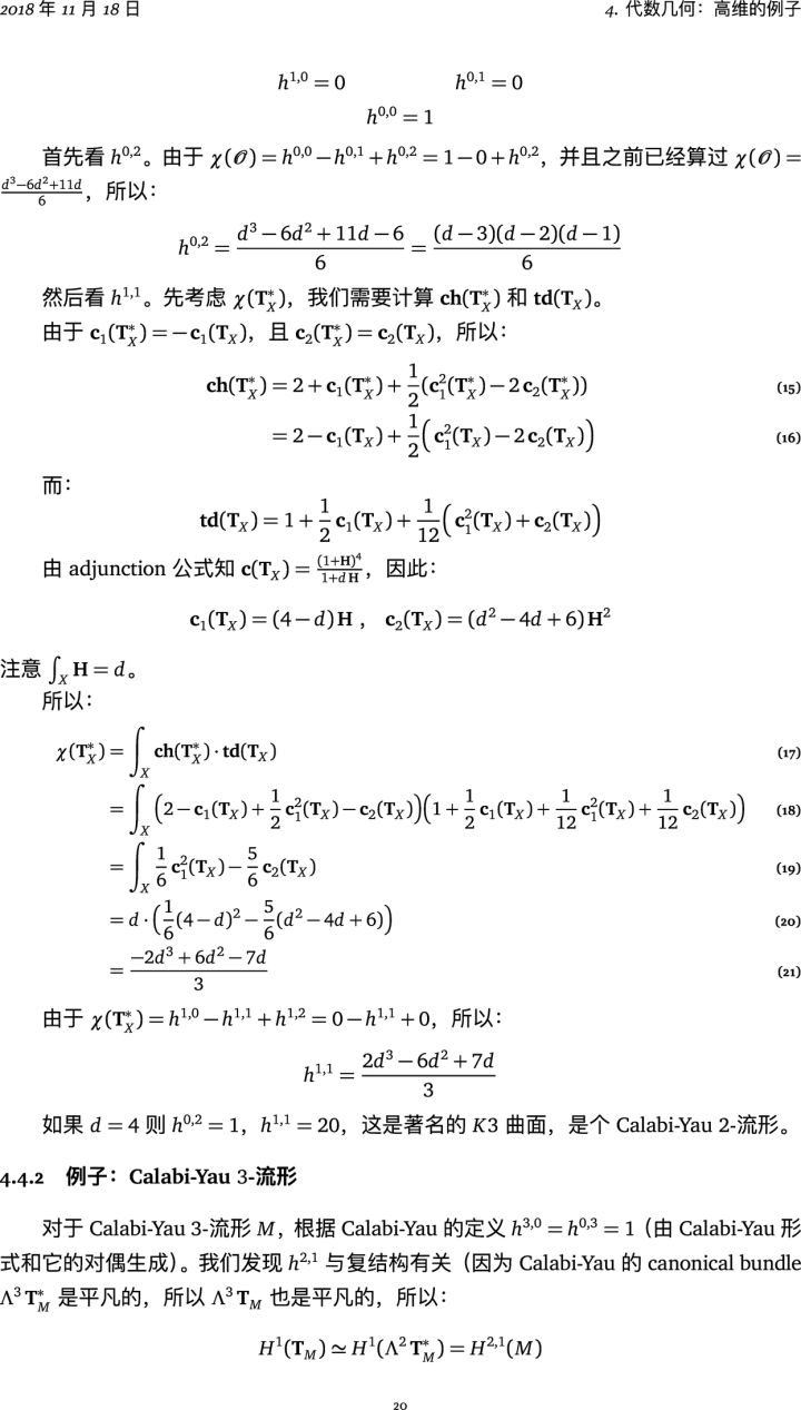
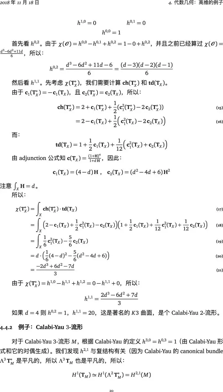
这是从前写的用于备忘的数学笔记,在此连载分享给大家。
如果觉得好,请点个赞。现在知乎上高赞的是什么大家都知道,如果你希望能够缓解一下知乎的堕落趋势,请给本文点赞。点赞多了就放 PDF 😅
这个笔记的特点是比较实用,具体计算了一些具启发性的初等问题(且其中某些问题在教科书中较为少⻅)。不过,内容比较旧,也远远不全(写作工程浩大),错漏也肯定不少,大家发现了请告诉我。
如果哪位有兴趣一起合作改进这个笔记,很欢迎联系我。
======================




















这是从前写的用于备忘的数学笔记,在此连载分享给大家。
如果觉得好,请点个赞。现在知乎上高赞的是什么大家都知道,如果你希望能够缓解一下知乎的堕落趋势,请给本文点赞。点赞多了就放 PDF 😅
这个笔记的特点是比较实用,具体计算了一些具启发性的初等问题(且其中某些问题在教科书中较为少⻅)。不过,内容比较旧,也远远不全(写作工程浩大),错漏也肯定不少,大家发现了请告诉我。
如果哪位有兴趣一起合作改进这个笔记,很欢迎联系我。
======================



















