钥生成算法)
- 选择大素数p,q
计算欧拉函数
- 取e (1<e<N),计算e的模反元素d
- 公钥为PK=(N, e),私钥为SK=(N, d)
- Encrypt(加密算法)
- Decrypt(解密算法)
(
例子:
- 生成密钥
- p=61,q=53,n=p*q=3233,φ(n) = (p-1)(q-1)=3120
- e选择17,一般e会选择65537
- 计算e对于φ(n)的模反元素d:求解 ed - 1 = kφ(n) --> 17d + 3120y = 1
- 根据扩展欧几里得算法得出 (d,y)=(2753,-15)
- n=3233,e=17,d=2753,所以公钥就是 (3233,17),私钥就是(3233, 2753)
- 加密
- 假设信息m=65
- 解密
扩展欧几里得算法计算d
扩展的欧几里德算法:对于不完全为 0 的非负整数 a,b,gcd(a,b)表示 a,b 的最大公约数,必然存在整数对 x,y ,使得 gcd(a,b)=ax+by。
int ext_euclid(int a,int b,int &x,int &y) //求gcd(a,b)=ax+by
{
int t,d;
if (b==0) {x=1;y=0;return a;}
d=ext_euclid(b,a % b,x,y);
//注意交换过程
t=x;//保存下一个方程的x2
x=y;//x是下一个方程的y2,也即是这里的y
y=t-a/b*y;//y = x2 - a / b * y;
return d;
}
破解私钥
(1)ed≡1 (mod φ(n))。只有知道e和φ(n),才能算出d。
(2)φ(n)=(p-1)(q-1)。只有知道p和q,才能算出φ(n)。
(3)n=pq。只有将n因数分解,才能算出p和q。
私钥解密的证明
证明:
- 证明等同于
- 证明等同于
- 证明等同于
- m和n互质的话直接根据欧拉定律得到,不互质时:
- 由于n等于质数p和q的乘积,所以m必然等于kp或kq,假设m = kp
- t为p的整数倍
RSA签名体制
- KeyGen(密钥生成算法)
- 同加密体制但是生成的秘钥一般不一样
- Sign(签名算法)
- Verify(验证算法)
比较M和M'一致则验证成功





